Pore Structure and Gas Content Characteristics of Lower Jurassic Continental Shale Reservoirs in Northeast Sichuan, China
Abstract
1. Introduction
2. Materials and Methods
2.1. Geological Setting and Samples
2.2. Analytical Methods and Sampling
2.2.1. X-ray Diffraction (XRD)
2.2.2. Scanning Electron Microscopy (SEM)
2.2.3. Low-Pressure N2 Adsorption and High-Pressure Mercury Experiments
2.2.4. Contact Angle Experiment
3. Results
3.1. Mineral Composition Characteristics of the Jurassic Continental Shales
3.2. Geochemical Characteristics of Continental Jurassic Shale
3.3. Lithofacies Classification and Characteristics of Continental Jurassic Shale
3.4. Pore Development Types of the Jurassic Continental Shales
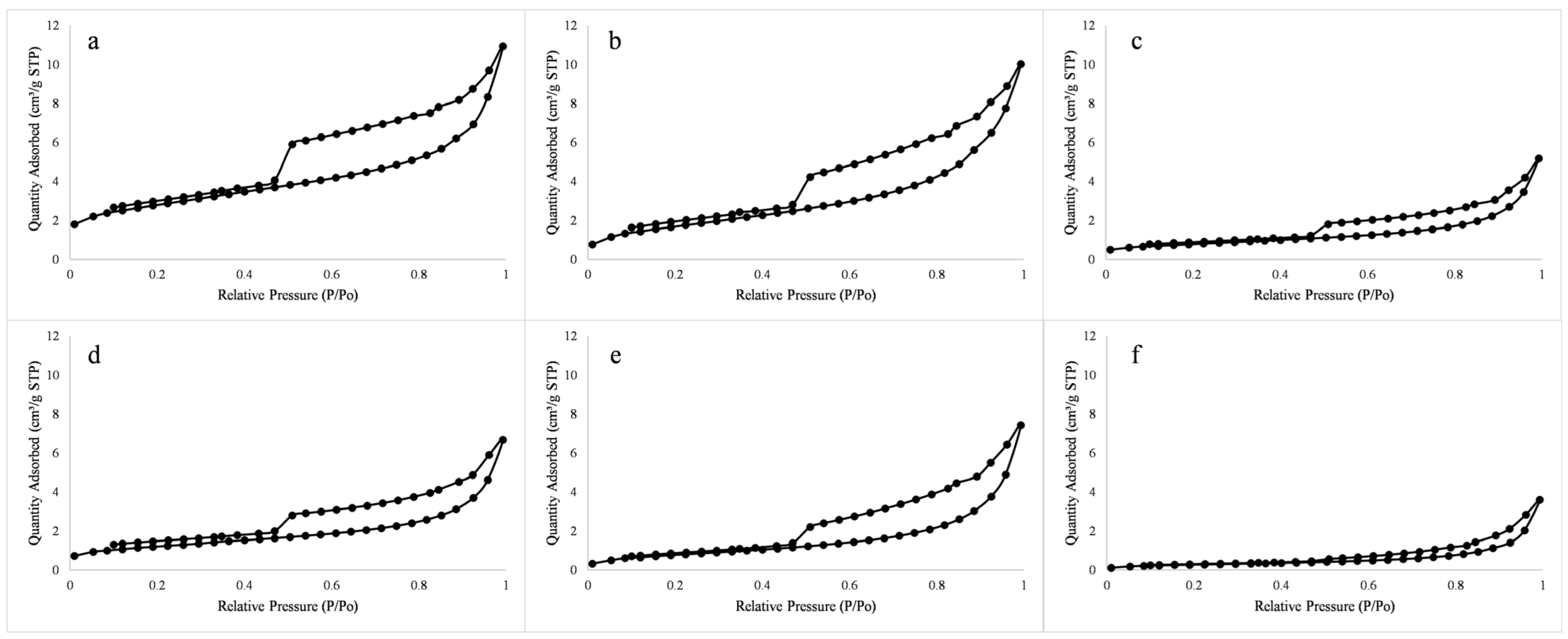
3.5. Differences in Pore Structure Characteristics of Shale Reservoirs with Different Lithofacies
3.6. Wettability Characteristics of the Jurassic Continental Shale Reservoirs
4. Discussion
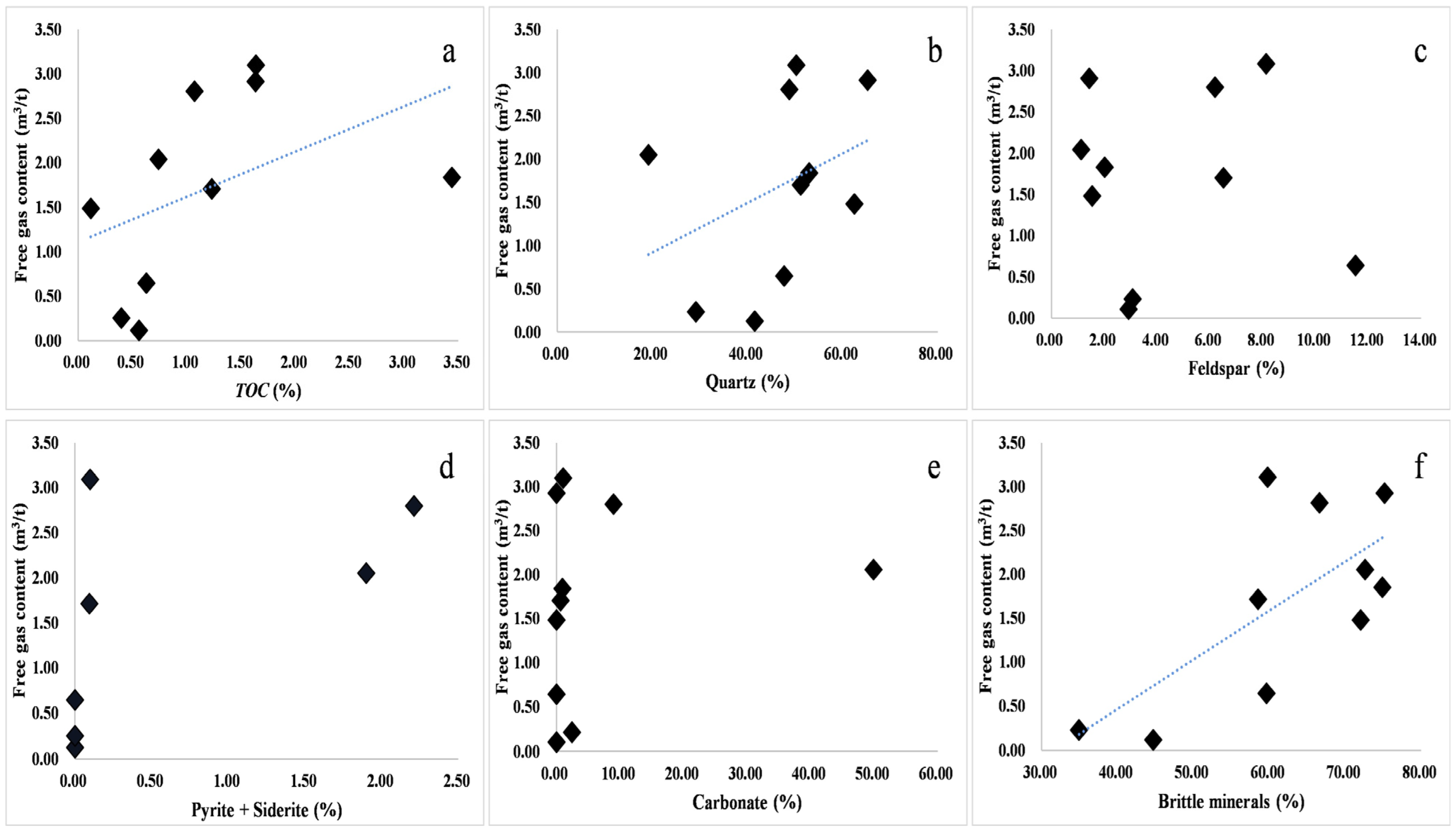
4.1. Characteristics and Control Factors of Free Gas Volume
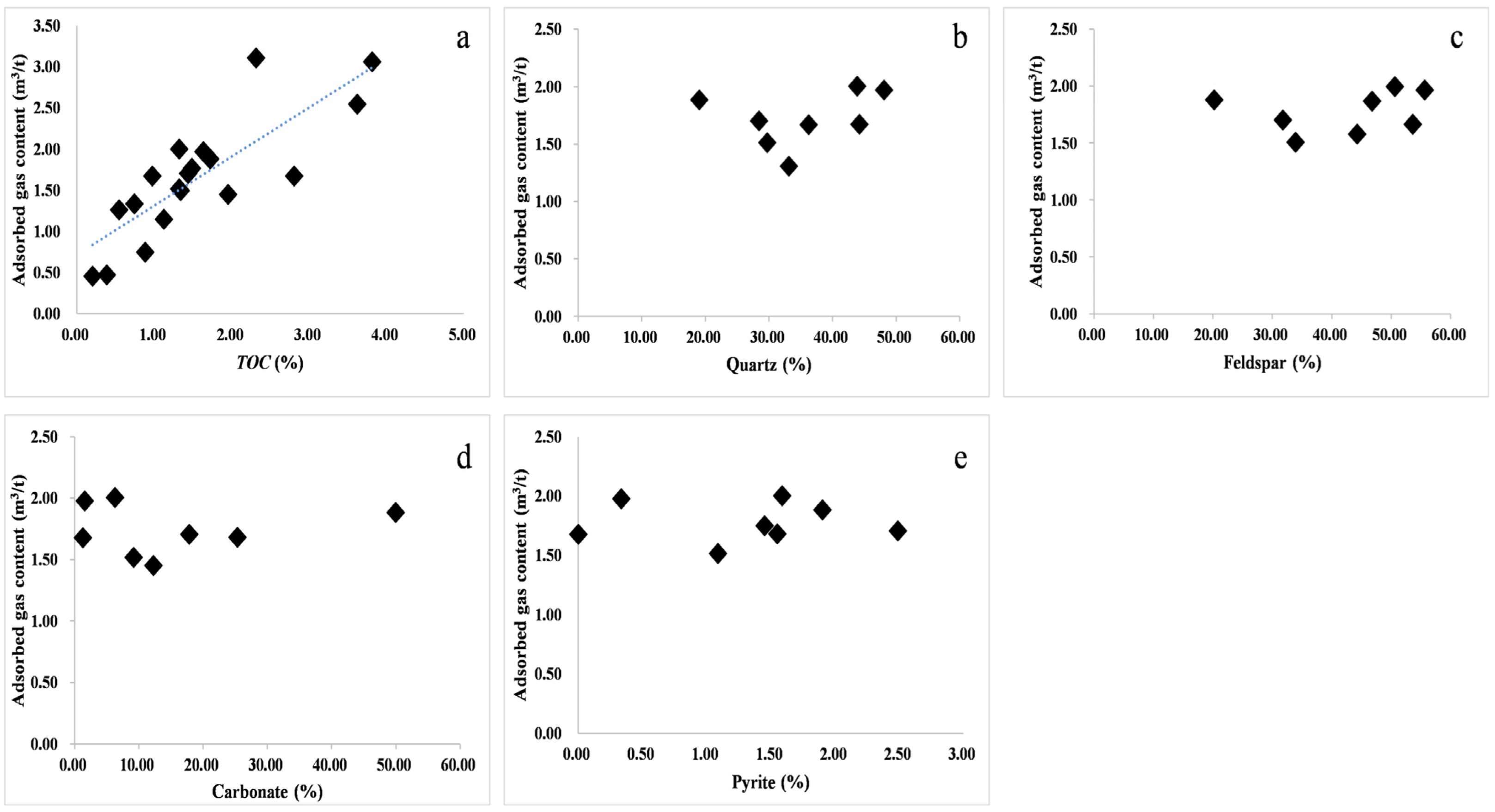
4.2. Characteristics and Control Factors of Adsorbed Gas Volume
4.3. Continental Shale Gas Enrichment Model
5. Conclusions
Author Contributions
Funding
Institutional Review Board Statement
Informed Consent Statement
Data Availability Statement
Acknowledgments
Conflicts of Interest
References
- Liu, Z.; Hu, S.; Li, F.; Jing, M. Progress and Prospects of Shale Gas Exploration and Development in Sichuan, China. J. Clean Energy Technol. 2017, 5, 258–262. [Google Scholar] [CrossRef]
- Jiang, T.; Jin, Z.; Liu, G.; Liu, Q.; Gao, B.; Liu, Z.; Nie, H.; Zhao, J.; Wang, R.; Zhu, T.; et al. Source analysis of siliceous minerals and uranium in Early Cambrian shales, South China: Significance for shale gas exploration. Mar. Petrol. Geol. 2019, 102, 101–108. [Google Scholar] [CrossRef]
- Xue, Z.; Jiang, Z.; Wang, X.; Gao, Z.; Chang, J.; Li, H.; Nie, Z.; Wu, W.; Qiu, H.; Wang, Q.; et al. Genetic mechanism of low resistivity in high-mature marine shale: Insights from the study on pore structure and organic matter graphitization. Mar. Petrol. Geol. 2022, 144, 105825. [Google Scholar] [CrossRef]
- Jiang, T.; Jin, Z.; Hu, Z.; Du, W.; Liu, Z.; Zhao, J. Three-Dimensional Morphology and Connectivity of Organic Pores in Shale from the Wufeng and Longmaxi Formations at the Southeast Sichuan Basin in China. Geofluids 2021, 2021, 5579169. [Google Scholar] [CrossRef]
- Zhou, D.; Sun, C.; Liu, Z.; Nie, H. Geological characteristics of continental shale gas reservoir in the Jurassic Da’anzhai member in the northeastern Sichuan Basin. China Pet. Explor. 2020, 25, 32. [Google Scholar]
