Bonding State and Thermal Expansion Coefficient of Mn-Doped Ba0.5Sr0.5FeO3−δ Perovskite Oxides for IT-SOFCs
Abstract
:1. Introduction
2. Experimental Procedure
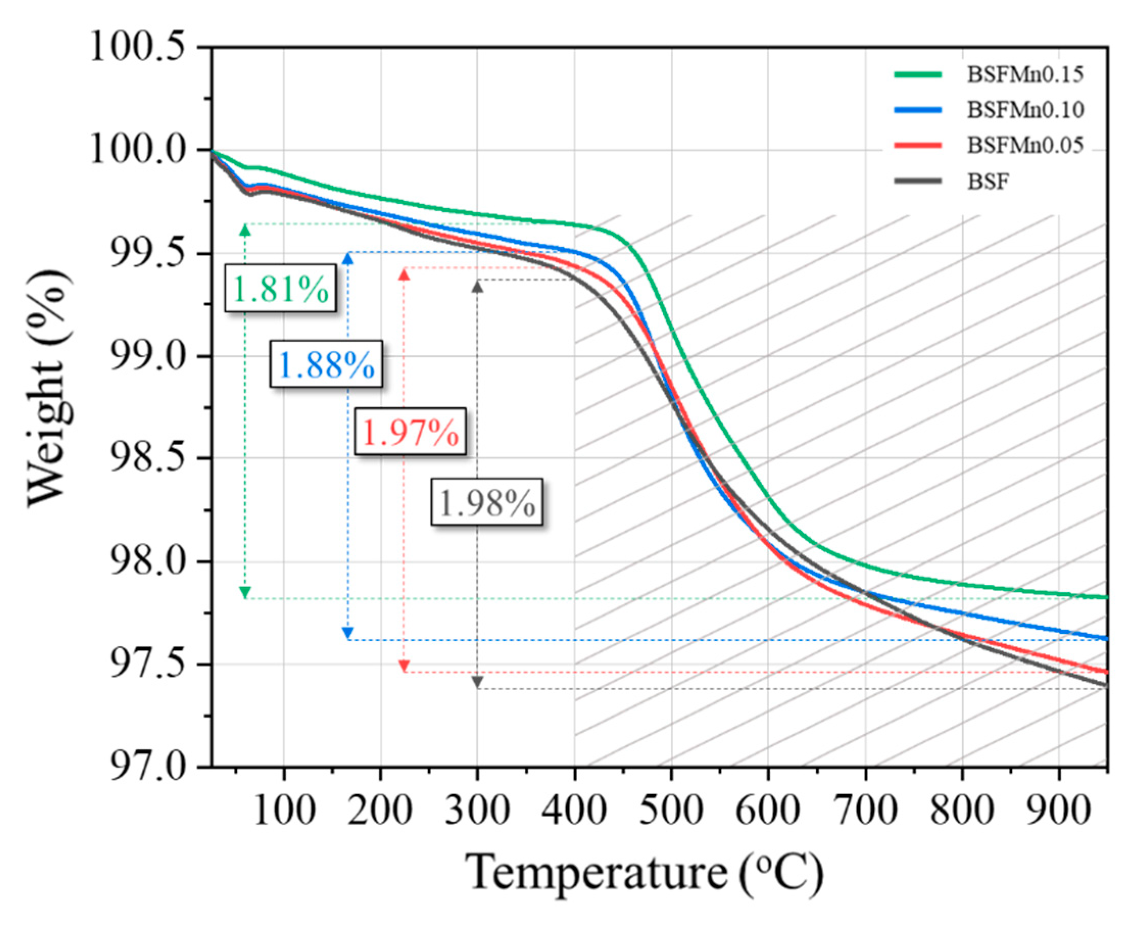
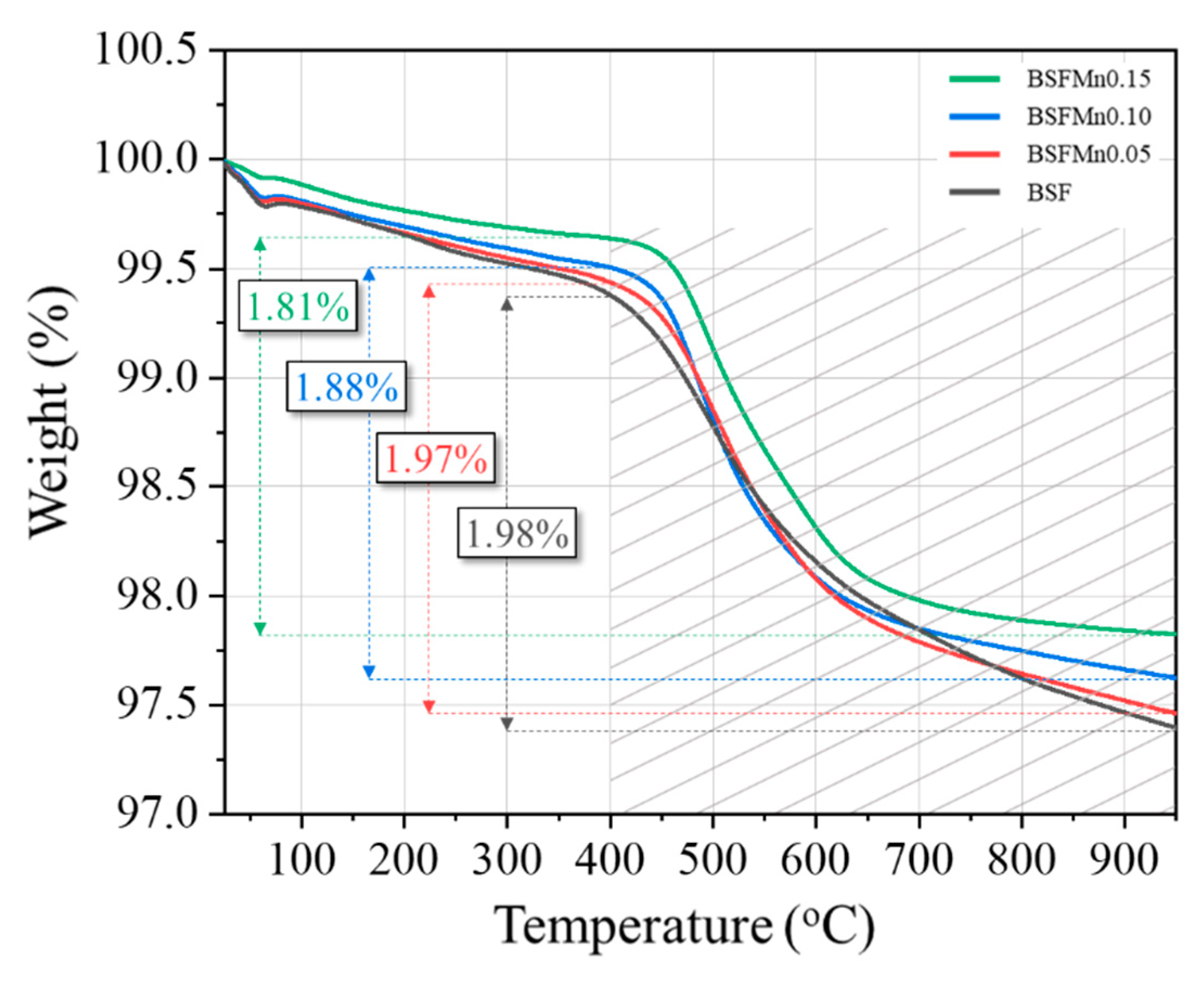
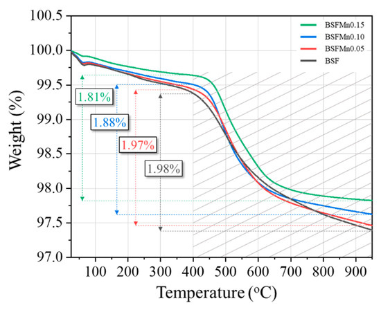
3. Results and Discussion
4. Conclusions
Author Contributions
Funding
Data Availability Statement
Conflicts of Interest
References
- Ding, D.; Li, X.; Lai, S.Y.; Gerdes, K.; Liu, M. Enhancing SOFC cathode performance by surface modification through infiltration. Energy Environ. Sci. 2014, 7, 552–575. [Google Scholar] [CrossRef]
- Hussain, S.; Yangping, L. Review of solid oxide fuel cell materials: Cathode, anode, and electrolyte. Energy Transit 2020, 4, 113–126. [Google Scholar] [CrossRef]
- Nikonov, A.V.; Kuterbekov, K.A.; Bekmyrza, K.Z.; Pavzderin, N.B. A brief review of conductivity and thermal expansion of perovskite-related oxides for SOFC cathode. Eurasian J. Phys. Funct. 2018, 2, 274–292. [Google Scholar] [CrossRef]
- Murata, A.; Hai, C.; Matsuda, M. Cathode property and thermal stability of Pr and Nd mixed Ni-based Ruddlesden–popper oxide for low-temperature operating solid oxide fuel cell. Mater. Lett. 2014, 136, 292–294. [Google Scholar] [CrossRef]
- Yu, T.; Mao, X.; Ma, G. Performance of cobalt-free perovskite La0.6Sr0.4Fe1−xNbxO3−δ cathode materials for proton-conducting IT-SOFC. J. Alloys Compd. 2014, 608, 30–34. [Google Scholar] [CrossRef]
- Xie, D.; Guo, W.; Guo, R.; Liu, Z.; Sun, D.; Meng, L.; Wang, B. Synthesis and Electrochemical Properties of BaFe1−xCuxO3−δ Perovskite Oxide for IT-SOFC Cathode. Fuel Cells 2016, 16, 829–838. [Google Scholar] [CrossRef]
- Lee, S.J.; Muralidharan, P.; Jo, S.H.; Kim, D.K. Composite cathode for IT-SOFC: Sr-doped lanthanum cuprate and Gd-doped ceria. Electrochem. Commun. 2010, 12, 808–811. [Google Scholar] [CrossRef]
- Zhou, Q.; Xu, L.; Guo, Y.; Jia, D.; Li, Y.; Wei, W.C.J. La0.6Sr0.4Fe0.8Cu0.2O3− perovskite oxide as cathode for IT-SOFC. Int. J. Hydrogen Energy 2012, 37, 11963–11968. [Google Scholar] [CrossRef]
