Competing Magnetic Interactions and Field-Induced Metamagnetic Transition in Highly Crystalline Phase-Tunable Iron Oxide Nanorods
Abstract
1. Introduction
2. Materials and Methods
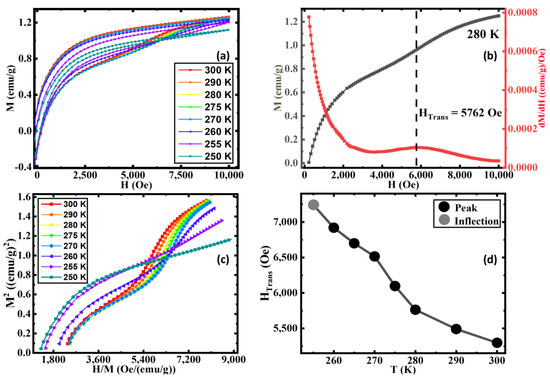
3. Results
4. Conclusions
Author Contributions
Funding
Data Availability Statement
Acknowledgments
Conflicts of Interest
References
- Feynman, R.P. There’s Plenty of Room at the Bottom. Eng. Sci. 1961, 23, 22–36. [Google Scholar]
- Thiesen, B.; Jordan, A. Clinical applications of magnetic nanoparticles for hyperthermia. Int. J. Hyperth. 2008, 24, 467–474. [Google Scholar] [CrossRef] [PubMed]
- Kumar, C.S.S.R.; Mohammad, F. Magnetic Nanomaterials for Hyperthermia-based Therapy and Controlled Drug Delivery. Adv. Drug Deliv. Rev. 2011, 63, 789. [Google Scholar] [CrossRef]
- Lavorato, G.C.; Das, R.; Xing, Y.; Robles, J.; Litterst, F.J.; Baggio-Saitovitch, E.; Phan, M.-H.; Srikanth, H. Origin and Shell-Driven Optimization of the Heating Power in Core/Shell Bimagnetic Nanoparticles. ACS Appl. Nano Mater. 2020, 3, 1755–1765. [Google Scholar] [CrossRef]
- Gandia, D.; Gandarias, L.; Rodrigo, I.; Robles-García, J.; Das, R.; Garaio, E.; García, J.Á.; Phan, M.-H.; Srikanth, H.; Orue, I.; et al. Unlocking the Potential of Magnetotactic Bacteria as Magnetic Hyperthermia Agents. Small 2019, 15, 1902626. [Google Scholar] [CrossRef] [PubMed]
- Denmark, D.J.; Hyde, R.H.; Gladney, C.; Phan, M.-H.; Bisht, K.S.; Srikanth, H.; Mukherjee, P.; Witanachchi, S. Photopolymerization-based synthesis of iron oxide nanoparticle embedded PNIPAM nanogels for biomedical applications. Drug Deliv. 2017, 24, 1317–1324. [Google Scholar] [CrossRef]
- Lavorato, G.C.; Das, R.; Masa, J.A.; Phan, M.H.; Srikanth, H. Hybrid magnetic nanoparticles as efficient nanoheaters in biomedical applications. Nanoscale Adv. 2021, 3, 867–888. [Google Scholar] [CrossRef]
- Wang, C.; Meyer, J.; Teichert, N.; Auge, A.; Rausch, E.; Balke, B.; Hütten, A.; Fecher, G.H.; Felser, C. Heusler nanoparticles for spintronics and ferromagnetic shape memory alloys. J. Vac. Sci. Technol. B 2014, 32, 020802. [Google Scholar] [CrossRef]
- Karmakar, S.; Kumar, S.; Rinaldi, R.; Maruccio, G. Nano-electronics and spintronics with nanoparticles. J. Phys. Conf. Ser. 2011, 292, 012002. [Google Scholar] [CrossRef]
- Hvolbæk, B.; Janssens, T.V.W.; Clausen, B.S.; Falsig, H.; Christensen, C.H.; Nørskov, J.K. Catalytic activity of Au nanoparticles. Nano Today 2007, 2, 14–18. [Google Scholar] [CrossRef]
- Raimondi, F.; Scherer, G.G.; Kötz, R.; Wokaun, A. Nanoparticles in Energy Technology: Examples from Electrochemistry and Catalysis. Angew. Chem. Int. Ed. 2005, 44, 2190–2209. [Google Scholar] [CrossRef] [PubMed]
- Chandra, S.; Das, R.; Kalappattil, V.; Eggers, T.; Harnagea, C.; Nechache, R.; Phan, M.-H.; Rosei, F.; Srikanth, H. Epitaxial magnetite nanorods with enhanced room temperature magnetic anisotropy. Nanoscale 2017, 9, 7858–7867. [Google Scholar] [CrossRef] [PubMed]
- Geng, R.; Luong, H.M.; Pham, M.T.; Das, R.; Repa, K.S.; Robles-Garcia, J.; Duong, T.A.; Pham, H.T.; Au, T.H.; Lai, N.D.; et al. Magnetically tunable organic semiconductors with superparamagnetic nanoparticles. Mater. Horiz. 2019, 6, 1913–1922. [Google Scholar] [CrossRef]