- Jin, Z.; Zhu, R.; Liang, X.; Shen, Y. Several issues worthy of attention in current lacustrine shale oil exploration and development. Petrol. Explor. Dev. 2021, 48, 1471–1484. [Google Scholar] [CrossRef]
- Ding, W.; Zhu, D.; Cai, J.; Gong, M.; Chen, F. Analysis of the developmental characteristics and major regulating factors of fractures in marine–continental transitional shale-gas reservoirs: A case study of the Carboniferous–Permian strata in the southeastern Ordos Basin, central China. Mar. Petrol. Geol. 2013, 45, 121–133. [Google Scholar] [CrossRef]
- Huang, J.; Dong, D.; Li, J.; Hu, J.; Wang, Y. Reservoir fractal characteristics of continental shale: An example from Triassic Xujiahe Formation shale, Sichuan Basin, China. Nat. Gas Geosci. 2016, 27, 1611–1618. [Google Scholar]
- Jin, Z.; Hu, Z.; Gao, B.; Zhao, J. Controlling factors on the enrichment and high productivity of shale gas in the Wufeng-Longmaxi Formations, southeastern Sichuan Basin. Earth Sci. Front. 2016, 23, 1–10, (In Chinese with English abstract). [Google Scholar]
- He, Z.; Hu, Z.; Nie, H.; Li, S.; Xu, J. Characterization of shale gas enrichment in the Wufeng -Longmaxi Formation in the Sichuan Basin and its evaluation of geological construction-transformation evolution sequence. Nat. Gas Geosci. 2017, 28, 724–733, (In Chinese with English abstract). [Google Scholar] [CrossRef]
- Hou, Y.; Ren, K.; Chen, Z.; He, S.; Liu, Y.; Wang, J.; Wang, F. Properties and shale gas potential of continental shales in the Jurassic Mohe Foreland Basin, northern China. Geol. J. 2020, 55, 7531–7547. [Google Scholar] [CrossRef]
- Loucks, R.G.; Reed, R.M.; Ruppel, S.C.; Hammes, U. Spectrum of pore types and networks in mudrocks and a descriptive classification for matrix-related mudrock pores. AAPG Bull. 2012, 96, 1071–1098. [Google Scholar] [CrossRef]
- Jiang, T.; Jin, Z.; Liu, G.; Hu, Z.; Chen, X.; Liu, Z.; Wang, G. Investigating the Pore Structure Characteristics and Reservoir Capacities of Lower Jurassic Continental Shale Reservoirs in the Northeastern Sichuan Basin, China. Front. Earth Sci. 2022, 10, 886907. [Google Scholar] [CrossRef]
- Schieber, J. Shale Microfabrics and Pore Development—An Overview with Emphasis on the Importance of Depositional Processes; Energy Environment Economy: Cambridge, MA, USA, 2011; pp. 115–119. [Google Scholar]
- Slatt, R.M.; O’Brien, N.R. Pore types in the Barnett and Woodford gas shales: Contribution to understanding gas storage and migration pathways in fine-grained rocks. AAPG Bull. 2011, 95, 2017–2030. [Google Scholar] [CrossRef]
