Bidimensional SnSe2—Mesoporous Ordered Titania Heterostructures for Photocatalytically Activated Anti-Fingerprint Optically Transparent Layers
Abstract
1. Introduction
2. Materials and Methods
2.1. Materials
2.2. SnSe2-Nanomaterial Synthesis
2.3. Synthesis of Mesoporous Ordered SnSe2-TiO2 Heterostructures
2.4. Characterizations of the Materials
2.5. Evaluation of Photocatalytic Activity of the Films
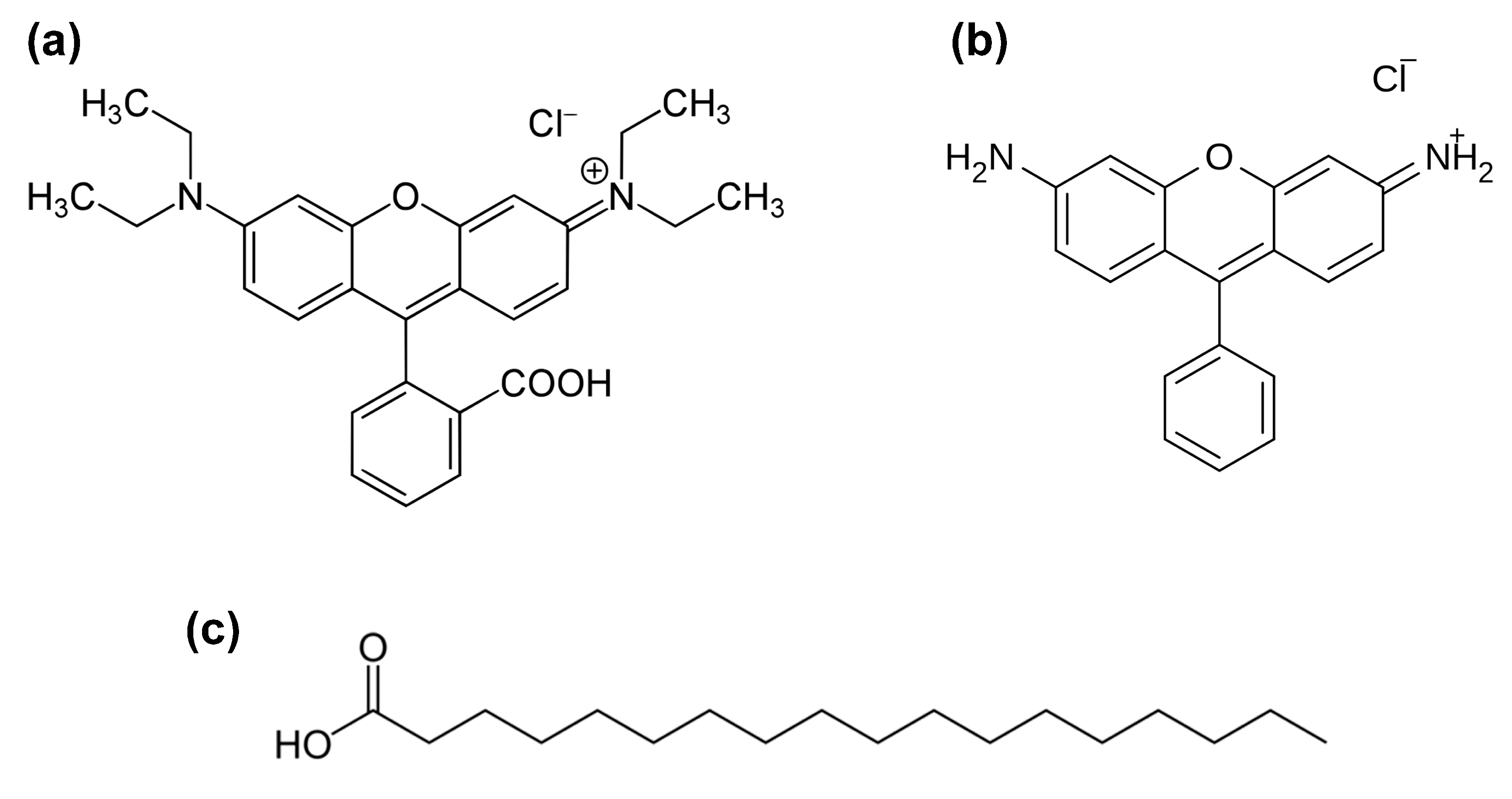
2.6. Evaluation of Rhodamine B Degradation in Liquid Phase
3. Results and Discussion
3.1. Microstructural Characterization
3.2. Photocatalytic Degradation of Rhodamine B by SnSe2 Nanoflakes
4. Conclusions
Supplementary Materials
Author Contributions
Funding
Data Availability Statement
Conflicts of Interest
Abbreviations
References
- Rong, W.; Kazuhito, H.; Akira, F.; Makoto, C.; Eiichi, K.; Astushi, K.; Mitsuhide, S.; Toshiya, W. Light-Induced Amphiphilic Surfaces. Nature 1997, 338, 431–432. [Google Scholar] [CrossRef]
- Taga, Y. Titanium Oxide Based Visible Light Photocatalysts: Materials Design and Applications. Thin Solid Films 2009, 517, 3167–3172. [Google Scholar] [CrossRef]
- Zhao, X.; Zhao, Q.; Yu, J.; Liu, B. Development of Multifunctional Photoactive Self-Cleaning Glasses. J. Non-Cryst. Solids 2008, 354, 1424–1430. [Google Scholar] [CrossRef]
- Yates, J.T. Photochemistry on TiO2: Mechanisms behind the Surface Chemistry. Surf. Sci. 2009, 603, 1605–1612. [Google Scholar] [CrossRef]
- Luo, H.; Wei, H.; Wang, L.; Gao, Q.; Chen, Y.; Xiang, J.; Fan, H. Anti-smudge and self-cleaning characteristics of waterborne polyurethane coating and its construction. J. Colloid Interface Sci. 2022, 628, 1070–1081. [Google Scholar] [CrossRef] [PubMed]
- Belhadjamor, M.; El Mansori, M.; Belghith, S.; Mezlini, S. Anti-Fingerprint Properties of Engineering Surfaces: A Review. Surf. Eng. 2018, 34, 85–120. [Google Scholar] [CrossRef]
- Galvez, M. New Innovations in Coating Technologies for Display Glass. Inf. Disp. 2020, 36, 23–26. [Google Scholar] [CrossRef]
- Gopal, L.; Sudarshan, T. Surface Engineering for Anti-Fingerprint Applications. Surf. Eng. 2022, 38, 571–575. [Google Scholar] [CrossRef]
- Fu, K.; Tian, Y.; Zhu, Z.; Zhang, G.; Xie, J.; Zhang, Q. Robust and Highly Transparent Photocurable Fluorinated Polyurethane Coating Prepared via Thiol-Click Reactions and What Essentially Influences Omniphobic Coating’s Anti-Graffiti Properties. ACS Appl. Polym. Mater. 2022, 4, 8386–8395. [Google Scholar] [CrossRef]
