Effect of Laser Irradiation and Tensile Stress on Microstructure and Magnetic Properties of Fe-Based Amorphous Alloys
Abstract
:1. Introduction
2. Materials and Methods
2.1. Preparation
2.2. Characterization
3. Results
3.1. Structural Characterization
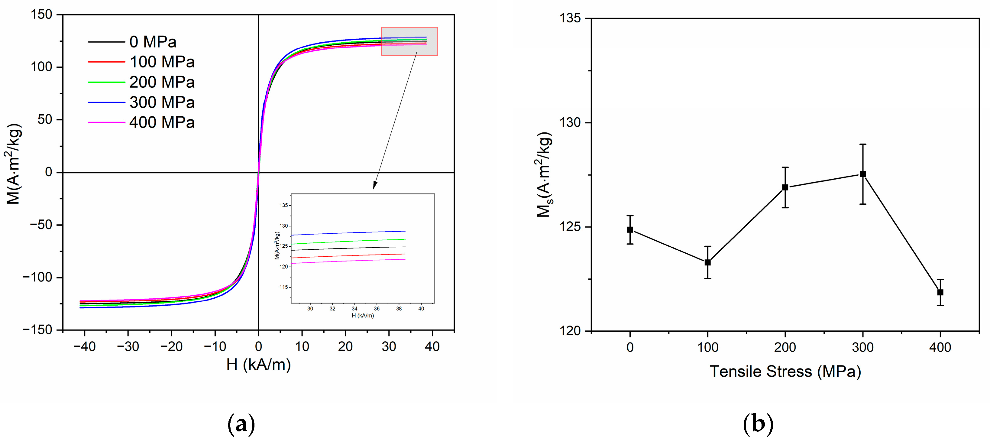
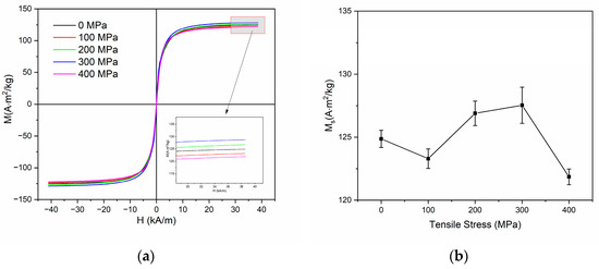
3.2. Soft Magnetic Properties
4. Discussion
5. Conclusions
Author Contributions
Funding
Data Availability Statement
Conflicts of Interest
References
- Yoshizawa, Y.; Oguma, S.; Yamauchi, K. New Fe-based soft magnetic alloys composed of ultrafine grain structure. J. Appl. Phys. 1988, 64, 6044–6046. [Google Scholar] [CrossRef]
- Bitoh, T.; Makino, A.; Inoue, A. The effect of grain-size distribution on coercivity in nanocrystalline soft magnetic alloys. J. Magn. Magn. Mater. 2004, 272–276, 1445–1446. [Google Scholar] [CrossRef]
- Matthew, A.; Willard, M.D. Nanocrystalline Soft Magnetic Alloys Two Decades of Progress. In Handbook of Magnetic Materials; Elsevier: Amsterdam, The Netherlands, 2013; Volume 21. [Google Scholar]
- Herzer, G. Modern soft magnets: Amorphous and nanocrystalline materials. Acta Mater. 2013, 61, 718–734. [Google Scholar] [CrossRef]
- Tsepelev, V.S.; Starodubtsev, Y.N. Nanocrystalline Soft Magnetic Iron-Based Materials from Liquid State to Ready Product. Nanomaterials 2021, 11, 108. [Google Scholar] [CrossRef] [PubMed]
- Hono, K.; Ping, D.H.; Ohnuma, M.; Onodera, H. Cu clustering and Si partitioning in the early crystallization stage of an Fe73.5Si13.5B9Nb3Cu1 amorphous alloy. Acta Mater. 1999, 47, 997–1006. [Google Scholar] [CrossRef]
- Ding, J.; Xu, H.; Shi, Z.; Li, X.; Zhang, T. Effect of primary α-Fe on soft magnetic properties of FeCuNbSiB amorphous/nanocrystalline alloy. J. Non-Cryst. Solids 2021, 571, 121079. [Google Scholar] [CrossRef]
- Liu, C.; Inoue, A.; Kong, F.L.; Zanaeva, E.; Bazlov, A.; Churyumov, A.; Zhu, S.L.; Marzouki, F.A.; Shull, R.D. Fe-B-Si-C-Cu amorphous and nanocrystalline alloys with ultrahigh hardness and enhanced soft magnetic properties. J. Non-Cryst. Solids 2021, 554, 120606. [Google Scholar] [CrossRef]
- Shi, L.; Yao, K. Composition design for Fe-based soft magnetic amorphous and nanocrystalline alloys with high Fe content. Mater. Des. 2020, 189, 108511. [Google Scholar] [CrossRef]
- Allia, P.; Baricco, M.; Knobel, M.; Tiberto, P.; Vinai, F. Nanocrystalline Fe73.5 Cu1Nb3Si13.5B9 obtained by direct-current Joule heating. Magnetic and mechanical properties. Philos. Mag. B 1993, 68, 853–860. [Google Scholar] [CrossRef]
