Enhanced Diffractive Circular Dichroism from Stereoscopic Plasmonic Molecule Array
Abstract
1. Introduction
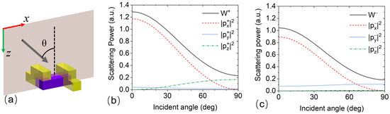
2. Theoretical Design
3. Experimental Implementation
4. Conclusions
Funding
Data Availability Statement
Conflicts of Interest
References
- Barron, L.D. Molecular Light Scattering and Optical Activity; Cambridge University Press: Cambridge, UK, 2004. [Google Scholar]
- Inoue, Y.; Ramamurthy, V. Chiral Photochemistry; Marcel Dekker: New York, NY, USA, 2004. [Google Scholar]
- Hentschel, M.; Schäferling, M.; Duan, X.; Giessen, H.; Liu, N. Chiral plasmonics. Sci. Adv. 2017, 3, e1602735. [Google Scholar] [CrossRef] [PubMed]
- Poulikakos, L.V.; Thureja, P.; Stollmann, A.; De Leo, E.; Norris, D.J. Chiral Light Design and Detection Inspired by Optical Antenna Theory. Nano Lett. 2018, 18, 4633–4640. [Google Scholar] [CrossRef] [PubMed]
- Hu, H.; Gan, Q.; Zhan, Q. Achieving maximum scattering circular dichroism through the excitation of anapole states within chiral Mie nanospheres. Phys. Rev. B 2022, 105, 245412. [Google Scholar] [CrossRef]
- Valev, V.K.; Smisdom, N.; Silhanek, A.V.; De Clercq, B.; Gillijns, W.; Ameloot, M.; Moshchalkov, V.V.; Verbiest, T. Plasmonic Ratchet Wheels: Switching Circular Dichroism by Arranging Chiral Nanostructures. Nano Lett. 2009, 9, 3945–3948. [Google Scholar] [CrossRef]
- Banzer, P.; Woźniak, P.; Mick, U.; De Leon, I.; Boyd, R.W. Chiral optical response of planar and symmetric nanotrimers enabled by heteromaterial selection. Nat. Commun. 2016, 7, 13117. [Google Scholar] [CrossRef]
- Zhu, A.Y.; Chen, W.T.; Zaidi, A.; Huang, Y.-W.; Khorasaninejad, M.; Sanjeev, V.; Qiu, C.-W.; Capasso, F. Giant intrinsic chiro- optical activity in planar dielectric nanostructures. Light Sci. Appl. 2018, 7, 17158. [Google Scholar] [CrossRef] [PubMed]
- Gansel, J.K.; Thiel, M.; Rill, M.S.; Decker, M.; Bade, K.; Saile, V.; Von Freymann, G.; Linden, S.; Wegener, M. Gold Helix Photonic Metamaterial as Broadband Circular Polarizer. Science 2009, 325, 1513–1515. [Google Scholar] [CrossRef]
- Tanaka, Y.Y.; Albella, P.; Rahmani, M.; Giannini, V.; Maier, S.A.; Shimura, T. Plasmonic linear nanomotor using lateral optical forces. Sci. Adv. 2020, 6, eabc3726. [Google Scholar] [CrossRef] [PubMed]
- He, C.; Yang, G.; Kuai, Y.; Shan, S.; Yang, L.; Hu, J.; Zhang, D.; Zhang, Q.; Zou, G. Dissymmetry enhancement in enantioselective synthesis of helical polydiacetylene by application of superchiral light. Nat. Commun. 2018, 9, 5117. [Google Scholar] [CrossRef]
- Zhang, Y.; Bai, X.; Muñoz, J.A.; Dai, Y.; Das, S.; Wang, Y.; Sun, Z. Coherent modulation of chiral nonlinear optics with crystal symmetry. Light Sci. Appl. 2022, 11, 216. [Google Scholar] [CrossRef]
- Guo, W.-P.; Liang, W.Y.; Cheng, C.W.; Wu, W.L.; Wang, Y.T.; Sun, Q.; Zu, S.; Misawa, H.; Cheng, P.-J.; Gwo, S. Chiral Second- Harmonic Generation from Monolayer WS2/Aluminum Plasmonic Vortex Metalens. Nano Lett. 2020, 20, 2857–2864. [Google Scholar] [CrossRef] [PubMed]