- Au, T.H.; Trinh, D.T.; Tong, Q.C.; Do, D.B.; Nguyen, D.P.; Phan, M.-H.; Lai, N.D. Direct Laser Writing of Magneto-Photonic Sub-Microstructures for Prospective Applications in Biomedical Engineering. Nanomaterials 2017, 7, 105. [Google Scholar] [CrossRef]
- Sangaiya, P.; Jayaprakash, R. A Review on Iron Oxide Nanoparticles and Their Biomedical Applications. J. Supercond. Nov. Magn. 2018, 31, 3397–3413. [Google Scholar] [CrossRef]
- Amstad, E.; Textor, M.; Reimhult, E. Stabilization and functionalization of iron oxide nanoparticles for biomedical applications. Nanoscale 2011, 3, 2819–2843. [Google Scholar] [CrossRef]
- Manescu, V.; Paltanea, G.; Antoniac, I.; Vasilescu, M. Magnetic Nanoparticles Used in Oncology. Materials 2021, 14, 5948. [Google Scholar] [CrossRef]
- Wu, W.; He, Q.; Jiang, C. Magnetic Iron Oxide Nanoparticles: Synthesis and Surface Functionalization Strategies. Nanoscale Res. Lett. 2008, 3, 397–415. [Google Scholar] [CrossRef]
- Attanayake, S.B.; Chanda, A.; Das, R.; Phan, M.H.; Srikanth, H. Emergent magnetic properties of biphase iron oxide nanorods. AIP Adv. 2022, 12, 035136. [Google Scholar] [CrossRef]
- Attanayake, S.B.; Chanda, A.; Das, R.; Kapuruge, N.; Gutierrez, H.R.; Phan, M.-H.; Srikanth, H. Emergent magnetism and exchange bias effect in iron oxide nanocubes with tunable phase and size. J. Phys. Condens. Matter 2022, 34, 495301. [Google Scholar] [CrossRef]
- Khurshid, H.; Phan, M.H.; Mukherjee, P.; Srikanth, H. Tuning exchange bias in Fe/γ-Fe2O3 core-shell nanoparticles: Impacts of interface and surface spins. Appl. Phys. Lett. 2014, 104, 072407. [Google Scholar] [CrossRef]
- Chanda, A.; DeTellem, D.; Pham, Y.T.H.; Shoup, J.E.; Duong, A.T.; Das, R.; Cho, S.; Voronine, D.V.; Trinh, M.T.; Arena, D.A.; et al. Spin Seebeck Effect in Iron Oxide Thin Films: Effects of Phase Transition, Phase Coexistence, And Surface Magnetism. ACS Appl. Mater. Interfaces 2022, 14, 13468–13479. [Google Scholar] [CrossRef] [PubMed]
- Chanda, A.; Hung, C.M.; Duong, A.T.; Cho, S.; Srikanth, H.; Phan, M.H. Magnetism and spin-dependent transport phenomena across Verwey and Morin transitions in iron oxide/Pt bilayers. J. Magn. Magn. Mater. 2023, 568, 170370. [Google Scholar] [CrossRef]
- Hung, C.-M.; Dang, D.T.-X.; Chanda, A.; Detellem, D.; Alzahrani, N.; Kapuruge, N.; Pham, Y.T.H.; Liu, M.; Zhou, D.; Gutierrez, H.R.; et al. Enhanced Magnetism and Anomalous Hall Transport through Two-Dimensional Tungsten Disulfide Interfaces. Nanomaterials 2023, 13, 771. [Google Scholar] [CrossRef]
- Das, R.; Alonso, J.; Nemati Porshokouh, Z.; Kalappattil, V.; Torres, D.; Phan, M.-H.; Garaio, E.; García, J.Á.; Sanchez Llamazares, J.L.; Srikanth, H. Tunable High Aspect Ratio Iron Oxide Nanorods for Enhanced Hyperthermia. J. Phys. Chem. C 2016, 120, 10086–10093. [Google Scholar] [CrossRef]
- Mohapatra, J.; Mitra, A.; Tyagi, H.; Bahadur, D.; Aslam, M. Iron oxide nanorods as high-performance magnetic resonance imaging contrast agents. Nanoscale 2015, 7, 9174–9184. [Google Scholar] [CrossRef] [PubMed]
