Tunable Photoresponse in a Two-Dimensional Superconducting Heterostructure
Abstract
1. Introduction
2. Methodology
2.1. Device Fabrication
2.2. Electrical Transport Measurements
2.3. Photoresponse Measurements
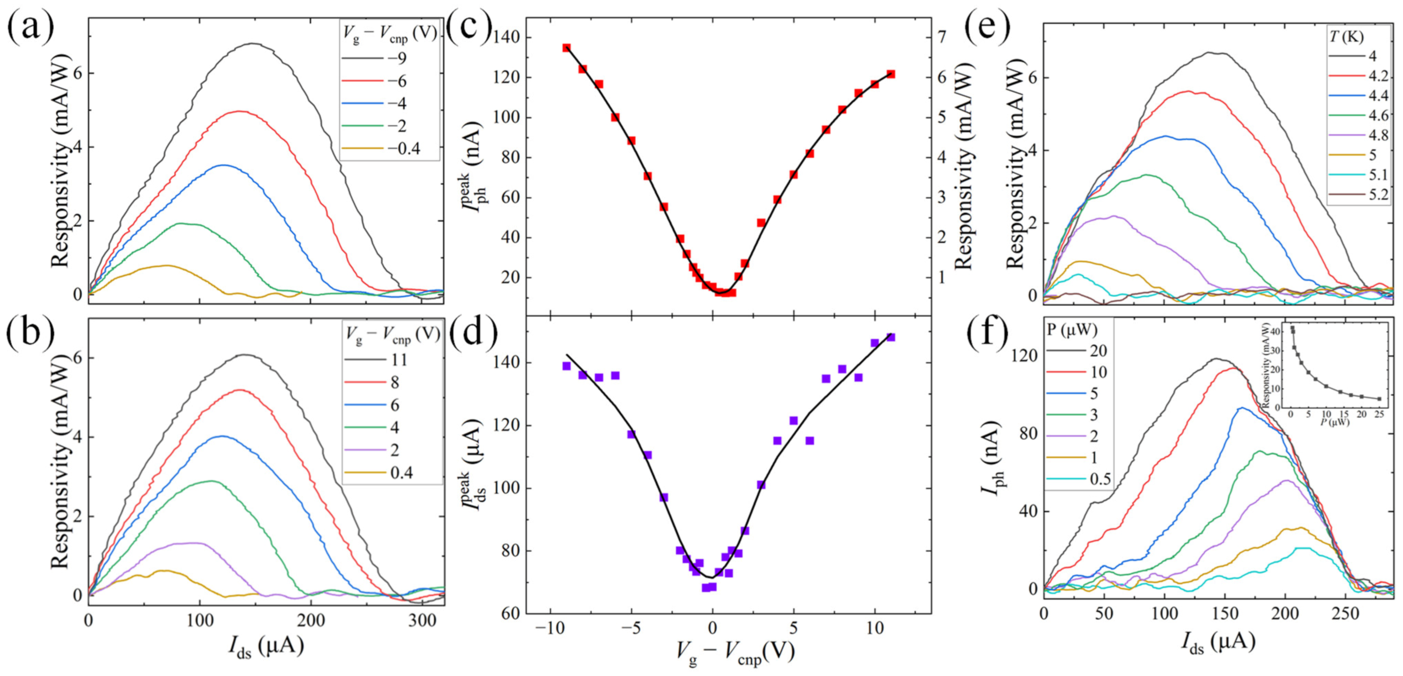
3. Results and Discussion
4. Conclusions
Supplementary Materials
Author Contributions
Funding
Data Availability Statement
Conflicts of Interest
References
- de la Barrera, S.C.; Sinko, M.R.; Gopalan, D.P.; Sivadas, N.; Seyler, K.L.; Watanabe, K.; Taniguchi, T.; Tsen, A.W.; Xu, X.D.; Xiao, D.; et al. Tuning Ising superconductivity with layer and spin-orbit coupling in two-dimensional transition-metal dichalcogenides. Nat. Commun. 2018, 9, 1427. [Google Scholar] [CrossRef] [PubMed]
- Sohn, E.; Xi, X.X.; He, W.Y.; Jiang, S.W.; Wang, Z.F.; Kang, K.F.; Park, J.H.; Berger, H.; Forro, L.; Law, K.T.; et al. An unusual continuous paramagnetic-limited superconducting phase transition in 2D NbSe2. Nat. Mater. 2018, 17, 504–508. [Google Scholar] [CrossRef] [PubMed]
- Xi, X.X.; Wang, Z.F.; Zhao, W.W.; Park, J.H.; Law, K.T.; Berger, H.; Forro, L.; Shan, J.; Mak, K.F. Ising pairing in superconducting NbSe2 atomic layers. Nat. Phys. 2016, 12, 139–143. [Google Scholar] [CrossRef]
- Xing, Y.; Zhao, R.; Shan, P.J.; Zheng, F.P.; Zhang, Y.W.; Fu, H.L.; Liu, Y.; Tian, M.L.; Xi, C.Y.; Liu, H.W.; et al. Ising superconductivity and quantum phase transition in macro-size monolayer NbSe2. Nano Lett. 2017, 17, 6802–6807. [Google Scholar] [CrossRef] [PubMed]
- Xi, X.X.; Berger, H.; Forro, L.; Shan, J.; Mak, K.F. Gate tuning of electronic phase transitions in two-dimensional NbSe2. Phys. Rev. Lett. 2016, 117, 106801. [Google Scholar] [CrossRef]
- Chatterjee, U.; Zhao, J.; Iavarone, M.; Di Capua, R.; Castellan, J.P.; Karapetrov, G.; Malliakas, C.D.; Kanatzidis, M.G.; Claus, H.; Ruff, J.P.C.; et al. Emergence of coherence in the charge-density wave state of 2H-NbSe2. Nat. Commun. 2015, 6, 6313. [Google Scholar] [CrossRef]
- Khestanova, E.; Birkbeck, J.; Zhu, M.; Cao, Y.; Yu, G.L.; Ghazaryan, D.; Yin, J.; Berger, H.; Forro, L.; Taniguchi, T.; et al. Unusual suppression of the superconducting energy gap and critical temperature in atomically thin NbSe2. Nano Lett. 2018, 18, 2623–2629. [Google Scholar] [CrossRef]
- Soumyanarayanan, A.; Yee, M.M.; He, Y.; van Wezel, J.; Rahn, D.J.; Rossnagel, K.; Hudson, E.W.; Norman, M.R.; Hoffman, J.E. Quantum phase transition from triangular to stripe charge order in NbSe2. Proc. Natl. Acad. Sci. USA 2013, 110, 1623–1627. [Google Scholar] [CrossRef]
