Structural Evolution and Transitions of Mechanisms in Creep Deformation of Nanocrystalline FeCrAl Alloys
Abstract
1. Introduction
2. Simulation Model and Methodology
2.1. NC FeCrAl Models
2.2. Simulation Method and Conditions
2.3. Methods for Analysis and Verification of Creep Mechanism
3. Results and Discussion
3.1. Analysis of Simulated Creep Curves and Related Creep Rate
3.1.1. Interatomic Potential Effect
3.1.2. Tensile Direction Effect
3.1.3. Stress and Temperature Effects
3.1.4. GS Effect
3.2. Analysis of Steady-State Creep Stress and Grain Size Exponents
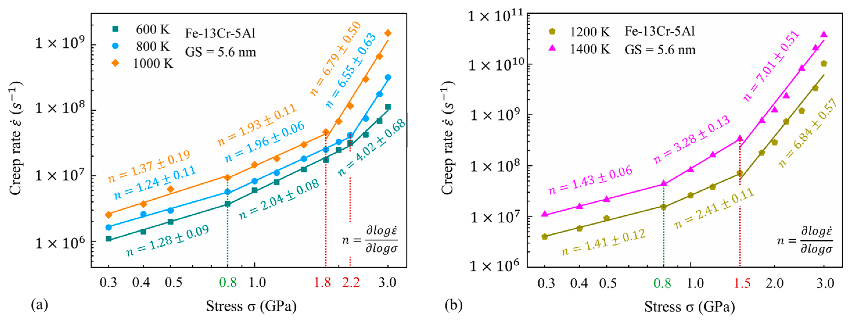
3.2.1. Variation of Stress Exponent n
3.2.2. Variation of GS Exponent p
3.3. Microstructural Evidence for the Transitions of Creep Mechanisms
3.3.1. Diffusional Creep
3.3.2. GB Slip Creep
3.3.3. Dislocation Creep
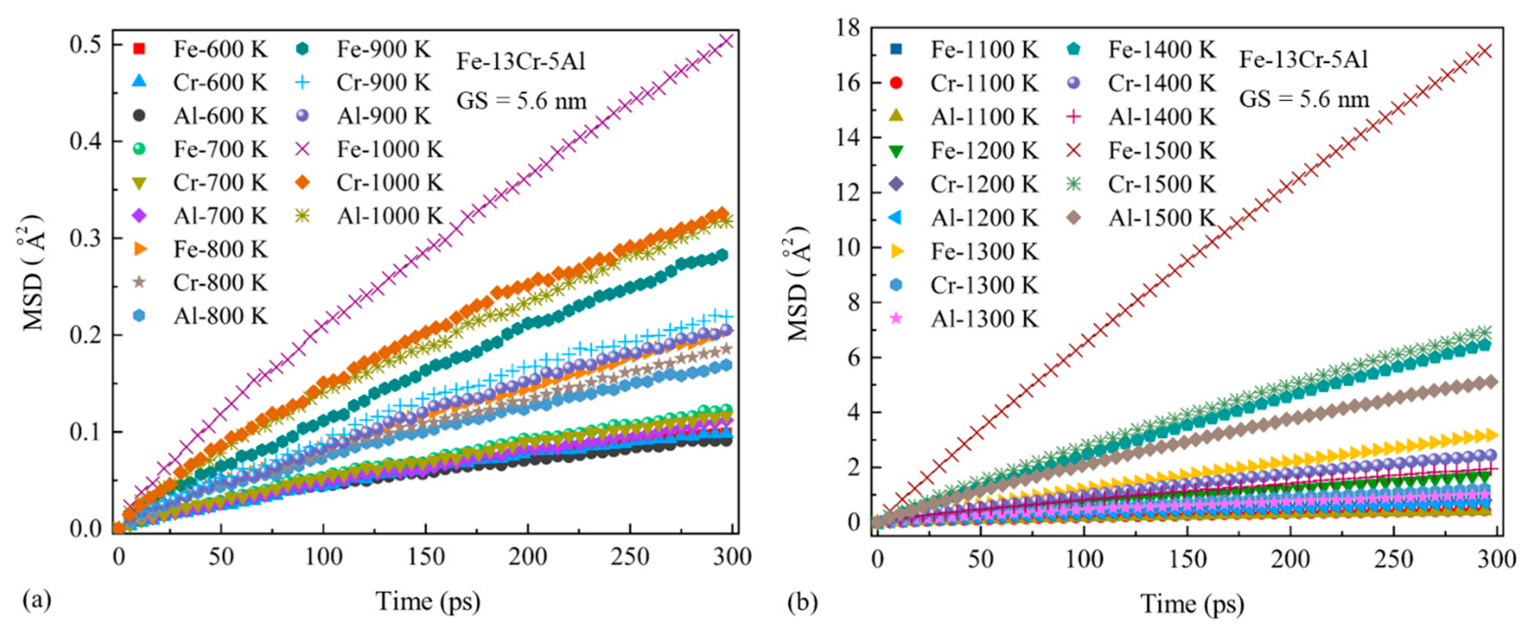
3.4. Correlation between Creep Deformation and Atomic Diffusion
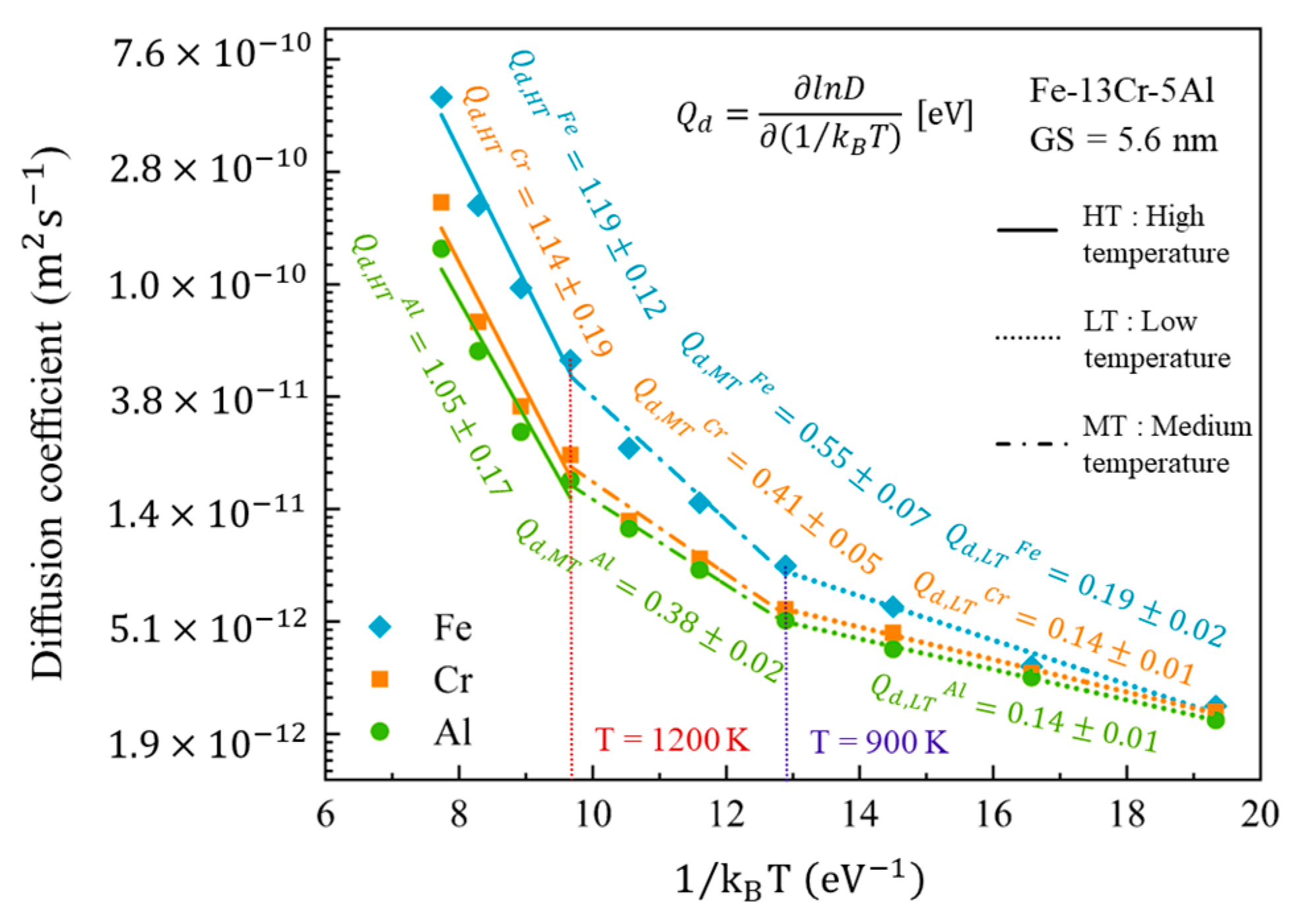
3.4.1. Activation Energy for Atomic Diffusion Qd
3.4.2. Activation Energy for Creep Process Qc
3.4.3. Comparison between Qc and Qd
4. Conclusions
- The transitions of mechanisms are mainly controlled by stress. The major mechanism shifts from diffusional creep to GB slip and then to dislocation creep combined with GB slip with stress increasing.
- Under low-stress conditions, the creep mechanism is dominated by GB diffusion at small GSs, while by lattice diffusion at larger GSs. A high temperature accelerates the transition of the major mechanism from GB diffusion to lattice diffusion.
- Under medium and high stresses, GB slip together with dislocation motion dominate the overall creep deformation. The amount of GB slip increases with temperature or decreases with the GS. The GS and temperature also have an impact on dislocation behavior. The higher the temperature or the smaller the GS is, the smaller the stress at which the dislocation motion begins to affect creep.
- The findings of this study offer a comprehensive understanding of the creep behavior of NC FeCrAl alloys at the atomic level, which is hard to obtain from the previous experimental data. This will be conducive not only to the insightful investigation of the creep process in NC materials, but also to the development and design of the nano FeCrAl alloy for its use in engineering.