- Xia, L.N.; You, J.; He, Z.P.; Huang, X.W.; Yu, Y. Performances of nickel-doped SmBaCo2O5+δ–Sm0.2Ce0.8O1.9 composite cathodes for IT-SOFC. Int. J. Hydrogen Energy 2015, 30, 1176–1186. [Google Scholar] [CrossRef]
- Lu, J.; Yin, Y.M.; Ma, Z.F. Preparation and characterization of new cobalt-free cathode Pr0.5Sr0.5Fe0.8Cu0.2O3−δ for IT-SOFC. Int. J. Hydrogen Energy 2013, 38, 10527–10533. [Google Scholar] [CrossRef]
- Yu, X.; Long, W.; Jin, F.; He, T. Cobalt-free perovskite cathode materials SrFe1−xTixO3−δ and performance optimization for intermediate-temperature solid oxide fuel cells. Electrochim. Acta 2014, 123, 426–434. [Google Scholar] [CrossRef]
- Gómez, A.E.M.; Sacanell, J.; Huck-Iriart, C.; Ramos, C.P.; Soldati, A.L.; Figueroa, S.J.A.; Tabacniks, M.H.; Fantini, M.C.A.; Craievich, A.F.; Lamas, D.G. Crystal structure, cobalt and iron speciation and oxygen non-stoichiometry of La0.6Sr0.4Co1−yFeyO3−δ nanorods for IT-SOFC cathodes. Alloys Compd. 2020, 817, 153250. [Google Scholar] [CrossRef]
- Han, Z.; Bai, J.; Chen, X.; Zhu, X.; Zhou, D. Novel cobalt-free Pr2Ni1−xNbxO4 (x = 0, 0.05, 0.10, and 0.15) perovskite as the cathode material for IT-SOFC. J. Hydrog. Energy 2021, 46, 11894–11907. [Google Scholar] [CrossRef]
- Zan, J.; Wang, S.; Zheng, D.; Li, F.; Chen, W.; Pei, Q.; Jiang, L. Characterization and functional application of PrBa0.5Sr0.5Co1.5Fe0.5O5+ cathode material for IT-SOFC. Mater. Res. Bull. 2021, 137, 111173. [Google Scholar] [CrossRef]
- Zeng, R.; Huang, Y. Enhancing surface activity of La0.6Sr0.4CoO3−δ cathode by a simple infiltration process. Int. J. Hydrogen Energy 2017, 42, 7220–7225. [Google Scholar] [CrossRef]
- Jeffrey, C.; Develos-Bagarinao, K.; Kishimoto, H.; Ishiyama, T.; Yamaji, K.; Horita, T.; Yokokawa, H. Enhanced stability of solid oxide fuel cells by employing a modified cathode-interlayer interface with a dense La0.6Sr0.4Co0.2Fe0.8O3−δ thin film. J. Power Sources 2018, 377, 128–135. [Google Scholar] [CrossRef]
- Lee, S.; Lee, K.; Kang, S.; Kang, J.; Song, S.; Bae, J. Investigation of electrospun Ba0.5Sr0.5Co0.8Fe0.2O3−δ-Gd0.1Ce0.9O1.95 cathodes for enhanced interfacial adhesion. Int. J. Hydrogen Energy 2018, 43, 21535–21546. [Google Scholar] [CrossRef]