- Pradeep, K.G.; Herzer, G.; Choi, P.; Raabe, D. Atom probe tomography study of ultrahigh nanocrystallization rates in FeSiNbBCu soft magnetic amorphous alloys on rapid annealing. Acta Mater. 2014, 68, 295–309. [Google Scholar] [CrossRef]
- Nicula, R.; Stir, M.; Ishizaki, K.; Català-Civera, J.M.; Vaucher, S. Rapid nanocrystallization of soft-magnetic amorphous alloys using microwave induction heating. Scr. Mater. 2009, 60, 120–123. [Google Scholar] [CrossRef]
- Diercks, D.R.; Singh, A.; Jha, R.; Ciobanu, C.V.; Stebner, A.P. A method of nanoscale analysis of the initial stages of crystallization as applied to a FINEMET metallic glass. Mater. Charact. 2020, 159, 110026. [Google Scholar] [CrossRef]
- Alam, T.; Borkar, T.; Joshi, S.S.; Katakam, S.; Chen, X.; Dahotre, N.B.; Ramanujan, R.V.; Banerjee, R. Influence of niobium on laser de-vitrification of Fe–Si–B based amorphous magnetic alloys. J. Non-Cryst. Solids 2015, 428, 75–81. [Google Scholar] [CrossRef]
- Lanotte, L.; Iannotti, V. Nanometric crystallization of Fe73.5Cu1Nb3Si13.5B9 by laser annealing. J. Appl. Phys. 1995, 78, 3531–3533. [Google Scholar] [CrossRef]
- Talaat, A.; Greve, D.W.; Leary, A.; Liu, Y.; Wiezorek, J.; Ohodnicki, P.R. Laser patterning assisted devitrification and domain engineering of amorphous and nanocrystalline alloys. AIP Adv. 2022, 12, 035313. [Google Scholar] [CrossRef]
- Chaudhary, V.; Mantri, S.A.; Ramanujan, R.V.; Banerjee, R. Additive manufacturing of magnetic materials. Prog. Mater. Sci. 2020, 114, 100688. [Google Scholar] [CrossRef]
- Conteri, R.; Borkar, T.; Nag, S.; Jaeger, D.; Chen, X.; Ramanujan, R.V.; Banerjee, R. Laser additive processing of Fe-Si-B-Cu-Nb magnetic alloys. J. Manuf. Process. 2017, 29, 175–181. [Google Scholar] [CrossRef]
- Mikler, C.V.; Chaudhary, V.; Borkar, T.; Soni, V.; Jaeger, D.; Chen, X.; Contieri, R.; Ramanujan, R.V.; Banerjee, R. Laser Additive Manufacturing of Magnetic Materials. JOM 2017, 69, 532–543. [Google Scholar] [CrossRef]
- Suzuki, K.; Herzer, G. Magnetic-field-induced anisotropies and exchange softening in Fe-rich nanocrystalline soft magnetic alloys. Scr. Mater. 2012, 67, 548–553. [Google Scholar] [CrossRef]
- Shi, R.; Wang, Z.; Han, Y. High-temperature soft magnetic behavior of magnetic field annealed Finemet-type nanocrystalline alloys. AIP Adv. 2019, 9, 055222. [Google Scholar] [CrossRef]
- Xie, L.; Wang, A.; Yue, S.; He, A.; Chang, C.; Li, Q.; Wang, X.; Liu, C.-T. Significant improvement of soft magnetic properties for Fe-based nanocrystalline alloys by inhibiting surface crystallization via a magnetic field assisted melt-spinning process. J. Magn. Magn. Mater. 2019, 483, 158–163. [Google Scholar] [CrossRef]