Author Contributions
Funding
Data Availability Statement
Conflicts of Interest
References
- Zinkle, S.J.; Terrani, K.A.; Gehin, J.C.; Ott, L.J.; Snead, L.L. Accident Tolerant Fuels for LWRs: A Perspective. J. Nucl. Mater. 2014, 448, 374–379. [Google Scholar] [CrossRef]
- Terrani, K.A.; Zinkle, S.J.; Snead, L.L. Advanced Oxidation-Resistant Iron-Based Alloys for LWR Fuel Cladding. J. Nucl. Mater. 2014, 448, 420–435. [Google Scholar] [CrossRef]
- Rebak, R.; Terrani, K.; Gassmann, W.; Williams, J.; Ledford, K. Improving Nuclear Power Plant Safety with FeCrAl Alloy Fuel Cladding. MRS Adv. 2017, 2, 1217–1224. [Google Scholar] [CrossRef]
- Ott, L.J.; Robb, K.R.; Wang, D. Preliminary Assessment of Accident-Tolerant Fuels on LWR Performance during Normal Operation and under DB and BDB Accident Conditions. J. Nucl. Mater. 2014, 448, 520–533. [Google Scholar] [CrossRef]
- Robb; Kevin, R. Analysis of the FeCrAl Accident Tolerant Fuel Concept Benefits during BWR Station Blackout Accidents. In Proceedings of the 16th International Topical Meeting on Nuclear Reactor Thermalhydraulics, Chicago, IL, USA, 30 August–4 September 2015. [Google Scholar]
- Qiu, B.; Wang, J.; Deng, Y.; Wang, M.; Wu, Y.; Qiu, S.Z. A Review on Thermohydraulic and Mechanical-Physical Properties of SiC, FeCrAl and Ti3SiC2 for ATF Cladding. Nucl. Eng. Technol. 2020, 52, 1–13. [Google Scholar] [CrossRef]
- Terrani, K.A. Accident Tolerant Fuel Cladding Development: Promise, Status, and Challenges. J. Nucl. Mater. 2018, 501, 13–30. [Google Scholar] [CrossRef]
- Dryepondt, S.; Unocic, K.A.; Hoelzer, D.T.; Massey, C.P.; Pint, B.A. Development of Low-Cr ODS FeCrAl Alloys for Accident-Tolerant Fuel Cladding. J. Nucl. Mater. 2018, 501, 59–71. [Google Scholar] [CrossRef]
- Yamamoto, Y.; Pint, B.A.; Terrani, K.A.; Field, K.G.; Yang, Y.; Snead, L.L. Development and Property Evaluation of Nuclear Grade Wrought FeCrAl Fuel Cladding for Light Water Reactors. J. Nucl. Mater. 2015, 467, 703–716. [Google Scholar] [CrossRef]