- Gao, Z.; Fan, Y.; Xuan, Q.; Zheng, G. A review of shale pore structure evolution characteristics with increasing thermal maturities. Adv. Geo-Energy Res. 2020, 4, 247. [Google Scholar] [CrossRef]
- Curtis, J.B. Fractured Shale-gas systems. AAPG Bull. 2002, 86, 1921–1938. [Google Scholar]
- Zeng, L.; Lyu, W.; Li, J.; Zhu, L.; Weng, J.; Yue, F.; Zu, K. Natural fractures and their influence on shale gas enrichment in Sichuan Basin, China. J. Nat. Gas. Sci. Eng. 2016, 30, 1–9. [Google Scholar] [CrossRef]
- Zhao, J.; Shen, C.; Ren, L.; Tan, X. Quantitative prediction of gas contents in different occurrence states of shale reservoirs: A case study of the Jiaoshiba shale gasfield in the Sichuan Basin. Nat. Gas Ind. 2017, 37, 19–25, (In Chinese with English abstract). [Google Scholar]
- Schnackenberg, W.D.; Prien, C.H. Effect of solvent properties in thermal decomposition of oil shale Kerogen. Ind. Eng. Chem. Res. 1953, 45, 313–322. [Google Scholar] [CrossRef]
- Wang, W.; Liu, R.; Ni, K. Analysis of the exploration potential of shale gas in Jurassic Qianfoya Formation in Northeast Sichuan Basin. J. Xi’an Shiyou Univ. Nat. Sci. Ed. 2012, 27, 36–41, (In Chinese with English abstract). [Google Scholar]
- Long, S.; Cheng, Z.; Xu, H.; Chen, Q. Exploration domains and technological breakthrough directions of natural gas in SINOPEC exploratory areas, Sichuan Basin, China. J. Nat. Gas Geosci. 2020, 5, 307–316. [Google Scholar] [CrossRef]
- Zhang, W.; Guan, P.; Han, D.; Meng, Q.; Xie, X.; Jian, X.; Liu, R. Evaluation of terrestrial hydrocarbon source rocks and oil source correlation in Triassic and Jurassic in northeastern Sichuan. Acta Sci. Nat. Univ. Pekin. 2013, 49, 826–838, (In Chinese with English abstract). [Google Scholar]
- Gao, J.; Wang, X.; He, S.; Guo, X.; Zhang, B.; Chen, X. Geochemical characteristics and source correlation of natural gas in Jurassic shales in the North Fuling area, Eastern Sichuan Basin, China. J. Pet. Sci. Eng. 2017, 158, 284–292. [Google Scholar] [CrossRef]
- Wang, S.; Yang, T.; Zhang, G.; Li, D.; Chen, X. Shale gas enrichment factors and the selection and evaluation of the core area. Chin. Acad. Eng. 2012, 14, 94–100, (In Chinese with English abstract). [Google Scholar]
- Zeng, M.; Tang, Y.; Wang, K. Shale Gas Reservoirs in the Geological Characteristics Descroption. Chem. Eng. Des. Commun. 2016, 42, 139, (In Chinese with English abstract). [Google Scholar]