- Pan, Y.; Liu, T.; Li, G.; Dai, B.; Lv, N. Direct current tolerant characteristics of FeCuNbSiB nanocrystalline in tensile stress annealing. J. Mater. Sci. Mater. Electron. 2020, 32, 473–484. [Google Scholar] [CrossRef]
- Sun, H.; Huan, H.; Wang, C.; Zhang, J.; Wang, J. Magnetic properties, anisotropy, and domain structure of Fe-based nanocrystalline alloy induced by continuous stress-annealing treatment. J. Magn. Magn. Mater. 2023, 569, 170430. [Google Scholar] [CrossRef]
- Nutor, R.K.; Fan, X.; He, X.; Xu, X.; Lu, X.; Jiang, J.; Fang, Y. Formation mechanism of stress-induced anisotropy in stress-annealed Fe-based nanocrystalline ribbon alloys. J. Alloys Compd. 2019, 774, 1243–1249. [Google Scholar] [CrossRef]
- Holzwarth, U.; Gibson, N. The Scherrer equation versus the ‘Debye-Scherrer equation’. Nat. Nanotechnol. 2011, 6, 534. [Google Scholar] [CrossRef] [PubMed]
- He, K.; Chen, N.; Wang, C.; Wei, L.; Chen, J. Method for Determining Crystal Grain Size by X-Ray Diffraction. Cryst. Res. Technol. 2018, 53, 1700157. [Google Scholar] [CrossRef]
- Suzuki, K.; Makino, A.; Inoue, A.; Masumoto, T. Low core losses of nanocrystalline Fe–M–B (M=Zr, Hf, or Nb) alloys. J. Appl. Phys. 1993, 74, 3316–3322. [Google Scholar] [CrossRef]
- Mondal, S.P.; Maria, K.H.; Sikder, S.S.; Choudhury, S.; Saha, D.K.; Hakim, M.A. Influence of Annealing Conditions on Nanocrystalline and Ultra-Soft Magnetic Properties of Fe75.5Cu1Nb1Si13.5B9 Alloy. J. Mater. Sci. Technol. 2012, 28, 21–26. [Google Scholar] [CrossRef]
- Herzer, G. Grain size dependence of coercivity and permeability in nanocrystalline ferromagnets. IEEE Trans. Magn. 1990, 26, 1397–1402. [Google Scholar] [CrossRef]
- Urata, A.; Matsumoto, H.; Yoshida, S.; Makino, A. Fe–Si–B–P–Cu Nanocrystalline Alloy Ribbons With High Saturation Magnetic Flux Density Prepared Using Industrial Materials. IEEE Trans. Magn. 2011, 47, 3177–3179. [Google Scholar] [CrossRef]
- Zhu, M.; Fa, Y.; Yao, L.; Tao, P.; Jian, Z.; Chang, F. The Influence of Annealing on the Structural and Soft Magnetic Properties of (Fe0.4Co0.6)79Nb(3)B18 Nanocrystalline Alloys. Materials 2018, 11, 2171. [Google Scholar] [CrossRef] [PubMed]
- Xue, L.; Liu, H.; Dou, L.; Yang, W.; Chang, C.; Inoue, A.; Wang, X.; Li, R.-W.; Shen, B. Soft magnetic properties and microstructure of Fe84−Nb2B14Cu nanocrystalline alloys. Mater. Des. (1980–2015) 2014, 56, 227–231. [Google Scholar] [CrossRef]
- Cui, X.H.; Liu, Z.W.; Zhong, X.C.; Yu, H.Y.; Zeng, D.C. Melt spun and suction cast Nd-Fe-Co-B-Nb hard magnets with high Nd contents. J. Appl. Phys. 2012, 111, 07B508. [Google Scholar] [CrossRef]