- Tang, C.; Stueber, M.; Seifert, H.J.; Steinbrueck, M. Protective Coatings on Zirconium-Based Alloys as Accident-Tolerant Fuel (ATF) Claddings. Corros. Rev. 2017, 35, 141–165. [Google Scholar] [CrossRef]
- Kamikawa, R.; Ukai, S.; Oono, N.; Kaito, T.; Torimaru, T.; Kimura, A.; Hayashi, S.; Masuda, H.; Sato, E. Grain Boundary Sliding Associated with Low Strain Rate at 1000 °C in Recrystallized ODS Ferritic Steel. Nucl. Mater. Energy 2016, 9, 338–341. [Google Scholar] [CrossRef]
- Ashby, M.F. A First Report on Deformation-Mechanism Maps. Acta Metall. 1972, 20, 887–897. [Google Scholar] [CrossRef]
- Sugino, Y.; Ukai, S.; Oono, N.; Hayashi, S.; Kaito, T.; Ohtsuka, S.; Masuda, H.; Taniguchi, S.; Sato, E. High Temperature Deformation Mechanism of 15CrODS Ferritic Steels at Cold-Rolled and Recrystallized Conditions. J. Nucl. Mater. 2015, 466, 653–657. [Google Scholar] [CrossRef]
- Ukai, S.; Kato, S.; Furukawa, T.; Ohtsuka, S. High-Temperature Creep Deformation in FeCrAl-Oxide Dispersion Strengthened Alloy Cladding. Mater. Sci. Eng. A 2020, 794, 139863. [Google Scholar] [CrossRef]
- Kamikawa, R.; Ukai, S.; Kasai, S.; Oono, N.; Zhang, S.; Yoshito, S.; Masuda, H.; Sato, E. Cooperative Grain Boundary Sliding in Creep Deformation of FeCrAl-ODS Steels at High Temperature and Low Strain Rate. J. Nucl. Mater. 2018, 511, 591–597. [Google Scholar] [CrossRef]
- Sun, T.; Cho, J.; Shang, Z.; Niu, T.; Ding, J.; Wang, J.; Wang, H.; Zhang, X. Deformation Mechanism in Nanolaminate FeCrAl Alloys by in Situ Micromechanical Strain Rate Jump Tests at Elevated Temperatures. Scr. Mater. 2022, 215, 114698. [Google Scholar] [CrossRef]
- Dryepondt, S.N.; Unocic, K.A.; Hoelzer, D.T.; Pint, B.A. Advanced ODS FeCrAl Alloys for Accident-Tolerant Fuel Cladding; Office of Scientific and Technical Information (OSTI): Oak Ridge, TN, USA, 2014. [Google Scholar]
- Sun, H.; Wang, H.; He, X.; Wang, F.; Wang, Z. Study on High Temperature Creep Behavior of the Accident-Resistant Cladding Fe–13Cr–4Al-1.85Mo-0.85Nb Alloy. Mater. Sci. Eng. A 2021, 802, 140688. [Google Scholar] [CrossRef]
- Joshi, P.; Kombaliah, B.; Cinbiz, M.N.; Murty, K.L. Characterization of Stress-Rupture Behavior of Nuclear-Grade C26M2 FeCrAl Alloy for Accident-Tolerant Fuel Cladding via Burst Testing. Mater. Sci. Eng. A 2020, 791, 139753. [Google Scholar] [CrossRef]