- Javed, M.S.; Shaheen, N.; Idrees, A.; Hu, C.; Raza, R. Electrochemical investigations of cobalt-free perovskite cathode material for intermediate temperature solid oxide fuel cell. Int. J. Hydrogen Energy 2017, 42, 10416–10422. [Google Scholar] [CrossRef]
- Zhou, Q.; Gao, Y.; Wang, F.; An, D.; Li, Y.; Zou, Y.; Wang, W. Novel cobalt-free cathode material (Nd0.9La0.1)2(Ni0.74Cu0.21Al0.05)O4+δ for intermediate-temperature solid oxide fuel cells. Ceram. Int. 2015, 41, 639–643. [Google Scholar] [CrossRef]
- Hashim, S.S.; Liang, F.; Zhou, W.; Sunarso, J. Cobalt-Free Perovskite Cathodes for Solid Oxide Fuel Cells. ChemElectroChem 2019, 6, 3549–3569. [Google Scholar] [CrossRef]
- Li, M.; Zhao, X.; Min, H.; Yuan, G.; Ding, X. Synergistically enhancing CO2-tolerance and oxygen reduction reaction activity of cobalt-free dual-phase cathode for solid oxide fuel cells. Int. J. Hydrogen Energy 2020, 45, 34058–34068. [Google Scholar] [CrossRef]
- Wang, J.; Saccoccio, M.; Chen, D.; Gao, Y.; Chen, C.; Ciucci, F. The effect of A-site and B-site substitution on BaFeO3−δ: An investigation as a cathode material for intermediate-temperature solid oxide fuel cells. J. Power Sources 2015, 297, 511–518. [Google Scholar] [CrossRef]
- Dong, F.; Chen, D.; Chen, Y.; Zhao, Q.; Shao, Z. La-doped BaFeO3−δ perovskite as a cobalt-free oxygen reduction electrode for solid oxide fuel cells with oxygen-ion conducting electrolyte. J. Mater. Chem. 2012, 22, 15071–15079. [Google Scholar] [CrossRef]
- Kida, T.; Yamasaki, A.; Watanabe, K.; Yamazoe, N.; Shimanoe, K. Oxygen-permeable membranes based on partially B-site substituted BaFe1−yMyO3−δ (M = Cu or Ni). J. Solid State Chem. 2010, 183, 2426–2431. [Google Scholar] [CrossRef]
- Liu, J.; Ding, J.; Miao, L.; Gong, Z.; Li, K.; Liu, W. High performance Ba0.95Ca0.05Fe0.9-xSnxY0.1O3-δ-SDC as cobalt-free cathode for intermediate-temperature proton-conducting solid oxide fuel cells with BaZr0.1Ce0.7Y0.2O3-δ electrolyte. J. Alloys Compd. 2019, 786, 163–168. [Google Scholar] [CrossRef]