- Ugeda, M.M.; Bradley, A.J.; Zhang, Y.; Onishi, S.; Chen, Y.; Ruan, W.; Ojeda-Aristizabal, C.; Ryu, H.; Edmonds, M.T.; Tsai, H.Z.; et al. Characterization of collective ground states in single-layer NbSe2. Nat. Phys. 2016, 12, 92–97. [Google Scholar] [CrossRef]
- Xi, X.X.; Zhao, L.; Wang, Z.F.; Berger, H.; Forro, L.; Shan, J.; Mak, K.F. Strongly enhanced charge-density-wave order in monolayer NbSe2. Nat. Nanotechnol. 2015, 10, 765–769. [Google Scholar] [CrossRef]
- Lian, C.S.; Si, C.; Duan, W.H. Unveiling charge-density wave, superconductivity, and their competitive nature in two-dimensional NbSe2. Nano Lett. 2018, 18, 2924–2929. [Google Scholar] [CrossRef]
- Sun, H.H.; Zhang, K.W.; Hu, L.H.; Li, C.; Wang, G.Y.; Ma, H.Y.; Xu, Z.A.; Gao, C.L.; Guan, D.D.; Li, Y.Y.; et al. Majorana zero mode detected with spin selective Andreev reflection in the vortex of a topological superconductor. Phys. Rev. Lett. 2016, 116, 257003. [Google Scholar] [CrossRef] [PubMed]
- Xu, J.P.; Liu, C.H.; Wang, M.X.; Ge, J.F.; Liu, Z.L.; Yang, X.J.; Chen, Y.; Liu, Y.; Xu, Z.A.; Gao, C.L.; et al. Artificial topological superconductor by the proximity effect. Phys. Rev. Lett. 2014, 112, 217001. [Google Scholar] [CrossRef]
- Xu, J.P.; Wang, M.X.; Liu, Z.L.; Ge, J.F.; Yang, X.J.; Liu, C.H.; Xu, Z.A.; Guan, D.D.; Gao, C.L.; Qian, D.; et al. Experimental detection of a Majorana mode in the core of a magnetic vortex inside a topological insulator-superconductor Bi2Te3/NbSe2 heterostructure. Phys. Rev. Lett. 2015, 114, 017001. [Google Scholar] [CrossRef] [PubMed]
- Zhu, Z.; Papaj, M.; Nie, X.A.; Xu, H.K.; Gu, Y.S.; Yang, X.; Guan, D.D.; Wang, S.Y.; Li, Y.Y.; Liu, C.H.; et al. Discovery of segmented Fermi surface induced by Cooper pair momentum. Science 2021, 374, 1381–1385. [Google Scholar] [CrossRef] [PubMed]
- Dai, W.Q.; Richardella, A.; Du, R.Z.; Zhao, W.W.; Liu, X.; Liu, C.X.; Huang, S.H.; Sankar, R.; Chou, F.C.; Samarth, N.; et al. Proximity-effect-induced superconducting gap in topological surface states—A point contact spectroscopy study of NbSe2/Bi2Se3 superconductor-topological insulator heterostructures. Sci. Rep. 2017, 7, 7631. [Google Scholar] [CrossRef]
- Han, T.Y.; Shen, J.Y.; Yuan, N.F.Q.; Lin, J.X.Z.; Wu, Z.F.; Wu, Y.Y.; Xu, S.G.; An, L.H.; Long, G.; Wang, Y.W.; et al. Investigation of the two-gap superconductivity in a few-layer NbSe2-graphene heterojunction. Phys. Rev. B 2018, 97, 060505. [Google Scholar] [CrossRef]