- Alomari, A.S.; Joshi, P.; Murty, K.L. High-Temperature Burst Creep Properties of Nuclear-Grade FeCrAl Fuel Cladding. In Conference Proceedings of the Society for Experimental Mechanics Series; Springer: Cham, Switzerland, 2021; pp. 97–103. [Google Scholar]
- Katouzian, M.; Vlase, S. Creep Response of Neat and Carbon-Fiber-Reinforced PEEK and Epoxy Determined Using a Micromechanical Model. Symmetry 2020, 12, 1680. [Google Scholar] [CrossRef]
- Ma, Y.; Song, Y.; Zhang, T. Revealing Nanoindentation Size-Dependent Creep Behavior in a La-Based Metallic Glassy Film. Nanomaterials 2019, 9, 1712. [Google Scholar] [CrossRef] [PubMed]
- Karbasi, M.; Keshavarz Alamdari, E.; Amirkhani Dehkordi, E.; Khan, Z.A.; Tavangarian, F. Enhanced Mechanical Properties and Microstructure of Accumulative Roll-Bonded Co/Pb Nanocomposite. Nanomaterials 2021, 11, 1190. [Google Scholar] [CrossRef]
- Mokhtari, F.; Spinks, G.M.; Sayyar, S.; Foroughi, J. Dynamic Mechanical and Creep Behaviour of Meltspun PVDF Nanocomposite Fibers. Nanomaterials 2021, 11, 2153. [Google Scholar] [CrossRef] [PubMed]
- Siegel, R.W.; Hu, E.; Cox, D.M.; Goronkin, H.; Jelinski, L.; Koch, C.C.; Mendel, J.; Roco, M.C.; Shaw, D.T. Bulk Behavior of Nanostructured Materials; Springer: Dordrecht, The Netherlands; Berlin, Germany, 1999; pp. 93–111. [Google Scholar] [CrossRef]
- Roco, M.C.; Mirkin, C.A.; Hersam, M.C. Nanotechnology Research Directions for Societal Needs in 2020: Summary of International Study. J. Nanopart. Res. 2011, 13, 897–919. [Google Scholar] [CrossRef]
- Wang, Y.J.; Ishii, A.; Ogata, S. Transition of Creep Mechanism in Nanocrystalline Metals. Phys. Rev. B 2011, 84, 224102. [Google Scholar] [CrossRef]
- Wang, Y.J.; Ishii, A.; Ogata, S. Grain Size Dependence of Creep in Nanocrystalline Copper by Molecular Dynamics. Mater. Trans. 2012, 53, 156–160. [Google Scholar] [CrossRef]
- Nie, K.; Wu, W.P.; Zhang, X.L.; Yang, S.M. Molecular Dynamics Study on the Grain Size, Temperature, and Stress Dependence of Creep Behavior in Nanocrystalline Nickel. J. Mater. Sci. 2017, 52, 2180–2191. [Google Scholar] [CrossRef]