- Zhong, X.; Hu, H.; Yang, L.; Sheng, J.; Fu, H. Robust Hyperbranched Polyester-Based Anti-Smudge Coatings for Self-Cleaning, Anti-Graffiti, and Chemical Shielding. ACS Appl. Mater. Interfaces 2019, 11, 14305–14312. [Google Scholar] [CrossRef]
- Mellott, N.P.; Durucan, C.; Pantano, C.G.; Guglielmi, M. Commercial and Laboratory Prepared Titanium Dioxide Thin Films for Self-Cleaning Glasses: Photocatalytic Performance and Chemical Durability. Thin Solid Films 2006, 502, 112–120. [Google Scholar] [CrossRef]
- Carboni, D.; Marongiu, D.; Rassu, P.; Pinna, A.; Amenitsch, H.; Casula, M.; Marcelli, A.; Cibin, G.; Falcaro, P.; Malfatti, L.; et al. Enhanced Photocatalytic Activity in Low-Temperature Processed Titania Mesoporous Films. J. Phys. Chem. C 2014, 118, 12000–12009. [Google Scholar] [CrossRef]
- Li, Y.; Gao, C.; Long, R.; Xiong, Y. Photocatalyst design based on two-dimensional materials. Mater. Today Chem. 2019, 11, 197–216. [Google Scholar] [CrossRef]
- Xie, L.; Hao, J.-G.; Chen, H.-Q.; Li, Z.-X.; Ge, S.-Y.; Mi, Y.; Yang, K.; Lu, K.-Q. Recent advances of nickel hydroxide-based cocatalysts in heterogeneous photocatalysis. Catal. Commun. 2022, 162, 106371. [Google Scholar] [CrossRef]
- Chen, H.-Q.; Hao, J.-G.; Wei, Y.; Huang, W.-Y.; Zhang, J.-L.; Deng, T.; Yang, K.; Lu, K.-Q. Recent Developments and Perspectives of Cobalt Sulfide-Based Composite Materials in Photocatalysis. Catalysts 2023, 13, 544. [Google Scholar] [CrossRef]
- Cheng, J.; Wang, C.; Zou, X.; Liao, L. Recent Advances in Optoelectronic Devices Based on 2D Materials and Their Heterostructures. Adv. Opt. Mater. 2019, 7, 1800441. [Google Scholar] [CrossRef]
- Zhang, L.; Guo, C.; Kuo, C.-N.; Xu, H.; Zhang, K.; Ghosh, B.; De Santis, J.; Boukhvalov, D.W.; Vobornik, I.; Paolucci, V.; et al. Terahertz Photodetection with Type-II Dirac Fermions in Transition-Metal Ditellurides and Their Heterostructures. Phys. Status Solidi Rapid Res. Lett. 2021, 15, 2100212. [Google Scholar] [CrossRef]
- Ho, W.; Yu, J.C.; Lin, J.; Yu, J.; Li, P. Preparation and Photocatalytic Behavior of MoS2 and WS2 Nanocluster Sensitized TiO2. Langmuir 2004, 20, 5865–5869. [Google Scholar] [CrossRef]
- Lettieri, S.; Pavone, M.; Fioravanti, A.; Amato, L.S.; Maddalena, P. Charge Carrier Processes and Optical Properties in TiO2 and TiO2-Based Heterojunction Photocatalysts: A Review. Materials 2021, 14, 1645. [Google Scholar] [CrossRef]
- Ren, J.; Stagi, L.; Malfatti, L.; Paolucci, V.; Cantalini, C.; Garroni, S.; Mureddu, M.; Innocenzi, P. Improving the Photocatalytic Activity of Mesoporous Titania Films through the Formation of WS2/TiO2 Nano-Heterostructures. Nanomaterials 2022, 12, 1074. [Google Scholar] [CrossRef]