- Rebolledo, A.F.; Bomatí-Miguel, O.; Marco, J.F.; Tartaj, P. A Facile Synthetic Route for the Preparation of Superparamagnetic Iron Oxide Nanorods and Nanorices with Tunable Surface Functionality. Adv. Mater. 2008, 20, 1760–1765. [Google Scholar] [CrossRef]
- Nguyen, T.V.; Luong, N.A.; Nguyen, V.T.; Pham, A.T.; Le, A.T.; To, T.L. Effect of the phase composition of iron oxide nanorods on SO2 gas sensing performance. Mater. Res. Bull 2021, 134, 111087. [Google Scholar] [CrossRef]
- Liu, Z.; Tay, S.W.; Li, X. Rechargeable battery using a novel iron oxide nanorods anode and a nickel hydroxide cathode in an aqueous electrolyte. Chem. Commun. 2011, 47, 12473–12475. [Google Scholar] [CrossRef]
- Cornell, R.M.; Schwertmann, U. The Iron Oxides. Iron Oxides. 2003. [CrossRef]
- Li, Z.; Chanéac, C.; Berger, G.; Delaunay, S.; Graff, A.; Lefèvre, G. Mechanism and kinetics of magnetite oxidation under hydrothermal conditions. RSC Adv. 2019, 9, 33633–33642. [Google Scholar] [CrossRef] [PubMed]
- Sun, H.; Chen, B.; Jiao, X.; Jiang, Z.; Qin, Z.; Chen, D. Solvothermal Synthesis of Tunable Electroactive Magnetite Nanorods by Controlling the Side Reaction. J. Phys. Chem. C 2012, 116, 5476–5481. [Google Scholar] [CrossRef]
- Attanayake, S.B.; Chanda, A.; Das, R.; Phan, M.H.; Srikanth, H. Effects of annealing temperature on the magnetic properties of highly crystalline biphase iron oxide nanorods. AIP Adv. 2023, 13, 025333. [Google Scholar] [CrossRef]
- Chauhan, A.; Chauhan, P. Powder XRD Technique and its Applications in Science and Technology. J. Anal. Bioanal. Tech. 2014, 5, 1–5. [Google Scholar] [CrossRef]
- Shankar, A.; Chand, M.; Basheed, G.A.; Thakur, S.; Pant, R.P. Low temperature FMR investigations on double surfactant water based ferrofluid. J. Magn. Magn. Mater. 2015, 374, 696–702. [Google Scholar] [CrossRef]
- Ghoshani, M.; Sánchez, E.H.; Lee, S.S.; Singh, G.; Yaacoub, N.; Peddis, D.; Mozaffari, M.; Binns, C.; De Toro, J.A.; Normile, P.S. On the detection of surface spin freezing in iron oxide nanoparticles and its long-term evolution under ambient oxidation. Nanotechnology 2021, 32, 065704. [Google Scholar] [CrossRef]
- Muscas, G.; Concas, G.; Cannas, C.; Musinu, A.; Ardu, A.; Orrù, F.; Fiorani, D.; Laureti, S.; Rinaldi, D.; Piccaluga, G.; et al. Magnetic properties of small magnetite nanocrystals. J. Phys. Chem. C 2013, 117, 23378–23384. [Google Scholar] [CrossRef]
- Bhowmik, R.N.; Aneeshkumar, K.S. Low temperature ferromagnetic properties, magnetic field induced spin order and random spin freezing effect in Ni1.5Fe1.5O4 ferrite; prepared at different pH values and annealing temperatures. J. Magn. Magn. Mater. 2018, 460, 177–187. [Google Scholar] [CrossRef]
- Obaidat, I.M.; Mohite, V.; Issa, B.; Tit, N.; Haik, Y. Predicting a major role of surface spins in the magnetic properties of ferrite nanoparticles. Cryst. Res. Technol. 2009, 44, 489–494. [Google Scholar] [CrossRef]
- Narayanaswamy, V.; Al-Omari, I.A.; Kamzin, A.S.; Khurshid, H.; Khaleel, A.; Issa, B.; Obaidat, I.M. Coercivity and Exchange Bias in Ti-Doped Maghemite Nanoparticles. Magnetochemistry 2022, 8, 165. [Google Scholar] [CrossRef]