- Huang, C.; Narayan, A.; Zhang, E.Z.; Liu, Y.W.; Yan, X.; Wang, J.X.; Zhang, C.; Wang, W.Y.; Zhou, T.; Yi, C.J.; et al. Inducing strong superconductivity in WTe2 by a proximity effect. Acs Nano 2018, 12, 7185–7196. [Google Scholar] [CrossRef]
- Li, J.; Leng, H.B.; Fu, H.L.; Watanabe, K.; Taniguchi, T.; Liu, X.; Liu, C.X.; Zhu, J. Superconducting proximity effect in a transparent van der Waals superconductor-metal junction. Phys. Rev. B 2020, 101, 195405. [Google Scholar] [CrossRef]
- Li, Q.; He, C.C.; Wang, Y.J.; Liu, E.F.; Wang, M.; Wang, Y.; Zeng, J.W.; Ma, Z.C.; Cao, T.L.; Yi, C.J.; et al. Proximity-induced superconductivity with subgap anomaly in type II Weyl semi-metal WTe2. Nano Lett. 2018, 18, 7962–7968. [Google Scholar] [CrossRef]
- Lupke, F.; Waters, D.; de la Barrera, S.C.; Widom, M.; Mandrus, D.G.; Yan, J.Q.; Feenstra, R.M.; Hunt, B.M. Proximity-induced superconducting gap in the quantum spin Hall edge state of monolayer WTe2. Nat. Phys. 2020, 16, 526–530. [Google Scholar] [CrossRef]
- Moriya, R.; Yabuki, N.; Machida, T. Superconducting proximity effect in a NbSe2/graphene van der Waals junction. Phys. Rev. B 2020, 101, 054503. [Google Scholar] [CrossRef]
- Efetov, D.K.; Wang, L.; Handschin, C.; Efetov, K.B.; Shuang, J.; Cava, R.; Taniguchi, T.; Watanabe, K.; Hone, J.; Dean, C.R.; et al. Specular interband Andreev reflections at van der Waals interfaces between graphene and NbSe2. Nat. Phys. 2016, 12, 328–332. [Google Scholar] [CrossRef]
- Sahu, M.R.; Liu, X.; Paul, A.K.; Das, S.; Raychaudhuri, P.; Jain, J.K.; Das, A. Inter-Landau-level Andreev reflection at the dirac point in a graphene quantum Hall state coupled to a NbSe2 superconductor. Phys. Rev. Lett. 2018, 121, 086809. [Google Scholar] [CrossRef] [PubMed]
- Sahu, M.R.; Raychaudhuri, P.; Das, A. Andreev reflection near the Dirac point at the graphene-NbSe2 junction. Phys. Rev. B 2016, 94, 235451. [Google Scholar] [CrossRef]
- Jin, Y.M.; Ji, Z.J.; Gu, F.F.; Xie, B.H.; Zhang, R.; Wu, J.X.; Cai, X.H. Multiple mechanisms of the low temperature photoresponse in niobium diselenide. Appl. Phys. Lett. 2021, 119, 221104. [Google Scholar] [CrossRef]
- Orchin, G.J. Two Dimensional Superconductors for Infrared Photodetection. Ph.D. Thesis, University of Glasgow, Scotland, UK, 2021. [Google Scholar]