- Meraj, M.; Pal, S. Nano-Scale Simulation Based Study of Creep Behavior of Bimodal Nanocrystalline Face Centered Cubic Metal. J. Mol. Model. 2017, 23, 309. [Google Scholar] [CrossRef]
- Meraj, M.; Pal, S. Healing Mechanism of Nanocrack in Nanocrystalline Metals during Creep Process. Appl. Phys. A 2017, 123, 138. [Google Scholar] [CrossRef]
- Bhatia, M.A.; Mathaudhu, S.N.; Solanki, K.N. Atomic-Scale Investigation of Creep Behavior in Nanocrystalline Mg and Mg-Y Alloys. Acta Mater. 2015, 99, 382–391. [Google Scholar] [CrossRef]
- Zhao, F.; Zhang, J.; He, C.; Zhang, Y.; Xie, L. Molecular Dynamics Simulation on Creep Behavior of Nanocrystalline TiAl Alloy. Nanomaterials 2020, 10, 1693. [Google Scholar] [CrossRef]
- Pal, S.; Meraj, M. Structural Evaluation and Deformation Features of Interface of Joint between Nano-Crystalline Fe-Ni-Cr Alloy and Nano-Crystalline Ni during Creep Process. Mater. Des. 2016, 108, 168–182. [Google Scholar] [CrossRef]
- Pal, S.; Meraj, M.; Deng, C. Effect of Zr Addition on Creep Properties of Ultra-Fine Grained Nanocrystalline Ni Studied by Molecular Dynamics Simulations. Comput. Mater. Sc.i 2017, 126, 382–392. [Google Scholar] [CrossRef]
- Pal, S.; Reddy, K.V.; Spearot, D.E. Zr Segregation in Ni–Zr Alloy: Implication on Deformation Mechanism during Shear Loading and Bending Creep. J. Mater. Sci. 2020, 55, 6172–6186. [Google Scholar] [CrossRef]
- Yao, H.; Ye, T.; Yu, W.; Wang, P.; Chen, P. Atomic-Scale Investigation of Creep Behavior and Deformation Mechanism in Nanocrystalline FeCrAl Alloys. Mater. Des. 2021, 206, 109766. [Google Scholar] [CrossRef]
- Amara, H.; Fu, C.C.; Soisson, F.; Maugis, P. Aluminum and Vacancies in α-Iron: Dissolution, Diffusion, and Clustering. Phys. Rev. B 2010, 81, 174101. [Google Scholar] [CrossRef]
- Aghamiri, S.M.S.; Sowa, T.; Ukai, S.; Oono, N.; Yamashita, S. Microstructure and Texture Evolution and Ring-Tensile Properties of Recrystallized FeCrAl ODS Cladding Tubes. Mater. Ence Eng. A 2019, 771, 138636. [Google Scholar] [CrossRef]
- Chen, D. Structural Modeling of Nanocrystalline Materials. Comput. Mater. Sci. 1995, 3, 327–333. [Google Scholar] [CrossRef]