- Wang, Y.; Gao, S.; Gao, C. Continental shale gas exploration and discussion on issues related to geological theory in Yanchang exploration area, Ordos Basin. Geol. Sci. Technol. Inf. 2014, 33, 88–98, (In Chinese with English abstract). [Google Scholar]
- Zhou, N.; Lu, S.; Zhang, P.; Wang, M.; Xiao, D.; Li, J.Q.; Chen, G.; Wang, J.; Zhang, Y.; Lin, Z. Continental shale gas dynamic enrichment and evolution over geological time. Int. J. Coal Geol. 2022, 251, 103914. [Google Scholar] [CrossRef]
- Li, Y.; He, D. Evolution of tectonic-depositional environment and prototype basins of the Early Jurassic in Sichuan Basin and adjacent areas. Acta Pet. Sin. 2014, 35, 219. [Google Scholar]
- Yang, R.; Jia, A.; Hu, Q.; Guo, X.; Sun, M. Particle size effect on water vapor sorption measurement of organic shale: One example from Dongyuemiao Member of Lower Jurassic Ziliujing Formation in Jiannan Area of China. Adv. Geo-Energy Res. 2020, 4, 207–218. [Google Scholar] [CrossRef]
- Zhang, Y.; Liu, Y.; Li, W.; He, S.; Wang, X.; Pang, Q.; Huang, D. Basic characteristics and exploration direction of lacustrine shale oil and gas in Da’anzhai member of Jurassic in Sichuan Basin. Geol. China 2022, 49, 51–65. [Google Scholar]
- Guo, T. Key controls on accumulation and high production of large non-marine gas fields in northern Sichuan Basin. Petrol. Explor. Dev. 2013, 40, 150–160. [Google Scholar] [CrossRef]
- Liu, Z.; Liu, G.; Hu, Z.; Feng, D.; Zhu, T.; Bian, R.; Jiang, T.; Jin, Z. Lithofacies types and assemblage features of continental shale strata and their implications for shale gas exploration: A case study of the Middle and Lower Jurassic strata in the Sichuan Basin. Nat. Gas Ind. B 2020, 7, 358–369. [Google Scholar] [CrossRef]
- Yang, R.; Hu, Q.; Yi, J.; Zhang, B.; He, S.; Guo, X.; Huang, Y.; Dong, T. The effects of mineral composition, TOC content and pore structure on spontaneous imbibition in Lower Jurassic Dongyuemiao shale reservoirs. Mar. Petrol. Geol. 2019, 109, 268–278. [Google Scholar] [CrossRef]
- Loucks, R.G.; Ruppel, S.C. Mississippian Barnett Shale: Lithofacies and depositional setting of a deep-water shale-gas succession in the Fort Worth Basin, Texas. AAPG Bull. 2007, 91, 579–601. [Google Scholar] [CrossRef]
- Liang, C.; Jiang, Z.; Yang, Y.; Wei, X. Shale lithofacies and reservoir space of the Wufeng–Longmaxi formation, Sichuan Basin, China. Petrol. Explor. Dev. 2012, 39, 736–743. [Google Scholar] [CrossRef]
- Roos, F.W.; Kegelman, J.T. Control of coherent structures in reattaching laminar and turbulent shear layers. AIAA J. 1986, 24, 1956–1963. [Google Scholar] [CrossRef]