- Orchin, G.J.; De Fazio, D.; Di Bernardo, A.; Hamer, M.; Yoon, D.; Cadore, A.R.; Goykhman, I.; Watanabe, K.; Taniguchi, T.; Robinson, J.W.A.; et al. Niobium diselenide superconducting photodetectors. Appl. Phys. Lett. 2019, 114, 251103. [Google Scholar] [CrossRef]
- Li, J.B.; Ma, W.L.; Jiang, L.; Yao, N.J.; Deng, J.; Qiu, Q.X.; Shi, Y.; Zhou, W.; Huang, Z.M. High performance of room-temperature NbSe2 terahertz photoelectric detector. Acs Appl. Mater. Inter. 2022, 14, 14331–14341. [Google Scholar] [CrossRef]
- El-Bana, M.S.; Wolverson, D.; Russo, S.; Balakrishnan, G.; Paul, D.M.; Bending, S.J. Superconductivity in two-dimensional NbSe2 field effect transistors. Supercond. Sci. Tech. 2013, 26, 125020. [Google Scholar] [CrossRef]
- Staley, N.E.; Wu, J.; Eklund, P.; Liu, Y.; Li, L.J.; Xu, Z. Electric field effect on superconductivity in atomically thin flakes of NbSe2. Phys. Rev. B 2009, 80, 184505. [Google Scholar] [CrossRef]
- Yang, J.K.W.; Kerman, A.J.; Dauler, E.A.; Anant, V.; Rosfjord, K.M.; Berggren, K.K. Modeling the electrical and thermal response of superconducting nanowire single-photon detectors. IEEE Trans. Appl. Supercond. 2007, 17, 581–585. [Google Scholar] [CrossRef]
- Craciun, M.F.; Russo, S.; Yamamoto, M.; Tarucha, S. Tuneable electronic properties in graphene. Nano Today 2011, 6, 42–60. [Google Scholar] [CrossRef]
- Basko, D.M.; Aleiner, I.L. Interplay of Coulomb and electron-phonon interactions in graphene. Phys. Rev. B 2008, 77, 041409. [Google Scholar] [CrossRef]
- Chen, J.H.; Jang, C.; Xiao, S.D.; Ishigami, M.; Fuhrer, M.S. Intrinsic and extrinsic performance limits of graphene devices on SiO2. Nat. Nanotechnol. 2008, 3, 206–209. [Google Scholar] [CrossRef] [PubMed]
- Gabor, N.M.; Song, J.C.W.; Ma, Q.; Nair, N.L.; Taychatanapat, T.; Watanabe, K.; Taniguchi, T.; Levitov, L.S.; Jarillo-Herrero, P. Hot carrier–assisted intrinsic photoresponse in graphene. Science 2011, 334, 648–652. [Google Scholar] [CrossRef]
- Pop, E.; Varshney, V.; Roy, A.K. Thermal properties of graphene: Fundamentals and applications. MRS Bull. 2012, 37, 1273–1281. [Google Scholar] [CrossRef]
- Yan, J.; Kim, M.H.; Elle, J.A.; Sushkov, A.B.; Jenkins, G.S.; Milchberg, H.M.; Fuhrer, M.S.; Drew, H.D. Dual-gated bilayer graphene hot-electron bolometer. Nat. Nanotechnol. 2012, 7, 472–478. [Google Scholar] [CrossRef]
- Sata, Y.; Moriya, R.; Yabuki, N.; Masubuchi, S.; Machida, T. Heat transfer at the van der Waals interface between graphene and NbSe2. Phys. Rev. B 2018, 98, 035422. [Google Scholar] [CrossRef]