- Zhao, L.; He, B.; Zhang, X.; Peng, R.; Meng, G.; Liu, X. Electrochemical performance of novel cobalt-free oxide Ba0.5Sr0.5Fe0.8Cu0.2O3−δ for solid oxide fuel cell cathode. J. Power Sources 2010, 195, 1859–1861. [Google Scholar] [CrossRef]
- Olsson, E.; Cottom, J.; Aparicio-Anglès, X.; de Leeuw, N.H. Combined density functional theory and molecular dynamics study of Sm0.75A0.25Co1−xMnxO2.88 (A = Ca, Sr; x = 0.125, 0.25) cathode material for next generation solid oxide fuel cell. Phys. Chem. Chem. Phys. 2020, 22, 692–699. [Google Scholar] [CrossRef]
- Świerczek, K.; Klimkowicz, A.; Zheng, K.; Dabrowski, B. Synthesis, crystal structure and electrical properties of A-site cation ordered BaErMn2O5 and BaErMn2O6. J. Solid State Chem. 2013, 203, 68–73. [Google Scholar] [CrossRef]
- Klimkowicz, A.; Świerczek, K.; Zheng, K.; Baranowska, M.; Takasaki, A.; Dabrowski, B. Evaluation of BaY1−Pr Mn2O5+δ oxides for oxygen storage technology. Solid State Ion. 2014, 262, 659–663. [Google Scholar] [CrossRef]
- Hung, I.M.; Ciou, C.J.; Zeng, Y.J.; Wu, J.S.; Lee, Y.C.; Su, A.; Chan, S.H. Conductivity and electrochemical performance of (Ba0.5Sr0.5)0.8La0.2Fe1−xMnxO3−δ cathode prepared by the citrate–EDTA complexing method. J. Eur. Ceram. Soc. 2011, 31, 3095–3101. [Google Scholar] [CrossRef]
- Singh, B. Structural, transport, magnetic and magnetoelectric properties of CaMn1−xFexO3−δ (0.0 ≤ x ≤ 0.4). RSC Adv. 2015, 5, 39938–39945. [Google Scholar] [CrossRef]
- Gao, L.; Li, Q.; Sun, L.; Xia, T.; Huo, L.; Zhao, H.; Grenier, J.C. Antimony-doped Bi0.5Sr0.5FeO3−δ as a novel Fe-based oxygen reduction electrocatalyst for solid oxide fuel cells below 600 °C. J. Mater. Chem. A 2018, 6, 15221–15229. [Google Scholar] [CrossRef]
- Zhu, Q.; Jin, T.; Wang, Y. Thermal expansion behavior and chemical compatibility of BaxSr1−xCo1−yFeyO3−δ with 8YSZ and 20GDC. Solid State Ion. 2006, 177, 1199–1204. [Google Scholar] [CrossRef]
- Kautkar, P.R.; Ojha, P.; Acharya, S.A. Complex Perovskite system Dy0.5-xBaxSr0.5Co0.80Fe0.20O3-δ: As cathode for IT-SOFCs. Int. J. Appl. Ceram. Technol. 2019, 16, 273–286. [Google Scholar] [CrossRef]