- Malfatti, L.; Falcaro, P.; Pinna, A.; Lasio, B.; Casula, M.F.; Loche, D.; Falqui, A.; Marmiroli, B.; Amenitsch, H.; Sanna, R.; et al. Exfoliated Graphene into Highly Ordered Mesoporous Titania Films: Highly Performing Nanocomposites from Integrated Processing. ACS Appl. Mater. Interf. 2014, 6, 795–802. [Google Scholar] [CrossRef] [PubMed]
- Ren, J.; Stagi, L.; Malfatti, L.; Garroni, S.; Enzo, S.; Innocenzi, P. Boron Nitride-Titania Mesoporous Film Heterostructures. Langmuir 2021, 37, 5348–5355. [Google Scholar] [CrossRef] [PubMed]
- Boukhvalov, D.W.; Paolucci, V.; D’Olimpio, G.; Cantalini, C.; Politano, A. Chemical Reactions on Surfaces for Applications in Catalysis, Gas Sensing, Adsorption-Assisted Desalination and Li-Ion Batteries: Opportunities and Challenges for Surface Science. Phys. Chem. Chem. Phys. 2021, 23, 7541–7552. [Google Scholar] [CrossRef] [PubMed]
- Nasir, M.S.; Yang, G.; Ayub, I.; Wang, S.; Yan, W. Tin Diselinide a Stable Co-Catalyst Coupled with Branched TiO2 Fiber and g-C3N4 Quantum Dots for Photocatalytic Hydrogen Evolution. Appl. Catal. B Environ. 2020, 270, 118900. [Google Scholar] [CrossRef]
- Paolucci, V.; De Santis, J.; Lozzi, L.; Giorgi, G.; Cantalini, C. Layered Amorphous A-SnO2 Gas Sensors by Controlled Oxidation of 2D-SnSe2. Sens. Actuators B Chem. 2022, 350, 130890. [Google Scholar] [CrossRef]
- Zhou, W.; Yu, Z.; Song, H.; Fang, R.; Wu, Z.; Li, L.; Ni, Z.; Ren, W.; Wang, L.; Ruan, S. Lattice Dynamics in Monolayer and Few-Layer SnSe2. Phys. Rev. B 2017, 96, 1–6. [Google Scholar] [CrossRef]
- Nguyen, E.P.; Carey, B.J.; Daeneke, T.; Ou, J.Z.; Latham, K.; Zhuiykov, S.; Kalantar-Zadeh, K. Investigation of Two-Solvent Grinding-Assisted Liquid Phase Exfoliation of Layered MoS2. Chem. Mater. 2015, 27, 53–59. [Google Scholar] [CrossRef]
- Paolucci, V.; Emamjomeh, S.M.; Nardone, M.; Ottaviano, L.; Cantalini, C. Two-Step Exfoliation of WS2 for NO2, H2 and Humidity Sensing Applications. Nanomaterials 2019, 9, 1363. [Google Scholar] [CrossRef]
- Smith, A.J.; Meek, P.E.; Liang, W.Y. Raman Scattering Studies of SnS2 and SnSe2. J. Phys. C Solid State Phys. 1977, 10, 1321. [Google Scholar] [CrossRef]
- Acharva, S.; Srivastava, O. Occurrence of polytypism in SnSe2. J. Cryst. Growth 1981, 55, 395–397. [Google Scholar] [CrossRef]
- Gonzalez, J.M.; Oleynik, I.I. Layer-Dependent Properties of SnS2 and SnSe2 Two-Dimensional Materials. Phys. Rev. B 2016, 94, 1–10. [Google Scholar] [CrossRef]
