Structural Designs of Transparent Polyimide Films with Low Dielectric Properties and Low Water Absorption: A Review
Abstract
1. Introduction
2. Materials with Low Dk and Low Df for 5G/6G Applications
3. PIs for 5G/6G Applications
3.1. General Properties of PIs in Terms of 5G/6G Applications
3.2. Properties of PIs That Need to Be Considered for 5G/6G Applications
3.2.1. Dielectric Properties
3.2.2. Resonating Polarizations
3.2.3. Relaxing Polarizations
3.2.4. Low Dk and low Df Properties
3.2.5. Low Water Absorption
3.2.6. Optical Transparency
3.2.7. Packing Factor (d-Space) and Dimensional Stability
4. Structural Designs of Transparent PI Films with Low Dielectric and Low Water-Absorbing Properties
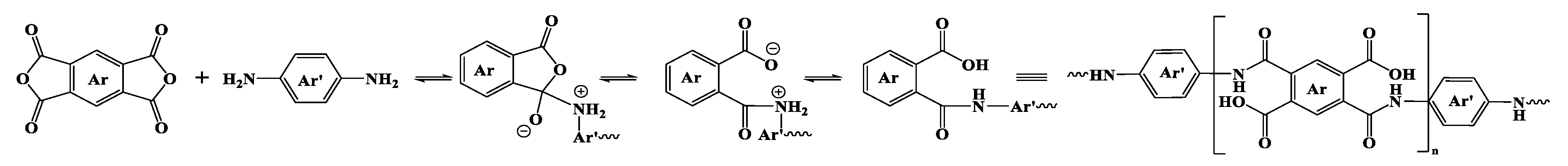
4.1. Polyimide Synthesis, Characterization, and Properties
4.2. Examples of Structural designs of Transparent PI Films with Low Dielectric and Low Water-Absorbing Properties
5. Conclusions and Future Perspectives
Author Contributions
Funding
Institutional Review Board Statement
Informed Consent Statement
Data Availability Statement
Conflicts of Interest
References
- Lee, J.S.; Yan, Y.-Z.; Park, S.S.; Ahn, S.-K.; Ha, C.-S. A novel diamine containing ester and diphenylethane groups for colorless polyimide with a low dielectric constant and low water absorption. Polymers 2022, 14, 4504. [Google Scholar] [CrossRef] [PubMed]
- Zhou, Y. Material foundation for future 5G technology. J. Mater. Res. 2021, 2, 306–310. [Google Scholar] [CrossRef]
- Agiwal, M.; Roy, A.; Saxena, N. Next generation 5g wireless networks: A comprehensive survey. IEEE Commun. Surv. Tutor. 2016, 18, 1617–1655. [Google Scholar] [CrossRef]
- Chen, G.; Wei, H.; Zhang, Y.; Guo, C.; Shi, S.; Wang, Z.; Yan, T.; Ma, S. Application of 5G communication technology in power communication and research on key technologies. IOP Conf. Ser. Earth Environ. Sci. 2021, 791, 012151. [Google Scholar] [CrossRef]
- Miyane, S.; Chen, C.-K.; Lin, Y.-C.; Ueda, M.; Chen, W.-C. Thermally stable colorless copolyimides with a low dielectric constant and dissipation factor and their organic field-effect transistor applications. ACS Appl. Polym. Mater. 2021, 3, 3153–3163. [Google Scholar] [CrossRef]
- Li, Y.; Sun, G.; Zhou, Y.; Liu, G.; Wang, J.; Han, S. Progress in low dielectric polyimide film—A review. Prog. Org. Coat. 2022, 172, 107103. [Google Scholar] [CrossRef]
- Watanabe, Y.; Shibasaki, Y.; Ando, S.; Ueda, M. Synthesis and characterization of novel low-k polyimides from aromatic dianhydrides and aromatic diamine containing phenylene ether and perfluorobiphenyl units. Polym. J. 2006, 38, 79–84. [Google Scholar] [CrossRef]