- Gao, J.; Li, Q.; Zhang, Z.; Lü, Z.; Wei, B. A cobalt-free bismuth ferrite-based cathode for intermediate temperature solid oxide fuel cells. Electrochem. Commun. 2021, 125, 106978. [Google Scholar] [CrossRef]
- Yao, C.; Yang, J.; Zhang, H.; Meng, J.; Meng, F. Cobalt-free perovskite SrTa0.1Mo0.1Fe0.8O3-δ as cathode for intermediate-temperature solid oxide fuel cells. Int. J. Energy Res. 2020, 44, 925–933. [Google Scholar] [CrossRef]
- Yao, C.; Zhang, H.; Dong, Y.; Zhang, R.; Meng, J.; Meng, F. Characterization of Ta/W co-doped SrFeO3- perovskite as cathode for solid oxide fuel cells. J. Alloys Compd. 2019, 797, 205–212. [Google Scholar] [CrossRef]
- Xu, M.; Sun, H.; Wang, W.; Shen, Y.; Zhou, W.; Wang, J.; Chen, Z.-G.; Shao, Z. Scandium and phosphorus co-doped perovskite oxides as high-performance electrocatalysts for the oxygen reduction reaction in an alkaline solution. J. Mater. Sci. Technol. 2020, 39, 22–27. [Google Scholar] [CrossRef]
- Niu, J.; Deng, J.; Liu, W.; Zhang, L.; Wang, G.; Dai, H.; Zi, X. Nanosized perovskite-type oxides La1−xSrxMO3−δ (M = Co, Mn; x = 0, 0.4) for the catalytic removal of ethylacetate. Catal. Today 2007, 126, 420–429. [Google Scholar] [CrossRef]
- Piao, J.; Sun, K.; Zhang, N.; Chen, X.; Xu, S.; Zhou, D. Preparation and characterization of Pr1−xSrxFeO3 cathode material for intermediate temperature solid oxide fuel cells. J. Power Sources 2007, 172, 633–640. [Google Scholar] [CrossRef]
- Kostogloudis, G.C.; Ftikos, C. Characterization of Nd1-xSrxMnO3±δ SOFC cathode materials. J. Eur. Ceram. Soc. 1999, 19, 497–505. [Google Scholar] [CrossRef]
- Yao, C.; Zhang, H.; Liu, X.; Meng, J.; Meng, J.; Meng, F. A niobium and tungsten co-doped SrFeO3- perovskite as cathode for intermediate temperature solid oxide fuel cells. Ceram. Int. 2019, 45, 7351–7358. [Google Scholar] [CrossRef]
- Yao, C.; Meng, J.; Liu, X.; Zhang, X.; Meng, F.; Wu, X.; Meng, J. Effects of Bi doping on the microstructure, electrical and electrochemical properties of La2-xBixCu0.5Mn1.5O6 (x = 0, 0.1 and 0.2) perovskites as novel cathodes for solid oxide fuel cells. J. Electrochim. Acta 2017, 229, 429–437. [Google Scholar] [CrossRef]