- Li, S.L.; Miyazaki, H.; Song, H.; Kuramochi, H.; Nakaharai, S.; Tsukagoshi, K. Quantitative Raman Spectrum and Reliable Thickness Identification for Atomic Layers on Insulating Substrates. ACS Nano 2012, 6, 7381–7388. [Google Scholar] [CrossRef] [PubMed]
- Wu, J.J.; Tao, Y.R.; Wu, X.C.; Chun, Y. Nonlinear optical absorption of SnX2 (X = S, Se) semiconductor nanosheets. J. Alloys Compd. 2017, 713, 38–45. [Google Scholar] [CrossRef]
- Guan, H.; Li, H.; Ming, J.; Hong, J.; Dong, J.; Qiu, W.; Zhu, W.; Yu, J.; Chen, Z.; Peng, G.; et al. Broadband Light Amplitude Tuning Characteristics of SnSe2 coated Microfiber. J. Light. Technol. 2020, 38, 6089–6096. [Google Scholar] [CrossRef]
- Chen, Z.; Xiong, L.; Li, G.; Wei, L.; Yang, C.; Chen, M. Wafer-Scale Growth of Vertical-Structured SnSe2 Nanoflakes for Highly Sensitive, Fast-Response UV–Vis–NIR Broadband Photodetectors. Adv. Opt. Mater. 2022, 10, 2102250. [Google Scholar] [CrossRef]
- Camassel, J.; Schlüter, M.; Kohn, S.; Voitchovsky, J.P.; Shen, Y.R.; Cohen, M.L. Wavelength Modulation Spectra and Electronic Band Structure of SnS2, and SnSe2. Phys. Stat. Sol. B 1976, 75, 303–314. [Google Scholar] [CrossRef]
- Hasan, M.M.; Haseeb, A.S.M.A.; Saidur, R.; Masjuki, H.H. Effects of annealing treatment on optical properties of anatase TiO2 thin films. Int. J. Chem. Biol. Eng. 2009, 40, 221–225. [Google Scholar] [CrossRef]
- Wang, Z.M.; Wang, W.; Coombs, N.; Soheilnia, N.; Ozin, G.A. Graphene Oxide Periodic Mesoporous Silica Sandwich Nanocomposites with Vertically Oriented Channels. Acs Nano 2012, 12, 7437–7450. [Google Scholar] [CrossRef]
- Tan, P.; Chen, X.; Wu, L.; Shang, Y.Y.; Liu, W.; Pan, J.; Xiong, X. Hierarchical Flower-like SnSe2 Supported Ag3PO4 Nanoparticles: Towards Visible Light Driven Photocatalyst with Enhanced Performance. Appl. Catal. B Environ. 2017, 202, 326–334. [Google Scholar] [CrossRef]
- Malfatti, L.; Falcaro, P.; Amenitsch, H.; Caramori, S.; Argazzi, R.; Bignozzi, C.A.; Enzo, S.; Maggini, M.; Innocenzi, P. Mesostructured Self-Assembled Titania Films for Photovoltaic Applications. Microp. Mesop. Mater. 2006, 88, 304–311. [Google Scholar] [CrossRef]
- Yu, G.; Chen, Z.; Zhang, Z.; Zhang, P.; Jiang, Z. The Photocatalytic Activity and Stability of a Nanosized TiO2 Film Prepared by Carbon Black Modified Method. Catal. Today 2004, 90, 305–312. [Google Scholar] [CrossRef]