- Tran, L.-G.; Cha, H.-K.; Park, W.-T. Rf power harvesting: A review on designing methodologies and applications. Micro Nano Syst. Lett. 2017, 5, 14. [Google Scholar] [CrossRef]
- Li, R.; Yang, X.; Li, J.; Shen, Y.; Zhang, L.; Lu, R.; Wang, C.; Zheng, X.; Chen, H.; Zhang, T. Review on polymer composites with high thermal conductivity and low dielectric properties for electronic packaging. Mater. Today Phys. 2022, 22, 100594. [Google Scholar] [CrossRef]
- Ni, H.-J.; Liu, J.-G.; Wang, Z.-H.; Yang, S.-Y. A review on colorless and optically transparent polyimide films: Chemistry, process and engineering applications. J. Ind. Eng. Chem. 2015, 28, 16–27. [Google Scholar] [CrossRef]
- Banafaa, M.; Shayea, I.; Din, J.; Hadri Azmi, M.; Alashbi, A.; Ibrahim Daradkeh, Y.; Alhammadi, A. 6G mobile communication technology: Requirements, targets, applications, challenges, advantages, and opportunities. Alex. Eng. J. 2023, 64, 245–274. [Google Scholar] [CrossRef]
- Mahdi, M.N.; Ahmad, A.R.; Qassim, Q.S.; Natiq, H.; Subhi, M.A.; Mahmoud, M. From 5G to 6G technology: Meets energy, internet-of-things and machine learning: A survey. Appl. Sci. 2021, 11, 8117. [Google Scholar] [CrossRef]
- Ali, S.; Sohail, M.; Shah, S.B.H.; Koundal, D.; Hassan, M.A.; Abdollahi, A.; Khan, I.U. New trends and advancement in next generation mobile wireless communication (6G): A survey. Wirel. Commun. Mob. Comput. 2021, 2021, 9614520. [Google Scholar] [CrossRef]
- Tripathi, S.; Sabu, N.V.; Gupta, A.K.; Dhillon, H.S. Millimeter-wave and terahertz spectrum for 6G wireless. arXiv 2021, arXiv:2102.10267. [Google Scholar]
- Akhtar, M.W.; Hassan, S.A.; Ghaffar, R.; Jung, H.; Garg, S.; Hossain, M.S. The shift to 6G communications: Vision and requirements. Hum.-Cent. Comput. Inf. Sci. 2020, 10, 53. [Google Scholar] [CrossRef]
- Li, Y.; Zhou, J.; Shen, J.; Li, Q.; Qi, Y.; Chen, W. Ultra-low permittivity hsm/ptfe composites for high-frequency microwave circuit application. Mater. Sci. Mater. Electron. 2022, 33, 10096–10103. [Google Scholar] [CrossRef]
- Smirnov, A.V.; Kornyushin, M.V.; Kholodkova, A.A.; Melnikov, S.A.; Stepanov, A.D.; Fesik, E.V.; Ivakin, Y.D. Cold sintering process of zinc oxide ceramics: Powder preparation and sintering conditions effects on final microstructure. Inorganics 2022, 10, 197. [Google Scholar] [CrossRef]
- Vilesh, V.L.; Santha, N.; Subodh, G. Influence of Li2MoO4 and polytetrafluoroethylene addition on the cold sintering process and dielectric properties of babiliteo6 ceramics. Ceram. Int. 2021, 47, 30756–30763. [Google Scholar] [CrossRef]
- Zhou, Z.; Li, W.; Qian, J.; Liu, W.; Wang, Y.; Zhang, X.; Guo, Q.; Yashchyshyn, Y.; Wang, Q.; Shi, Y.; et al. Flexible liquid crystal polymer technologies from microwave to terahertz frequencies. Molecules 2022, 27, 1336. [Google Scholar] [CrossRef]