- Köster, U.; Schünemann, U.; Biank-Bewersdorff, M.; Brauer, S.; Sutton, M.; Stephenson, G.B. Nanocrystalline materials by crystallization of metal-metalloid glasses. Mater. Sci. Eng. A 1991, 133, 611–615. [Google Scholar] [CrossRef]
- Katakam, S.; Santhanakrishnan, S.; Vora, H.; Hwang, J.Y.; Banerjee, R.; Dahotre, N.B. Dahotre, Stress-induced selective nano-crystallization in laser-processed amorphous Fe–Si–B alloys. Philos. Mag. Lett. 2012, 92, 617–624. [Google Scholar] [CrossRef]
- Kim, J.-J.; Choi, Y.; Suresh, S.; Argon, A.S. Nanocrystallization During Nanoindentation of a Bulk Amorphous Metal Alloy at Room Temperature. Science 2002, 295, 654–657. [Google Scholar] [CrossRef]
- Talaat, A.; Greve, D.W.; Suraj, M.V.; Ohodnicki, P.R. Electromagnetic assisted thermal processing of amorphous and nanocrystalline soft magnetic alloys: Fundamentals and advances. J. Alloys Compd. 2021, 854, 156480. [Google Scholar] [CrossRef]












Disclaimer/Publisher’s Note: The statements, opinions and data contained in all publications are solely those of the individual author(s) and contributor(s) and not of MDPI and/or the editor(s). MDPI and/or the editor(s) disclaim responsibility for any injury to people or property resulting from any ideas, methods, instructions or products referred to in the content. |
© 2023 by the authors. Licensee MDPI, Basel, Switzerland. This article is an open access article distributed under the terms and conditions of the Creative Commons Attribution (CC BY) license (https://creativecommons.org/licenses/by/4.0/).
Share and Cite
Yao, Y.; Huang, H.; Chen, C.; Ni, M.; Yang, S. Effect of Laser Irradiation and Tensile Stress on Microstructure and Magnetic Properties of Fe-Based Amorphous Alloys. Nanomaterials 2024, 14, 58. https://doi.org/10.3390/nano14010058
Yao Y, Huang H, Chen C, Ni M, Yang S. Effect of Laser Irradiation and Tensile Stress on Microstructure and Magnetic Properties of Fe-Based Amorphous Alloys. Nanomaterials. 2024; 14(1):58. https://doi.org/10.3390/nano14010058
Chicago/Turabian StyleYao, Yunxia, Haoxuan Huang, Cai Chen, Mayan Ni, and Sen Yang. 2024. "Effect of Laser Irradiation and Tensile Stress on Microstructure and Magnetic Properties of Fe-Based Amorphous Alloys" Nanomaterials 14, no. 1: 58. https://doi.org/10.3390/nano14010058
APA StyleYao, Y., Huang, H., Chen, C., Ni, M., & Yang, S. (2024). Effect of Laser Irradiation and Tensile Stress on Microstructure and Magnetic Properties of Fe-Based Amorphous Alloys. Nanomaterials, 14(1), 58. https://doi.org/10.3390/nano14010058