- Wu, Y.; Li, K.; Yang, Y.; Song, W.; Ma, Z.; Chen, H.; Ling, Y. Investigation of Fe-substituted in BaZr0.8Y0.2O3-δ proton conducting oxides as cathode materials for protonic ceramics fuel cells. J. Alloys Compd. 2020, 814, 152220. [Google Scholar] [CrossRef]
- Wang, S.; Zan, J.; Qiu, W.; Zheng, D.; Li, F.; Chen, W.; Jiang, L. Evaluation of perovskite oxides LnBaCo2O5+δ (Ln = La, Pr, Nd and Sm) as cathode materials for IT-SOFC. J. Electroanal. Chem. 2021, 886, 115144. [Google Scholar] [CrossRef]
- Xia, W.; Liu, X.; Jin, F.; Jia, X.; Shen, Y.; Li, J. Evaluation of calcium codoping in double perovskite PrBaCo2O5+ as cathode material for IT-SOFCs. Electrochim. Acta 2020, 364, 137274. [Google Scholar] [CrossRef]
- Jiang, S.P. Development of lanthanum strontium cobalt ferrite perovskite electrodes of solid oxide fuel cells—A review. Int. J. Hydrogen Energy 2019, 44, 7448–7493. [Google Scholar] [CrossRef]
- Yao, C.; Yang, J.; Chen, S.; Meng, J.; Cai, K.; Zhang, Q. Copper doped SrFe0.9-Cu W0.1O3- (x = 0–0.3) perovskites as cathode materials for IT-SOFCs. J. Alloys Compd. 2021, 868, 159127. [Google Scholar] [CrossRef]
- Kong, X.; Liu, G.; Yi, Z.; Ding, X. NdBaCu2O5+δ and NdBa0.5Sr0.5Cu2O5+δ layered perovskite oxides as cathode materials for IT-SOFCs. Int. J. Hydrogen 2015, 40, 16477–16483. [Google Scholar] [CrossRef]
- Kivi, I.; Aruväli, J.; Kirsimäe, K.; Heinsaar, A.; Nurk, G.; Lust, E. Oxygen Stoichiometry in La0.6Sr0.4CoO3−δ and La0.6Sr0.4Co0.2Fe0.8O3−δ Cathodes under Applied Potential as a Function of Temperature and Oxygen Partial Pressure, Measured by Electrochemical in Situ High-Temperature XRD Method. J. Electrochem. Soc. 2013, 160, F1022–F1026. [Google Scholar] [CrossRef]
- Petric, A.; Huang, P.; Tietz, F. Evaluation of La–Sr–Co–Fe–O perovskites for solid oxide fuel cells and gas separation membranes. Solid State Ion. 2000, 135, 719–725. [Google Scholar] [CrossRef]