- Innocenzi, P. Mesoporous ordered films via self-assembly: Trends and perspectives. Chem. Sci. 2022, 13, 13264–13279. [Google Scholar] [CrossRef] [PubMed]
- Soler-Illia, G.J.A.A.; Angelomé, P.C.; Fuertes, M.C.; Grosso, D.; Boissiere, C. Critical Aspects in the Production of Periodically Ordered Mesoporous Titania Thin Films. Nanoscale 2012, 4, 2549–2566. [Google Scholar] [CrossRef] [PubMed]
- Stagi, L.; Carbonaro, C.M.; Corpino, R.; Chiriu, D.; Ricci, P.C. Light Induced TiO2 Phase Transformation: Correlation with Luminescent Surface Defects. Phys. Status Solidi Basic Res. 2015, 252, 124–129. [Google Scholar] [CrossRef]
- Wojcieszak, D.; Mazur, M.; Kaczmarek, D.; Poniedziałek, A.; Domanowski, P.; Szponar, B.; Czajkowska, A.; Gamian, A. Effect of the Structure on Biological and Photocatalytic Activity of Transparent Titania Thin-Film Coatings. Mater. Sci. Pol. 2016, 34, 856–862. [Google Scholar] [CrossRef]
- Arokiya Mary, T.; Fernandez, A.C.; Sakthivel, P.; Jesudurai, J.G.M. A Study on the Role of Surfactant on the Layered Growth of SnSe2 for Electrical Applications. J. Mater. Sci. Mater. Electron. 2016, 27, 11041–11048. [Google Scholar] [CrossRef]
- Wu, G.; Xiao, L.; Gu, W.; Shi, W.; Jiang, D.; Liu, C. Fabrication and Excellent Visible-Light-Driven Photodegradation Activity for Antibiotics of SrTiO3 Nanocube Coated CdS Microsphere Heterojunctions. RSC Adv. 2016, 6, 19878–19886. [Google Scholar] [CrossRef]
- Ashiq, M.N.; Irshad, S.; Ehsan, M.F.; Rehman, S.; Farooq, S.; Najam-Ul-Haq, M.; Zia, A. Visible-Light Active Tin Selenide Nanostructures: Synthesis, Characterization and Photocatalytic Activity. New J. Chem. 2017, 41, 14689–14695. [Google Scholar] [CrossRef]
- Lin, L.; Yang, Y.; Men, L.; Wang, X.; He, D.; Chai, Y.; Zhao, B.; Ghoshroy, S.; Tang, Q. A Highly Efficient TiO2@ZnO N-p-n Heterojunction Nanorod Photocatalyst. Nanoscale 2013, 5, 588–593. [Google Scholar] [CrossRef]
- Anh Tran, V.; Vu, K.B.; Thi Vo, T.T.; Thuan Le, V.; Do, H.H.; Bach, L.G.; Lee, S.W. Experimental and Computational Investigation on Interaction Mechanism of Rhodamine B Adsorption and Photodegradation by Zeolite Imidazole Frameworks-8. Appl. Surf. Sci. 2021, 538, 148065. [Google Scholar] [CrossRef]
- Lasio, B.; Malfatti, L.; Innocenzi, P. Photodegradation of Rhodamine 6G Dimers in Silica Sol-Gel Films. J. Photochem. Photobiol. A Chem. 2013, 271, 93–98. [Google Scholar] [CrossRef]
- Wu, T.; Liu, G.; Zhao, J.; Hidaka, H.; Serpone, N. Photoassisted Degradation of Dye Pollutants. V. Self-Photosensitized Oxidative Transformation of Rhodamine B under Visible Light Irradiation in Aqueous TiO2 Dispersions. J. Phys. Chem. B 1998, 102, 5845–5851. [Google Scholar] [CrossRef]