- Khurshid, H.; Lampen-Kelley, P.; Iglesias, Ò.; Alonso, J.; Phan, M.-H.; Sun, C.-J.; Saboungi, M.-L.; Srikanth, H. Spin-glass-like freezing of inner and outer surface layers in hollow γ-Fe2O3 nanoparticles. Sci. Rep. 2015, 5, 15054. [Google Scholar] [CrossRef]
- IBruvera, J.; Zélis, P.M.; Calatayud, M.P.; Goya, G.F.; Sánchez, F.H. Determination of the blocking temperature of magnetic nanoparticles: The good, the bad, and the ugly. J. Appl. Phys. 2015, 118, 184304. [Google Scholar] [CrossRef]
- Ji, J.Y.; Shih, P.H.; Chan, T.S.; Ma, Y.R.; Wu, S.Y. Magnetic Properties of Cluster Glassy Ni/NiO Core–Shell Nanoparticles: An Investigation of Their Static and Dynamic Magnetization. Nanoscale Res. Lett. 2015, 10, 243. [Google Scholar] [CrossRef] [PubMed]
- Walz, F. The Verwey transition–A topical review. J. Phys. Condens. Matter 2002, 14, R285–R340. [Google Scholar] [CrossRef]
- Jackson, M.J.; Moskowitz, B. On the distribution of Verwey transition temperatures in natural magnetites. Geophys. J. Int. 2021, 224, 1314–1325. [Google Scholar] [CrossRef]
- Verwey, E.J.W. Electronic conduction of magnetite (Fe3O4) and its transition point at low temperatures. Nature 1939, 144, 327–328. [Google Scholar] [CrossRef]
- Verwey, E.J.W.; Haayman, P.W. Electronic conductivity and transition point of magnetite (‘Fe3O4’). Physica 1941, 8, 979–987. [Google Scholar] [CrossRef]
- Walz, F.; Kronmüller, H. Evidence for a single-stage Verwey-transition in perfect magnetite. Philos. Mag. B 2006, 64, 623–628. [Google Scholar] [CrossRef]
- Schmitz-Antoniak, C.; Schmitz, D.; Warland, A.; Darbandi, M.; Haldar, S.; Bhandary, S.; Sanyal, B.; Eriksson, O.; Wende, H. Suppression of the Verwey Transition by Charge Trapping. Ann. Phys. 2018, 530, 1700363. [Google Scholar] [CrossRef]
- Shimomura, N.; Pati, S.P.; Sato, Y.; Nozaki, T.; Shibata, T.; Mibu, K.; Sahashi, M. Morin transition temperature in (0001)-oriented α-Fe2O3 thin film and effect of Ir doping. J. Appl. Phys. 2015, 117, 17C736. [Google Scholar] [CrossRef]
- Lebrun, R.; Ross, A.; Gomonay, O.; Baltz, V.; Ebels, U.; Barra, A.-L.; Qaiumzadeh, A.; Brataas, A.; Sinova, J.; Kläui, M. Long-distance spin-transport across the Morin phase transition up to room temperature in ultra-low damping single crystals of the antiferromagnet α-Fe2O3. Nat. Commun. 2020, 11, 1–7. [Google Scholar] [CrossRef] [PubMed]
- Özdemir, Ö.; Dunlop, D.J.; Berquó, T.S. Morin transition in hematite: Size dependence and thermal hysteresis. Geochem. Geophys. Geosystems 2008, 9, 10–11. [Google Scholar] [CrossRef]
- Mørup, S.; Madsen, D.E.; Frandsen, C.; Bahl, C.R.H.; Hansen, M.F. Experimental and theoretical studies of nanoparticles of antiferromagnetic materials. J. Phys. Condens. Matter 2007, 19, 213202. [Google Scholar] [CrossRef]
- Artman, J.O.; Murphy, J.C.; Foner, S. Magnetic Anisotropy in Antiferromagnetic Corundum-Type Sesquioxides. Phys. Rev. 1965, 138, A912. [Google Scholar] [CrossRef]