- Faken, D.; Jónsson, H. Systematic Analysis of Local Atomic Structure Combined with 3D Computer Graphics. Comput. Mater. Sci. 1994, 2, 279–286. [Google Scholar] [CrossRef]
- Plimpton, S. Fast Parallel Algorithms for Short-Range Molecular Dynamics. J. Comput. Phys. 1995, 117, 1–19. [Google Scholar] [CrossRef]
- Stukowski; Alexander Visualization and Analysis of Atomistic Simulation Data with OVITO–the Open Visualization Tool. Modelling Simul. Mater.Sci. Eng. 2010, 18, 2154–2162. [CrossRef]
- Mukherjee, A.K.; Bird, J.E.; Dorn, J.E. Experimental Correlations for High-Temperature Creep. ASM-Trans. 1968, 62, 155–179. [Google Scholar]
- Nabarro, F.R.N. Report of a Conference on the Strength of Solids. Phys. Soc. 1948, 75, 70. [Google Scholar] [CrossRef]
- Coble, R.L. A Model for Boundary Diffusion Controlled Creep in Polycrystalline Materials. J. Appl. Phys. 1963, 34, 1679–1682. [Google Scholar] [CrossRef]
- Lüthy, H.; White, R.A.; Sherby, O.D. Grain Boundary Sliding and Deformation Mechanism Maps. Mater. Sci. Eng. 1979, 39, 211–216. [Google Scholar] [CrossRef]
- Gifkins, R.C. Diffusional Creep Mechanisms. J. Am. Ceram. Soc. 1968, 51, 69–72. [Google Scholar] [CrossRef]
- Weertman, J.R. Theory of Steady-State Creep Based on Dislocation Climb. J. Appl. Phys. 1955, 26, 1213–1217. [Google Scholar] [CrossRef]
- Weertman, J.R. Steady-State Creep of Crystals. J. Appl. Phys. 2004, 28, 1185–1189. [Google Scholar] [CrossRef]
- Weertman, J.R. Steady-State Creep through Dislocation Climb. J. Appl. Phys. 1957, 28, 362–364. [Google Scholar] [CrossRef]
- Blum, W.; Zeng, X.H. A Simple Dislocation Model of Deformation Resistance of Ultrafine-Grained Materials Explaining Hall-Petch Strengthening and Enhanced Strain Rate Sensitivity. Acta Mater. 2009, 57, 1966–1974. [Google Scholar] [CrossRef]
- Liu, Z.; Han, Q.; Guo, Y.; Lang, J.; Shi, D.; Zhang, Y.; Huang, Q.; Deng, H.; Gao, F.; Sun, B.; et al. Development of Interatomic Potentials for Fe-Cr-Al Alloy with the Particle Swarm Optimization Method. J. Alloys. Compd. 2019, 780, 881–887. [Google Scholar] [CrossRef]
- Liao, X.; Gong, H.; Chen, Y.; Liu, G.; Deng, H. Interatomic Potentials and Defect Properties of Fe-Cr-Al Alloys. J. Nucl. Mater. 2020, 541, 152421. [Google Scholar] [CrossRef]