- Rui, G.H.; Hu, H.; Singer, M.; Jen, Y.J.; Zhan, Q.; Gan, Q. Symmetric Meta-Absorber-Induced Superchirality. Adv. Opt. Mater. 2019, 7, 201901038. [Google Scholar] [CrossRef]
- García-Guirado, J.; Svedendahl, M.; Puigdollers, J.; Quidant, R. Enhanced Chiral Sensing with Dielectric Nanoresonators. Nano Lett. 2020, 20, 585–591. [Google Scholar] [CrossRef] [PubMed]
- Zhao, Y.; Askarpour, A.N.; Sun, L.; Shi, J.; Li, X.; Alù, A. Chirality detection of enantiomers using twisted optical metamaterials. Nat. Commun. 2017, 8, 14180. [Google Scholar] [CrossRef]
- Gibbs, J.G.; Mark, A.G.; Eslami, S.; Fischer, P. Plasmonic nanohelix metamaterials with tailorable giant circular dichroism. Appl. Phys. Lett. 2013, 103, 213101. [Google Scholar] [CrossRef]
- Gorkunov, M.V.; Ezhov, A.A.; Artemov, V.V.; Rogov, O.Y.; Yudin, S.G. Extreme optical activity and circular dichroism of chiral metal hole arrays. Appl. Phys. Lett. 2014, 104, 221102. [Google Scholar] [CrossRef]
- Hu, J.; Xiao, Y.; Zhou, L.-M.; Jiang, X.; Qiu, W.; Fei, W.; Chen, Y.; Zhan, Q. Ultra-narrow-band circular dichroism by surface lattice resonances in an asymmetric dimer-on-mirror metasurface. Opt. Express 2022, 30, 16020–16030. [Google Scholar] [CrossRef]
- Decker, M.; Zhao, R.; Soukoulis, C.M.; Linden, S.; Wegener, M. Twisted split-ring-resonator photonic metamaterial with huge optical activity. Opt. Lett. 2010, 35, 1593–1595. [Google Scholar] [CrossRef] [PubMed]
- Dietrich, K.; Lehr, D.; Helgert, C.; Tünnermann, A.; Kley, E.-B. Circular Dichroism from Chiral Nanomaterial Fabricated by On- Edge Lithography. Adv. Opt. Mater. 2012, 24, OP321–OP325. [Google Scholar] [CrossRef]
- Dietrich, K.; Menzel, C.; Lehr, D.; Puffky, O.; Hübner, U.; Pertsch, T.; Tunnermann, A.; Kley, E.-B. Elevating optical activity: Efficient on-edge lithography of three-dimensional starfish metamaterial. Appl. Phys. Lett. 2014, 104, 193107. [Google Scholar] [CrossRef]
- Zhu, J.; Wu, F.; Han, Z.; Shang, Y.; Liu, F.; Yu, H.; Yu, L.; Li, N.; Ding, B. Strong Light–Matter Interactions in Chiral Plasmonic– Excitonic Systems Assembled on DNA Origami. Nano Lett. 2021, 21, 3573–3580. [Google Scholar] [CrossRef] [PubMed]
- Yin, X.; Schäferling, M.; Metzger, B.; Giessen, H. Interpreting Chiral Nanophotonic Spectra: The Plasmonic Born–Kuhn Model. Nano Lett. 2013, 13, 6238–6243. [Google Scholar] [CrossRef]
- Gui, L.; Hentschel, M.; Defrance, J.; Krauth, J.; Weiss, T.; Giessen, H. Nonlinear Born-Kuhn Analog for Chiral Plasmonics. ACS Photonics 2019, 6, 3306–3314. [Google Scholar] [CrossRef]
- Valev, V.K.; Baumberg, J.J.; De Clercq, B.; Braz, N.; Zheng, X.; Osley, E.J.; VandenDriessche, S.; Hojeij, M.; Blejean, C.; Mertens, J.; et al. Nonlinear Superchiral Meta-Surfaces: Tuning Chirality and Disentangling Non-Reciprocity at the Nanoscale. Adv. Mater. 2014, 26, 4074–4081. [Google Scholar] [CrossRef] [PubMed]