- Kusky, T.M.; Bradley, D.C. Kinematic analysis of mélange fabrics: Examples and applications from the McHugh Complex, Kenai Peninsula, Alaska. J. Struct. Geol. 1999, 21, 1773–1796. [Google Scholar] [CrossRef]
- Bustin, R.M.; Bustin, A.M.; Cui, A.; Ross, D.; Pathi, V.M. Impact of shale properties on pore structure and storage characteristics. In Proceedings of the SPE Shale Gas Production Conference, Fort Worth, TX, USA, 16–18 November 2008; OnePetro: Richardson, TX, USA, 2008. [Google Scholar]
- Ross, D.J.; Bustin, R.M. The importance of shale composition and pore structure upon gas storage potential of shale gas reservoirs. Mar. Petrol. Geol. 2009, 26, 916–927. [Google Scholar] [CrossRef]
- Yang, F.; Ning, Z.; Hu, C.; Wang, B.; Peng, K.; Liu, H. Characterization of microscopic pore structures in shale reservoirs. Acta Pet. Sin. 2013, 34, 301. [Google Scholar]
- Jiang, T.; Jin, Z.; Liu, G.; Hu, Z.; Liu, Q.; Liu, Z.; Wang, P.; Wang, X.; Yang, T.; Wang, G. Pore structure characteristics of shale reservoirs in Ziliujing Formation in Yuanba area, Sichuan Basin. Oil Gas Geol. 2021, 42, 909–918, (In Chinese with English abstract). [Google Scholar]
- Cai, Y.; Liu, D.; Pan, Z.; Yao, Y.; Li, J.; Qiu, Y. Pore structure and its impact on CH4 adsorption capacity and flow capability of bituminous and subbituminous coals from Northeast China. Fuel 2013, 103, 258–268. [Google Scholar] [CrossRef]
- Zhang, J.; Li, X.; Zou, X.; Zhao, G.; Zhou, B.; Li, J.; Xie, Z.; Wang, F. Characterization of the full-sized pore structure of coal-bearing shales and its effect on shale gas content. Energy Fuels 2019, 33, 1969–1982. [Google Scholar] [CrossRef]
- Bao, Y.; Ju, Y.; Yin, Z.; Xiong, J.; Wang, G.; Qi, Y. Influence of reservoir properties on the methane adsorption capacity and fractal features of coal and shale in the upper Permian coal measures of the South Sichuan coalfield, China. Energy Explor. Exploit. 2020, 38, 57–78. [Google Scholar] [CrossRef]
- Jiang, S. Clay minerals from the perspective of oil and gas exploration. In Clay Minerals in Nature-Their Characterization, Modification and Application; InTech: Rijeka, Croatia, 2012; pp. 21–38. [Google Scholar]
- Chen, S.; Han, Y.; Fu, C.; Zhu, Y.; Zuo, Z. Micro and nano-size pores of clay minerals in shale reservoirs: Implication for the accumulation of shale gas. Sediment. Geol. 2016, 342, 180–190. [Google Scholar] [CrossRef]
- Ma, Y.; Zhong, N.; Li, D.; Pan, Z.; Cheng, L.; Liu, K. Organic matter/clay mineral intergranular pores in the Lower Cambrian Lujiaping Shale in the north-eastern part of the upper Yangtze area, China: A possible microscopic mechanism for gas preservation. Int. J. Coal Geol. 2015, 137, 38–54. [Google Scholar] [CrossRef]