- Ma, P.; Dai, C.; Wang, H.; Li, Z.; Liu, H.; Li, W.; Yang, C. A review on high temperature resistant polyimide films: Heterocyclic structures and nanocomposites. Compos. Commun. 2019, 16, 84–93. [Google Scholar] [CrossRef]
- Lian, M.; Zhao, F.; Liu, J.; Tong, F.; Meng, L.; Yang, Y.; Zheng, F. The pivotal role of benzimidazole in improving the thermal and dielectric performance of upilex-type polyimide. Polymers 2023, 15, 2343. [Google Scholar] [CrossRef] [PubMed]
- Wang, Y.; Zhou, J.; Hou, J.; Chen, X.; Sun, J.; Fang, Q. High-performance polyimides with high tg and excellent dimensional stability at high temperature prepared via a cooperative action of hydrogen-bond interaction and cross-linking reaction. ACS Appl. Polym. Mater. 2019, 1, 2099–2107. [Google Scholar] [CrossRef]
- Li, Q.; Chen, R.; Guo, Y.; Lei, F.; Xu, Z.; Zhao, H.; Liao, G. Fluorinated linear copolyimide physically crosslinked with novel fluorinated hyperbranched polyimide containing large space volumes for enhanced mechanical properties and uv-shielding application. Polymers 2020, 12, 88. [Google Scholar] [CrossRef] [PubMed]
- Terrasi, G.P.; McIntyre, E.R.E.; Bisby, L.A.; Lämmlein, T.D.; Lura, P. Transient thermal tensile behaviour of novel pitch-based ultra-high modulus cfrp tendons. Polymers 2016, 8, 446. [Google Scholar] [CrossRef]
- Ma, J.; Liu, X.; Wang, R.; Lu, C.; Wen, X.; Tu, G. Research progress and application of polyimide-based nanocomposites. Nanomaterials 2023, 13, 656. [Google Scholar] [CrossRef]
- Rogers, M.E.; Brink, M.H.; McGrath, J.E.; Brennan, A. Semicrystalline and amorphous fluorine-containing polyimides. Polymer 1993, 34, 849–855. [Google Scholar] [CrossRef]
- Choi, M.-C.; Kim, Y.; Ha, C.-S. Polymers for flexible displays: From material selection to device applications. Prog. Polym. Sci. 2008, 33, 581–630. [Google Scholar] [CrossRef]
- He, J.-J.; Yang, H.-X.; Zheng, F.; Yang, S.-Y. Dielectric properties of fluorinated aromatic polyimide films with rigid polymer backbones. Polymers 2022, 14, 649. [Google Scholar] [CrossRef]
- Ren, Y.; Lam, D.C.C. Properties and microstructures of low-temperature-processable ultralow-dielectric porous polyimide films. J. Electron. Mater. 2008, 37, 955–961. [Google Scholar] [CrossRef]
- McKeen, L.W. (Ed.) 7—polyimides. In Film Properties of Plastics and Elastomers, 4th ed.; William Andrew Publishing: Norwich, NY, USA, 2017; pp. 147–185. [Google Scholar]
- POLY(ETHER)IMIDES (PEI). Available online: https://polymerdatabase.com/polymer%20classes/Polyetherimide%20type.html (accessed on 28 June 2023).