- Cui, Y.; Goldup, S.M.; Dunn, S. Photodegradation of Rhodamine B over Ag Modified Ferroelectric BaTiO3 under Simulated Solar Light: Pathways and Mechanism. RSC Adv. 2015, 5, 30372–30379. [Google Scholar] [CrossRef]
- Jakimińska, A.; Pawlicki, M.; Macyk, W. Photocatalytic Transformation of Rhodamine B to Rhodamine-110—The Mechanism Revisited. J. Photochem. Photobiol. A Chem. 2022, 433, 114176. [Google Scholar] [CrossRef]
- Snare, M.J.; Treloar, F.E.; Ghiggino, K.P.; Thistlethwaite, P.J. The Photophysics of Rhodamine B. J. Photochem. 1982, 18, 335–346. [Google Scholar] [CrossRef]
- Purcar, V.; Caprarescu, S.; Donescu, D.; Petcu, C.; Stamatin, I.; Ianchis, R.; Stroescu, H. Degradation of TiO2 and/or SiO2 hybrid films doped with different cationic dyes. Thin Solid Films 2013, 534, 301–307. [Google Scholar] [CrossRef]
- Song, X.M.; Wu, J.M.; Yan, M. Photocatalytic degradation of selected dyes by titania thin films with various nanostructures. Thin Solid Films 2009, 517, 4341–4347. [Google Scholar] [CrossRef]
- Sawunyama, P.; Jiang, L.; Fujishima, A.; Hashimoto, K. Photodecomposition of a Langmuir-Blodgett film of stearic acid on TiO2 film observed by in situ atomic force microscopy and FT-IR. J. Phys. Chem. B 1997, 101, 11000–11003. [Google Scholar] [CrossRef]
- Wu, L.Y.L.; Ngian, S.K.; Chen, Z.; Xuan, D.T.T. Quantitative test method for evaluation of anti-fingerprint property of coated surfaces. Appl. Surf. Sci. 2011, 257, 2965–2969. [Google Scholar] [CrossRef]
- Luda, M.P.; Li Pira, N.; Trevisan, D.; Pau, V. Evaluation of Antifingerprint Properties of Plastic Surfaces Used in Automotive Components. Int. J. Polym. Sci. 2018, 2018, 1895683. [Google Scholar] [CrossRef]
- Revathi, B.; Balakrishnan, L.; Pichaimuthu, S.; Nirmala Grace, A.; Krishna Chandar, N. Photocatalytic Degradation of Rhodamine B Using BiMnO3 Nanoparticles under UV and Visible Light Irradiation. J. Mater. Sci. Mater. Electron. 2020, 31, 22487–22497. [Google Scholar] [CrossRef]
- Gligorovski, S.; Strekowski, R.; Barbati, S.; Vione, D. Environmental Implications of Hydroxyl Radicals (•OH). Chem. Rev. 2015, 115, 13051–13092. [Google Scholar] [CrossRef] [PubMed]
- Aadim, K.A.; Haneen, K.; Hadi, Q.M. Effect of Annealing Temperature on the Optical Properties of TiO2 Thin Films Prepared by Pulse Laser Deposition. Int. Lett. Chem. Phys. Astron. 2015, 56, 63–70. [Google Scholar] [CrossRef]