- Zheng, X.; Zhang, B.; Sanei, H.; Bao, H.; Meng, Z.; Wang, C.; Li, K. Pore structure characteristics and its effect on shale gas adsorption and desorption behavior. Mar. Petrol. Geol. 2019, 100, 165–178. [Google Scholar] [CrossRef]
- Sing, K.S.W.; Everett, D.H.; Haul, R.A.W.; Moscou, L.; Pierotti, R.A.; Rouquerol, J.; Siemieniewska, T. Reporting physisorption data for gas/solid systems with special reference to the determination of surface area and porosity. Pure Appl. Chem. 1985, 57, 603–619. [Google Scholar] [CrossRef]
- Mirchi, V.; Saraji, S.; Goual, L.; Piri, M. Dynamic interfacial tension and wettability of shale in the presence of surfactants at reservoir conditions. Fuel 2015, 148, 127–138. [Google Scholar] [CrossRef]
- Su, S.; Jiang, Z.; Shan, X.; Zhu, Y.; Wang, P.; Luo, X.; Li, Z.; Zhu, R.; Wang, X. The wettability of shale by NMR measurements and its controlling factors. J. Pet. Sci. Eng. 2018, 169, 309–316. [Google Scholar] [CrossRef]
- Arif, M.; Zhang, Y.; Iglauer, S. Shale wettability: Data sets, challenges, and outlook. Energy Fuels 2021, 35, 2965–2980. [Google Scholar] [CrossRef]
- Chang, J.; Fan, X.; Jiang, Z.; Wang, X.; Chen, L.; Li, J.; Zhu, L.; Wan, C.; Chen, Z. Differential impact of clay minerals and organic matter on pore structure and its fractal characteristics of marine and continental shales in China. Appl. Clay Sci. 2022, 216, 106334. [Google Scholar] [CrossRef]
- Li, Q.; Liu, Z.; Chen, F.; Liu, G.; Zhang, D.; Li, P.; Wang, P. Lithofacies types and reservoir characteristics of Jurassic shale in the Sichuan Basin revealed by the Da’anzhai Member, Well Y2, Yuanba area. Oil Gas Geol. 2022, 43, 1127–1140, (In Chinese with English abstract). [Google Scholar]
- Li, Q.; Tang, L.; Pang, X. Dynamic evolution model of shale gas occurrence and quantitative evaluation of gas-bearing capacity. Geol. Rev. 2020, 66, 457–466, (In Chinese with English abstract). [Google Scholar]
- Zhu, D.; Jiang, Z.; Jiang, S.; Yang, W.; Song, Y.; Gao, Z.; Jiang, T.; Cao, X.; Li, W.; Zhang, Y. Water-bearing characteristics and their influences on the reservoir capacity in terrestrial shale reservoirs: A case study of the lower Jurassic Ziliujing Formation in the Northeast Sichuan Basin, China. Mar. Petrol. Geol. 2021, 123, 104738. [Google Scholar] [CrossRef]
- Mengal, S.A.; Wattenbarger, R.A. Accounting for adsorbed gas in shale gas reservoirs. In Proceedings of the SPE Middle East Oil and Gas Show and Conference, Manama, Bahrain, 25–28 September 2011; OnePetro: Richardson, TX, USA, 2011. [Google Scholar]