- Wei, B.; Lü, Z.; Li, S.; Liu, Y.; Liu, K.; Su, W. Thermal and Electrical Properties of New Cathode Material Ba[sub 0.5]Sr[sub 0.5]Co[sub 0.8]Fe[sub 0.2]O[sub 3−δ] for Solid Oxide Fuel Cells. Electrochem. Solid-State Lett. 2005, 8, A428. [Google Scholar] [CrossRef]
- Huang, S.; Wang, G.; Sun, X.; Lei, C.; Li, T.; Wang, C. Cobalt-free perovskite Ba0.5Sr0.5Fe0.9Nb0.1O3−δ as a cathode material for intermediate temperature solid oxide fuel cells. J. Alloys Compd. 2012, 543, 26–30. [Google Scholar] [CrossRef]
- Zhou, Q.; Zhang, L.; He, T. Cobalt-free cathode material SrFe0.9Nb0.1O3−δ for intermediate-temperature solid oxide fuel cells. Electrochem. Commun. 2010, 12, 285–287. [Google Scholar] [CrossRef]
- Wei, B.; Lü, Z.; Huang, X.; Liu, M.; Li, N.; Su, W. Synthesis, electrical and electrochemical properties of Ba0.5Sr0.5Zn0.2Fe0.8O3−δ perovskite oxide for IT-SOFC cathode. J. Power Sources 2008, 176, 1–8. [Google Scholar] [CrossRef]
- Niu, Y.; Sunarso, J.; Liang, F.; Zhou, W.; Zhu, Z.; Shao, Z. A Comparative Study of Oxygen Reduction Reaction on Bi- and La-Doped SrFeO[sub 3−δ] Perovskite Cathodes. J. Electrochem. Soc. 2010, 158, B132–B138. [Google Scholar] [CrossRef]
- Zhu, Z.; Shi, Y.; Aruta, C.; Yang, N. Improving Electronic Conductivity and Oxygen Reduction Activity in Sr-Doped Lanthanum Cobaltite Thin Films: Cobalt Valence State and Electronic Band Structure Effects. ACS Appl. Energy Mater. 2018, 1, 5308–5317. [Google Scholar] [CrossRef]







| Mn Content | Composition | Abbreviation |
|---|---|---|
| x = 0 | Ba0.5Sr0.5FeO3−δ | BSF |
| x = 0.05 | Ba0.5Sr0.5Fe0.95Mn0.05O3−δ | BSFMn0.05 |
| x = 0.10 | Ba0.5Sr0.5Fe0.9Mn0.1O3−δ | BSFMn0.10 |
| x = 0.15 | Ba0.5Sr0.5Fe0.85Mn0.15O3−δ | BSFMn0.15 |
| Parameters | Composition | |||
|---|---|---|---|---|
| BSF | BSFMn0.05 | BSFMn0.10 | BSFMn0.15 | |
| a = b = c [Å] | 3.95714 (3) | 3.95527 (4) | 3.95428 (7) | 3.95321 (5) |
| Volume [Å3] | 61.96469 (5) | 61.87688 (3) | 61.83043 (5) | 61.78025 (5) |
| Structure | ||||
| Rwp [%] | 3.97668 | 4.77116 | 3.94348 | 3.45366 |
| Rexp [%] | 1.9525 | 1.83542 | 1.82135 | 1.78808 |
| χ2 | 4.14819 | 6.75734 | 4.68784 | 3.73067 |
| Fe3+ | Fe4+ | Mn3+ | Mn4+ | Average Oxidation State | δ0 | Olat | Oads | Omoi | Oads/Olat | |