- Rahman, A.; Kim, H.J.; Noor-A-Alam, M.; Shin, Y.H. A theoretical study on tuning band gaps of monolayer and bilayer SnS2 and SnSe2 under external stimuli. Curr. Appl. Phys. 2019, 19, 709. [Google Scholar] [CrossRef]













| m-TiO2 | m-TiO2-SnSe2 | ||||
|---|---|---|---|---|---|
| Thickness (nm) | Porosity (%) | Thickness (nm) | Porosity (%) | SnSe2 (%) | |
| Sample 1 | 121.3 ± 0.3 | 37.1 ± 0.1 | 138.7 ± 0.3 | 27.5 ± 0.1 | 6.5 ± 0.1 |
| Sample 2 | 117.9 ± 0.6 | 38.8 ± 0.2 | 142.0 ± 0.3 | 26.4 ± 0.1 | 8.1 ± 0.1 |
| Sample 3 | 124.1 ± 0.9 | 39.5 ± 0.2 | 139.9 ± 0.4 | 27.3 ± 0.2 | 8.9 ± 0.1 |
Disclaimer/Publisher’s Note: The statements, opinions and data contained in all publications are solely those of the individual author(s) and contributor(s) and not of MDPI and/or the editor(s). MDPI and/or the editor(s) disclaim responsibility for any injury to people or property resulting from any ideas, methods, instructions or products referred to in the content. |
© 2023 by the authors. Licensee MDPI, Basel, Switzerland. This article is an open access article distributed under the terms and conditions of the Creative Commons Attribution (CC BY) license (https://creativecommons.org/licenses/by/4.0/).
Share and Cite
De Santis, J.; Paolucci, V.; Stagi, L.; Carboni, D.; Malfatti, L.; Cantalini, C.; Innocenzi, P. Bidimensional SnSe2—Mesoporous Ordered Titania Heterostructures for Photocatalytically Activated Anti-Fingerprint Optically Transparent Layers. Nanomaterials 2023, 13, 1406. https://doi.org/10.3390/nano13081406
De Santis J, Paolucci V, Stagi L, Carboni D, Malfatti L, Cantalini C, Innocenzi P. Bidimensional SnSe2—Mesoporous Ordered Titania Heterostructures for Photocatalytically Activated Anti-Fingerprint Optically Transparent Layers. Nanomaterials. 2023; 13(8):1406. https://doi.org/10.3390/nano13081406
Chicago/Turabian StyleDe Santis, Jessica, Valentina Paolucci, Luigi Stagi, Davide Carboni, Luca Malfatti, Carlo Cantalini, and Plinio Innocenzi. 2023. "Bidimensional SnSe2—Mesoporous Ordered Titania Heterostructures for Photocatalytically Activated Anti-Fingerprint Optically Transparent Layers" Nanomaterials 13, no. 8: 1406. https://doi.org/10.3390/nano13081406
APA StyleDe Santis, J., Paolucci, V., Stagi, L., Carboni, D., Malfatti, L., Cantalini, C., & Innocenzi, P. (2023). Bidimensional SnSe2—Mesoporous Ordered Titania Heterostructures for Photocatalytically Activated Anti-Fingerprint Optically Transparent Layers. Nanomaterials, 13(8), 1406. https://doi.org/10.3390/nano13081406