- Pande, C.S.; Cooper, K.P. Nanomechanics of Hall–Petch Relationship in Nanocrystalline Materials. Prog. Mater. Sci. 2009, 54, 689–706. [Google Scholar] [CrossRef]
- Keblinski, P.; Wolf, D.; Phillpot, S.R.; Gleiter, H. Structure of Grain Boundaries in Nanocrystalline Palladium by Molecular Dynamics Simulation. Scr. Mater. 1999, 41, 631–636. [Google Scholar] [CrossRef]
- Keblinski, P.; Wolf, D.; Phillpot, S.R.; Gleiter, H. Self-Diffusion in High-Angle Fcc Metal Grain Boundaries by Molecular Dynamics Simulation. Philos. Mag. A 1999, 79, 2735–2761. [Google Scholar] [CrossRef]
- Dudarev, E.F.; Pochivalova, G.P.; Kolobov, Y.R.; Naydenkin, E.V.; Kashin, O.A. Diffusion-Controlled True Grain-Boundary Sliding in Nanostructured Metals and Alloys. Mater. Sci. Eng. A 2009, 503, 58–61. [Google Scholar] [CrossRef]























| Grain Size (nm) | The Number of Atoms (×105) | Fraction of GB Atoms (%) | Simulation Box Size (nm) | The Number of Grains |
|---|---|---|---|---|
| 5.6 | 2.4 | 24.2 | 14.1 | 16 |
| 7.8 | 4.8 | 17.4 | 17.9 | 12 |
| 10.0 | 10.1 | 13.7 | 22.9 | 12 |
| 12.0 | 12.2 | 12.0 | 24.4 | 8 |
| 14.0 | 18.6 | 9.8 | 28.0 | 8 |
| 16.0 | 27.8 | 8.5 | 32.0 | 8 |
| 18.0 | 39.6 | 7.8 | 36.0 | 8 |
| 20.0 | 54.3 | 6.7 | 40.0 | 8 |
| 25.0 | 105.6 | 5.8 | 50.0 | 8 |
| 30.0 | 183.2 | 4.6 | 60.0 | 8 |
| 35.0 | 291.3 | 4.0 | 70.0 | 8 |
| 40.0 | 378.1 | 3.5 | 76.5 | 7 |
| σ (GPa) | T (K) | GS < 12 nm | GS ≥ 12 nm | Dominant Creep Mechanism | |||
|---|---|---|---|---|---|---|---|
| n | p | n | p | ||||
| Low stress | 0.3–0.8 | 600–1400 | 1.1–1.5 | 1.4–2.3 | ~1.0 | 0.7–0.9 | GB diffusion (small GS) Lattice diffusion (larger GS) |
| Medium stress | 0.8–2.2 | <800 | ~2.0 | ~1.9 | ~1.8 | 0.7–0.9 | Grain boundary slip (GBS) |
| 0.8–1.8 | 800–1000 | 1.8–2.0 | 2.0–2.4 | ||||
| 0.8–1.5 | >1000 | 1.8–3.3 | 2.5–2.8 | ||||
| High stress | 2.2–3.0 | 600–1400 | 4.0–7.0 | 2.2–3.8 | 3.8–5.7 | 0.8–1.0 | Dislocation creep + GBS |
| Activation Energy of Diffusion (eV) | Grain Size (nm) | |||||||||
|---|---|---|---|---|---|---|---|---|---|---|
| 5.6 | 7.8 | 10.0 | 14.0 | 18.0 | 20.0 | 25.0 | 30.0 | 35.0 | 40.0 | |