|---|---|---|---|---|---|---|---|---|---|---|
| BSF | 48.3% | 51.7% | - | - | +3.5170 | 0.2415 | 35.51% | 60.76% | 3.73% | 1.71 |
| BSFMn0.05 | 47.1% | 52.9% | 70.0% | 30.0% | +3.5176 | 0.2412 | 35.10% | 59.60% | 4.60% | 1.66 |
| BSFMn0.10 | 46.4% | 53.6% | 64.0% | 36.0% | +3.5184 | 0.2408 | 35.81% | 58.42% | 5.77% | 1.63 |
| 700 °C | 400–600 °C | 600–800 °C | 20–940 °C | |
|---|---|---|---|---|
| BSF | 19.0 | 27.9 | 19.5 | 15.7 |
| BSFMn0.05 | 17.8 | 26.2 | 17.7 | 14.8 |
| BSFMn0.10 | 15.0 | 23.1 | 15.5 | 13.6 |
| BSFMn0.15 | 12.1 | 20.8 | 12.8 | 12.7 |
Disclaimer/Publisher’s Note: The statements, opinions and data contained in all publications are solely those of the individual author(s) and contributor(s) and not of MDPI and/or the editor(s). MDPI and/or the editor(s) disclaim responsibility for any injury to people or property resulting from any ideas, methods, instructions or products referred to in the content. |
© 2023 by the authors. Licensee MDPI, Basel, Switzerland. This article is an open access article distributed under the terms and conditions of the Creative Commons Attribution (CC BY) license (https://creativecommons.org/licenses/by/4.0/).
Share and Cite
Lim, T.; Yun, S.-s.; Jo, K.; Lee, H. Bonding State and Thermal Expansion Coefficient of Mn-Doped Ba0.5Sr0.5FeO3−δ Perovskite Oxides for IT-SOFCs. Nanomaterials 2024, 14, 82. https://doi.org/10.3390/nano14010082
Lim T, Yun S-s, Jo K, Lee H. Bonding State and Thermal Expansion Coefficient of Mn-Doped Ba0.5Sr0.5FeO3−δ Perovskite Oxides for IT-SOFCs. Nanomaterials. 2024; 14(1):82. https://doi.org/10.3390/nano14010082
Chicago/Turabian StyleLim, Taeheun, Sung-sin Yun, Kanghee Jo, and Heesoo Lee. 2024. "Bonding State and Thermal Expansion Coefficient of Mn-Doped Ba0.5Sr0.5FeO3−δ Perovskite Oxides for IT-SOFCs" Nanomaterials 14, no. 1: 82. https://doi.org/10.3390/nano14010082
APA StyleLim, T., Yun, S.-s., Jo, K., & Lee, H. (2024). Bonding State and Thermal Expansion Coefficient of Mn-Doped Ba0.5Sr0.5FeO3−δ Perovskite Oxides for IT-SOFCs. Nanomaterials, 14(1), 82. https://doi.org/10.3390/nano14010082