- Mitra, S.; Das, S.; Basu, S.; Sahu, P.; Mandal, K. Shape- and field-dependent Morin transitions in structured α-Fe2O3. J. Magn. Magn. Mater. 2009, 321, 2925–2931. [Google Scholar] [CrossRef]
- Jaiswal, A.; Das, R.; Adyanthaya, S.; Poddar, P. Surface effects on morin transition, exchange bias, and enchanced spin reorientation in chemically synthesized DyFeO3 nanoparticles. J. Phys. Chem. C 2011, 115, 2954–2960. [Google Scholar] [CrossRef]
- Bean, C.P.; Livingston, J.D. Superparamagnetism. J. Appl. Phys. 2009, 30, S120. [Google Scholar] [CrossRef]
- Chanda, A.; Shoup, J.E.; Schulz, N.; Arena, D.A.; Srikanth, H. Tunable competing magnetic anisotropies and spin reconfigurations in ferrimagnetic Fe100-xGdx alloy films. Phys. Rev. B 2021, 104, 094404. [Google Scholar] [CrossRef]
- Cheng, Y.; Yu, S.; Ahmed, A.S.; Zhu, M.; Rao, Y.; Ghazisaeidi, M.; Hwang, J.; Yang, F. Anisotropic magnetoresistance and nontrivial spin Hall magnetoresistance in Pt/α- Fe2O3 bilayers. Phys. Rev. B 2019, 100, 220408. [Google Scholar] [CrossRef]
- Paul-Boncour, V.; Isnard, O.; Guillot, M.; Hoser, A. Metamagnetic transitions in Y0.5Er0.5Fe2D4.2 deuteride studied by high magnetic field and neutron diffraction experiments. J. Magn. Magn. Mater. 2019, 477, 356–365. [Google Scholar] [CrossRef]
- Rani, S.; Varma, G.D. Superparamagnetism and metamagnetic transition in Fe3O4 nanoparticles synthesized via co-precipitation method at different pH. Physica. B Condens. Matter. 2015, 472, 66–77. [Google Scholar] [CrossRef]
- Cai, X.; Shi, L.; Zhou, S. Size-dependent structure and magnetic properties of DyMnO3 nanoparticles. J. Appl. Phys 2014, 116, 103903. [Google Scholar] [CrossRef]
- Inoue, J.; Shimizu, M. Volume dependence of the first-order transition temperature for RCo2 compounds. J. Phys. F Met. Phys. 1982, 12, 1811. [Google Scholar] [CrossRef]
- Banerjee, B.K. On a generalised approach to first and second order magnetic transitions. Phys. Lett. 1964, 12, 16–17. [Google Scholar] [CrossRef]
- Suzuki, I.; Hamasaki, Y.; Itoh, M.; Taniyama, T. Controllable exchange bias in Fe/metamagnetic FeRh bilayers. Appl. Phys. Lett. 2014, 105, 172401. [Google Scholar] [CrossRef]
- Cress, C.D.; Erve, O.V.; Prestigiacomo, J.; LaGasse, S.W.; Glavic, A.; Lauter, V.; Bennett, S.P. Domain state exchange bias in a single layer FeRh thin film formed via low energy ion implantation. J. Mater. Chem. C Mater. 2023, 11, 903–909. [Google Scholar] [CrossRef]
- Bloch, F. Zur Theorie des Ferromagnetismus. Zeitschrift für Physik 1930, 61, 206–219. [Google Scholar] [CrossRef]
- Nadeem, K.; Krenn, H. Exchange bias, memory and freezing effects in NiFe2O4 nanoparticles. J. Supercond. Nov. Magn. 2011, 24, 717–720. [Google Scholar] [CrossRef]
- Si, P.-Z.; Wang, X.-Y.; Ge, H.-L.; Qian, H.-D.; Park, J.; Yang, Y.; Li, Y.-S.; Choi, C.-J. Beating Thermal Deterioration of Magnetization with Mn4C and Exchange Bias in Mn–C Nanoparticles. Nanomaterials 2018, 8, 1056. [Google Scholar] [CrossRef]
- Tang, Y.J.; Roos, B.; Mewes, T.; Demokritov, S.O.; Hillebrands, B.; Wang, Y.J. Enhanced coercivity of exchange-bias Fe/MnPd bilayers. Appl. Phys. Lett. 1999, 75, 707. [Google Scholar] [CrossRef]