- Wu, K.; Li, X.; Wang, C.; Yu, W.; Chen, Z. A model for surface diffusion of adsorbed gas in nanopores of shale gas reservoirs. In Proceedings of the Offshore Technology Conference, Houston, TX, USA, 4–7 May 2015; OnePetro: Richardson, TX, USA, 2015. [Google Scholar]
- Ji, L.; Qiu, J.; Zhang, T.; Xia, Y. Experiments on methane adsorption of common clay minerals in shale. Earth Sci. J. China Univ. Geosci. 2012, 37, 1043–1050, (In Chinese with English abstract). [Google Scholar]
- Chu, Y.; Zhang, T.; Liu, Y.; Fan, X.; Cheng, W. Characterization of adsorption capacity of organic matter and clay minerals in marine shale of Wufeng Longmaxi Formation. China Coalbed Methane 2021, 18, 42–47, (In Chinese with English abstract). [Google Scholar]
- Szewczyk, D.; Holt, R.M.; Bauer, A. The impact of saturation on seismic dispersion in shales—Laboratory measurements Dispersion in shales—Impact of saturation. Geophysics 2018, 83, MR15–MR34. [Google Scholar] [CrossRef]
- Chen, L.; Zuo, L.; Jiang, Z.; Jiang, S.; Liu, K.; Tan, J.; Zhang, L. Mechanisms of shale gas adsorption: Evidence from thermodynamics and kinetics study of methane adsorption on shale. Chem. Eng. J. 2019, 361, 559–570. [Google Scholar] [CrossRef]
- Zhu, H.; Ju, Y.; Huang, C.; Chen, F.; Chen, B.; Yu, K. Microcosmic gas adsorption mechanism on clay-organic nanocomposites in a marine shale. Energy 2020, 197, 117256. [Google Scholar] [CrossRef]
- Zhu, T.; Wang, F.; Yu, L.; Sun, R. Controlling factors and types of shale gas enrichment in the Sichuan Basin. Oil Gas Geol. 2016, 37, 399–407, (In Chinese with English abstract). [Google Scholar]
- Liu, Z.; Hu, Z.; Liu, G.; Li, P.; Wang, P.; Li, Q.; Jin, Z.; Zhang, Z. Source-reservoir coupling characteristics and development model of continental shale: Taking the Jurassic Ziliujing Formation in Sichuan Basin as an example. Mar. Orig. Pet. Geol. 2022, 27, 271–280, (In Chinese with English abstract). [Google Scholar]















| No. | Well | Depth/m | TOC/% | Ro/% | Mineral Composltion/% | ||||
|---|---|---|---|---|---|---|---|---|---|
| Quartz | Feldspar | Carbonate | Pyrite | Clay | |||||
| 1 | XL101 | 2294.3 | 0.58 | 1.05 | 42.7 | 9.5 | 3.8 | 0.9 | 43.1 |
| 2 | XL101 | 2275.6 | 1.97 | 0.96 | 20.1 | 2.6 | 9.6 | 0.3 | 67.4 |
| 3 | XL101 | 2275.5 | 2.06 | 0.96 | 22.3 | 2.3 | 18.6 | 0.7 | 56.1 |
| 4 | XL101 | 2274.2 | 1.84 | 1.02 | 27.5 | 2.3 | 9.5 | 0.4 | 60.3 |
| 5 | XL101 | 2274.8 | 1.32 | 1.02 | 23.9 | 3.3 | 10.0 | 0.2 | 62.6 |
| 6 | XL101 | 2269.7 | 1.46 | 0.99 | 23.5 | 2.8 | 9.2 | 0.6 | 63.9 |
| 7 | XL101 | 2268.9 | 2.02 | 1.02 | 22.3 | 3.7 | 8.0 | 2.4 | 63.6 |