- Kuppe, C.; Williams, C.; You, J.; Collins, J.T.; Gordeev, S.N.; Wilkinson, T.D.; Panoiu, N.C.; Valev, V.K. Circular Dichroism in Higher-Order Diffraction Beams from Chiral Quasiplanar Nanostructures. Adv. Opt. Mater. 2018, 6, 1800098. [Google Scholar] [CrossRef]
- Bomzon, Z.; Biener, G.; Kleiner, V.; Hasman, E. Space-variant Pancharatnam–Berry phase optical elements with computer-gen- erated subwavelength gratings. Opt. Lett. 2002, 27, 1141. [Google Scholar] [CrossRef]
- Yu, N.; Capasso, F. Flat optics with designer metasurfaces. Nat. Mater. 2014, 13, 139–150. [Google Scholar] [CrossRef]
- Ke, Y.; Liu, Y.; Zhou, J.; Liu, Y.; Luo, H.; Wen, S. Optical integration of Pancharatnam-Berry phase lens and dynamical phase lens. Appl. Phys. Lett. 2016, 108, 101102. [Google Scholar] [CrossRef]
- Choudhury, S.; Guler, U.; Shaltout, A.; Shalaev, V.M.; Kildishev, A.V.; Boltasseva, A. Pancharatnam–Berry Phase Manipulating Metasurface for Visible Color Hologram Based on Low Loss Silver Thin Film. Adv. Opt. Mater. 2017, 5, 1700196. [Google Scholar] [CrossRef]
- Miroshnichenko, A.E.; Evlyukhin, A.B.; Yu, Y.F.; Bakker, R.M.; Chipouline, A.; Kuznetsov, A.I.; Luk’Yanchuk, B.; Chichkov, B.N.; Kivshar, Y.S. Nonradiating anapole modes in dielectric nanoparticles. Nat. Commun. 2015, 6, 8069. [Google Scholar] [CrossRef] [PubMed]
- Alaee, R.; Rockstuhl, C.; Fernandez-Corbaton, I. An electromagnetic multipole expansion beyond the long-wavelength approx- imation. Opt. Commun. 2018, 407, 17–21. [Google Scholar] [CrossRef]
- Palik, E.D. Handbook of Optical Constants of Solids; Academic Press: Cambridge, MA, USA, 1998. [Google Scholar]





Disclaimer/Publisher’s Note: The statements, opinions and data contained in all publications are solely those of the individual author(s) and contributor(s) and not of MDPI and/or the editor(s). MDPI and/or the editor(s) disclaim responsibility for any injury to people or property resulting from any ideas, methods, instructions or products referred to in the content. |
© 2023 by the authors. Licensee MDPI, Basel, Switzerland. This article is an open access article distributed under the terms and conditions of the Creative Commons Attribution (CC BY) license (https://creativecommons.org/licenses/by/4.0/).
Share and Cite
Gu, L.; Shu, R.; Liu, X.; Hu, H.; Zhan, Q. Enhanced Diffractive Circular Dichroism from Stereoscopic Plasmonic Molecule Array. Nanomaterials 2023, 13, 1175. https://doi.org/10.3390/nano13071175
Gu L, Shu R, Liu X, Hu H, Zhan Q. Enhanced Diffractive Circular Dichroism from Stereoscopic Plasmonic Molecule Array. Nanomaterials. 2023; 13(7):1175. https://doi.org/10.3390/nano13071175
Chicago/Turabian StyleGu, Liangliang, Rong Shu, Xiangfeng Liu, Haifeng Hu, and Qiwen Zhan. 2023. "Enhanced Diffractive Circular Dichroism from Stereoscopic Plasmonic Molecule Array" Nanomaterials 13, no. 7: 1175. https://doi.org/10.3390/nano13071175
APA StyleGu, L., Shu, R., Liu, X., Hu, H., & Zhan, Q. (2023). Enhanced Diffractive Circular Dichroism from Stereoscopic Plasmonic Molecule Array. Nanomaterials, 13(7), 1175. https://doi.org/10.3390/nano13071175