- Yuan, C.L. Room-temperature coercivity of Ni/NiO Core/Shell nanoparticles fabricated by pulsed laser deposition. J. Phys. Chem. C 2010, 114, 2124–2126. [Google Scholar] [CrossRef]
- Choi, J.; Wu, J.; Wu, Y.Z.; Won, C.; Scholl, A.; Doran, A.; Owens, T.; Qiu, Z.Q. Effect of atomic steps on the interfacial interaction of FeMnCo films grown on vicinal Cu(001). Phys. Rev. B Condens. Matter. Mater. Phys. 2007, 76, 054407. [Google Scholar] [CrossRef]
- Kodama, R.H.; Berkowitz, A.E.; Niff, E.J.M.; Foner, S. Surface Spin Disorder in NiFe2O4 Nanoparticles. Phys. Rev. Lett. 1996, 77, 394–397. [Google Scholar] [CrossRef] [PubMed]
- Bickford, L.R. Ferromagnetic Resonance Absorption in Magnetite Single Crystals. Phys. Rev. 1950, 78, 449. [Google Scholar] [CrossRef]
- Moskowitz, B.M.; Jackson, M.; Kissel, C. Low-temperature magnetic behavior of titanomagnetites. Earth Planet Sci. Lett. 1998, 157, 141–149. [Google Scholar] [CrossRef]
- Özdemir, Ö.; Dunlop, D.J.; Moskowitz, B.M. Changes in remanence, coercivity and domain state at low temperature in magnetite. Earth Planet Sci. Lett. 2002, 194, 343–358. [Google Scholar] [CrossRef]
- Shull, C.G.; Strauser, W.A.; Wollan, E.O. Neutron Diffraction by Paramagnetic and Antiferromagnetic Substances. Phys. Rev. 1951, 83, 333. [Google Scholar] [CrossRef]







Disclaimer/Publisher’s Note: The statements, opinions and data contained in all publications are solely those of the individual author(s) and contributor(s) and not of MDPI and/or the editor(s). MDPI and/or the editor(s) disclaim responsibility for any injury to people or property resulting from any ideas, methods, instructions or products referred to in the content. |
© 2023 by the authors. Licensee MDPI, Basel, Switzerland. This article is an open access article distributed under the terms and conditions of the Creative Commons Attribution (CC BY) license (https://creativecommons.org/licenses/by/4.0/).
Share and Cite
Attanayake, S.B.; Chanda, A.; Hulse, T.; Das, R.; Phan, M.-H.; Srikanth, H. Competing Magnetic Interactions and Field-Induced Metamagnetic Transition in Highly Crystalline Phase-Tunable Iron Oxide Nanorods. Nanomaterials 2023, 13, 1340. https://doi.org/10.3390/nano13081340
Attanayake SB, Chanda A, Hulse T, Das R, Phan M-H, Srikanth H. Competing Magnetic Interactions and Field-Induced Metamagnetic Transition in Highly Crystalline Phase-Tunable Iron Oxide Nanorods. Nanomaterials. 2023; 13(8):1340. https://doi.org/10.3390/nano13081340
Chicago/Turabian StyleAttanayake, Supun B., Amit Chanda, Thomas Hulse, Raja Das, Manh-Huong Phan, and Hariharan Srikanth. 2023. "Competing Magnetic Interactions and Field-Induced Metamagnetic Transition in Highly Crystalline Phase-Tunable Iron Oxide Nanorods" Nanomaterials 13, no. 8: 1340. https://doi.org/10.3390/nano13081340
APA StyleAttanayake, S. B., Chanda, A., Hulse, T., Das, R., Phan, M.-H., & Srikanth, H. (2023). Competing Magnetic Interactions and Field-Induced Metamagnetic Transition in Highly Crystalline Phase-Tunable Iron Oxide Nanorods. Nanomaterials, 13(8), 1340. https://doi.org/10.3390/nano13081340