| Qd,HT | 1.19 | 1.09 | 1.07 | 1.08 | 1.13 | 1.11 | 0.98 | 0.96 | 0.95 | 0.87 |
| Qd,MT | 0.55 | 0.55 | 0.57 | 0.58 | 0.58 | 0.59 | 0.60 | 0.61 | 0.63 | 0.64 |
| Qd,LT | 0.20 | 0.20 | 0.20 | 0.21 | 0.21 | 0.21 | 0.23 | 0.22 | 0.21 | 0.20 |
| Activation Energy of Creep (eV) | Grain Size (nm) | |||||||||
|---|---|---|---|---|---|---|---|---|---|---|
| 5.6 | 7.8 | 10.0 | 14.0 | 18.0 | 20.0 | 25.0 | 30.0 | 35.0 | 40.0 | |
| Qc,HT | 0.51 | 0.54 | 0.71 | 0.84 | 0.94 | 0.95 | 0.91 | 0.85 | 0.83 | 0.77 |
| Qc,LT | 0.12 | 0.06 | 0.08 | 0.07 | 0.07 | 0.07 | 0.07 | 0.07 | 0.06 | 0.06 |
Disclaimer/Publisher’s Note: The statements, opinions and data contained in all publications are solely those of the individual author(s) and contributor(s) and not of MDPI and/or the editor(s). MDPI and/or the editor(s) disclaim responsibility for any injury to people or property resulting from any ideas, methods, instructions or products referred to in the content. |
© 2023 by the authors. Licensee MDPI, Basel, Switzerland. This article is an open access article distributed under the terms and conditions of the Creative Commons Attribution (CC BY) license (https://creativecommons.org/licenses/by/4.0/).
Share and Cite
Yao, H.; Ye, T.; Wang, P.; Wu, J.; Zhang, J.; Chen, P. Structural Evolution and Transitions of Mechanisms in Creep Deformation of Nanocrystalline FeCrAl Alloys. Nanomaterials 2023, 13, 631. https://doi.org/10.3390/nano13040631
Yao H, Ye T, Wang P, Wu J, Zhang J, Chen P. Structural Evolution and Transitions of Mechanisms in Creep Deformation of Nanocrystalline FeCrAl Alloys. Nanomaterials. 2023; 13(4):631. https://doi.org/10.3390/nano13040631
Chicago/Turabian StyleYao, Huan, Tianzhou Ye, Pengfei Wang, Junmei Wu, Jing Zhang, and Ping Chen. 2023. "Structural Evolution and Transitions of Mechanisms in Creep Deformation of Nanocrystalline FeCrAl Alloys" Nanomaterials 13, no. 4: 631. https://doi.org/10.3390/nano13040631
APA StyleYao, H., Ye, T., Wang, P., Wu, J., Zhang, J., & Chen, P. (2023). Structural Evolution and Transitions of Mechanisms in Creep Deformation of Nanocrystalline FeCrAl Alloys. Nanomaterials, 13(4), 631. https://doi.org/10.3390/nano13040631