- Wang, L.; Meric, I.; Huang, P.Y.; Gao, Q.; Gao, Y.; Tran, H.; Taniguchi, T.; Watanabe, K.; Campos, L.M.; Muller, D.A.; et al. One-dimensional electrical contact to a two-dimensional material. Science 2013, 342, 614–617. [Google Scholar] [CrossRef]
- Lindgren, M.; Currie, M.; Zeng, W.S.; Sobolewski, R.; Cherednichenko, S.; Voronov, B.; Gol’tsman, G.N. Picosecond response of a superconducting hot-electron NbN photodetector. Appl. Supercond. 1998, 6, 423–428. [Google Scholar] [CrossRef]




| Materials | Responsivity (A/W) | Response Time τ | Wavelength λ | Temperature T | Gate Tunability | Ref. |
|---|---|---|---|---|---|---|
| NbSe2-MLG | 42 m | ~0.5 ns (In theory) | 532 nm (IR applicable) | 4.0 K | √ | This work |
| NbN | ~ 0.16 | 45 ps | 395 nm | 2.15 K | × | [41] |
| NbSe2 | ~ 3 | 2.4 ns | 1550 nm | 5 K | × | [28] |
| NbSe2 | 43.2 | ~0.5 ns (In theory) | 727 nm (IR applicable) | 3.8 K | × | [26] |
Disclaimer/Publisher’s Note: The statements, opinions and data contained in all publications are solely those of the individual author(s) and contributor(s) and not of MDPI and/or the editor(s). MDPI and/or the editor(s) disclaim responsibility for any injury to people or property resulting from any ideas, methods, instructions or products referred to in the content. |
© 2023 by the authors. Licensee MDPI, Basel, Switzerland. This article is an open access article distributed under the terms and conditions of the Creative Commons Attribution (CC BY) license (https://creativecommons.org/licenses/by/4.0/).
Share and Cite
Ji, Z.; Zhang, R.; Zhu, S.; Gu, F.; Jin, Y.; Xie, B.; Wu, J.; Cai, X. Tunable Photoresponse in a Two-Dimensional Superconducting Heterostructure. Nanomaterials 2023, 13, 421. https://doi.org/10.3390/nano13030421
Ji Z, Zhang R, Zhu S, Gu F, Jin Y, Xie B, Wu J, Cai X. Tunable Photoresponse in a Two-Dimensional Superconducting Heterostructure. Nanomaterials. 2023; 13(3):421. https://doi.org/10.3390/nano13030421
Chicago/Turabian StyleJi, Zijie, Ruan Zhang, Shuangxing Zhu, Feifan Gu, Yunmin Jin, Binghe Xie, Jiaxin Wu, and Xinghan Cai. 2023. "Tunable Photoresponse in a Two-Dimensional Superconducting Heterostructure" Nanomaterials 13, no. 3: 421. https://doi.org/10.3390/nano13030421
APA StyleJi, Z., Zhang, R., Zhu, S., Gu, F., Jin, Y., Xie, B., Wu, J., & Cai, X. (2023). Tunable Photoresponse in a Two-Dimensional Superconducting Heterostructure. Nanomaterials, 13(3), 421. https://doi.org/10.3390/nano13030421