| 8 | XL101 | 2158.2 | 1.74 | 0.96 | 21.5 | 2.7 | 32.1 | 1.5 | 42.2 |
| 9 | XL101 | 2147.8 | 1.56 | 0.96 | 22.0 | 3.4 | 15.8 | 0.9 | 57.9 |
| 10 | XL101 | 2144.6 | 0.77 | 0.96 | 22.0 | 3.0 | 29.2 | 3.8 | 42.0 |
| 11 | YL4 | 3790.1 | 0.88 | 1.43 | 33.4 | 3.0 | 10.0 | 0.8 | 52.8 |
| 12 | YL4 | 3786.5 | 0.70 | 1.44 | 50.3 | 6.9 | 3.7 | 0.3 | 38.8 |
| 13 | YL4 | 3760.8 | 2.31 | 1.38 | 32.5 | 3.8 | 23.0 | 1.9 | 38.8 |
| 14 | YL4 | 3755.5 | 0.79 | 1.36 | 29.2 | 3.1 | 6.7 | 2.0 | 59.0 |
| 15 | YL4 | 3754.4 | 0.78 | 1.35 | 26.4 | 2.8 | 6.4 | 0.9 | 63.5 |
| 16 | YL4 | 3752.6 | 1.33 | 1.31 | 34.8 | 3.6 | 8.4 | 1.3 | 51.9 |
| 17 | YL4 | 3748.2 | 1.23 | 1.33 | 28.8 | 2.0 | 10.1 | 1.3 | 57.8 |
| 18 | YL4 | 3735.46 | 1.16 | 1.31 | 35.0 | 4.5 | 8.9 | 2.8 | 48.8 |
| 19 | YL4 | 3649.21 | 1.01 | 1.30 | 55.0 | 10.1 | 1.4 | 0.2 | 33.3 |
| 20 | YL4 | 3646.36 | 2.49 | 1.30 | 39.1 | 8.2 | 0.5 | 0.9 | 51.3 |
Disclaimer/Publisher’s Note: The statements, opinions and data contained in all publications are solely those of the individual author(s) and contributor(s) and not of MDPI and/or the editor(s). MDPI and/or the editor(s) disclaim responsibility for any injury to people or property resulting from any ideas, methods, instructions or products referred to in the content. |
© 2023 by the authors. Licensee MDPI, Basel, Switzerland. This article is an open access article distributed under the terms and conditions of the Creative Commons Attribution (CC BY) license (https://creativecommons.org/licenses/by/4.0/).
Share and Cite
Jiang, T.; Jin, Z.; Qiu, H.; Chen, X.; Zhang, Y.; Su, Z. Pore Structure and Gas Content Characteristics of Lower Jurassic Continental Shale Reservoirs in Northeast Sichuan, China. Nanomaterials 2023, 13, 779. https://doi.org/10.3390/nano13040779
Jiang T, Jin Z, Qiu H, Chen X, Zhang Y, Su Z. Pore Structure and Gas Content Characteristics of Lower Jurassic Continental Shale Reservoirs in Northeast Sichuan, China. Nanomaterials. 2023; 13(4):779. https://doi.org/10.3390/nano13040779
Chicago/Turabian StyleJiang, Tao, Zhijun Jin, Hengyuan Qiu, Xuanhua Chen, Yuanhao Zhang, and Zhanfei Su. 2023. "Pore Structure and Gas Content Characteristics of Lower Jurassic Continental Shale Reservoirs in Northeast Sichuan, China" Nanomaterials 13, no. 4: 779. https://doi.org/10.3390/nano13040779
APA StyleJiang, T., Jin, Z., Qiu, H., Chen, X., Zhang, Y., & Su, Z. (2023). Pore Structure and Gas Content Characteristics of Lower Jurassic Continental Shale Reservoirs in Northeast Sichuan, China. Nanomaterials, 13(4), 779. https://doi.org/10.3390/nano13040779