- Sun Dal, K.; Taejoon, B.; Jin, K.; Im Sik, C.; Sang Youl, K. Synthesis and properties of fluorinated polyimides from rigid and twisted bis(trifluoromethyl)benzidine for flexible electronics. In Polyimide for Electronic and Electrical Engineering Applications; Sombel, D., Ed.; IntechOpen: Rijeka, Croatia, 2020; Chapter 2. [Google Scholar]
- Lee, J.; Baek, S.; Kim, J.; Lee, S.; Kim, J.; Han, H. Highly soluble fluorinated polyimides synthesized with hydrothermal process towards sustainable green technology. Polymers 2021, 13, 3824. [Google Scholar] [CrossRef]
- Cai, W.; Wu, X.; Xiao, T.; Niu, H.; Bai, X.; Wang, C.; Wang, W.; Zhang, Y. Synthesis and optoelectronic properties of new polyarylates with 2-naphthyldiphenylamine units. Appl. Surf. Sci. 2018, 431, 187–196. [Google Scholar] [CrossRef]
- Tapaswi, P.K.; Ha, C.-S. Recent trends on transparent colorless polyimides with balanced thermal and optical properties: Design and synthesis. Macromol. Chem. Phys. 2019, 220, 1800313. [Google Scholar] [CrossRef]
- Hasegawa, M. Development of solution-processable, optically transparent polyimides with ultra-low linear coefficients of thermal expansion. Polymers 2017, 9, 520. [Google Scholar] [CrossRef] [PubMed]
- Wang, H.-Q.; Wang, J.-W.; Wang, X.-Z.; Gao, X.-H.; Zhuang, G.-C.; Yang, J.-B.; Ren, H. Dielectric properties and energy storage performance of pvdf-based composites with MoS2@mxene nanofiller. Chem. Eng. J. 2022, 437, 135431. [Google Scholar] [CrossRef]
- Wu, X.; Chen, X.; Zhang, Q.M.; Tan, D.Q. Advanced dielectric polymers for energy storage. Energy Storage Mater. 2022, 44, 29–47. [Google Scholar] [CrossRef]
- Wang, S.; Yang, C.; Li, X.; Jia, H.; Liu, S.; Liu, X.; Minari, T.; Sun, Q. Polymer-based dielectrics with high permittivity and low dielectric loss for flexible electronics. J. Mater. Chem. C 2022, 10, 6196–6221. [Google Scholar] [CrossRef]
- Dash, P. Dynamics of space charge polarization and electrical conduction in low alkali boroaluminosilicate glasses. In Engineering Science and Mechanics; The Pennsylvania State University: State College, PA, USA, 2013; p. 150. [Google Scholar]
- Arora, S.K.; Patel, V.; Amin, B.; Kothari, A. Dielectric behaviour of strontium tartrate single crystals. Bull. Mater. Sci. 2004, 27, 141–147. [Google Scholar] [CrossRef]
- Zulkifli, A. Polymer dielectric materials. In Dielectric Material; Marius Alexandru, S., Ed.; IntechOpen: Rijeka, Croatia, 2012; Chapter 1. [Google Scholar]
- Sudhamani, C.; Roslee, M.; Tiang, J.J.; Rehman, A.U. A survey on 5G coverage improvement techniques: Issues and future challenges. Sensors 2023, 23, 2356. [Google Scholar] [CrossRef]
- Xing, W.; Xu, Y.; Song, C.; Deng, T. Recent advances in thermal interface materials for thermal management of high-power electronics. Nanomaterials 2022, 12, 3365. [Google Scholar] [CrossRef]
- Bu, F.; Zhou, W.; Xu, Y.; Du, Y.; Guan, C.; Huang, W. Recent developments of advanced micro-supercapacitors: Design, fabrication and applications. NPJ Flex. Electron. 2020, 4, 31. [Google Scholar] [CrossRef]
- Liu, C.; Zhang, L.; Peng, J.; Qu, W.; Liu, B.; Xia, H.; Zhou, J. Dielectric properties and microwave heating characteristics of sodium chloride at 2.45 GHZ. High Temp. Mater. Processes 2013, 32, 587–596. [Google Scholar] [CrossRef]
- Zhu, H.; Wang, H.; Wang, W.; Liu, J. Study on the change of dielectric properties and chemical-mechanism during coal low-temperature oxidation. Sci. Rep. 2020, 10, 4643. [Google Scholar] [CrossRef] [PubMed]
- Hasegawa, M.; Hirai, T.; Ishigami, T.; Takahashi, S.; Ishii, J. Optically transparent aromatic poly(ester imide)s with low coefficients of thermal expansion. 2: Effect of the introduction of alkyl-substituted p-biphenylene units. Polym. Int. 2018, 67, 431–444. [Google Scholar] [CrossRef]
- Zhuang, Y.; Seong, J.G.; Lee, Y.M. Polyimides containing aliphatic/alicyclic segments in the main chains. Prog. Polym. Sci. 2019, 92, 35–88. [Google Scholar] [CrossRef]
- Harito, C.; Bavykin, D.V.; Yuliarto, B.; Dipojono, H.K.; Walsh, F.C. Inhibition of polyimide photodegradation by incorporation of titanate nanotubes into a composite. J. Polym. Environ. 2019, 27, 1505–1515. [Google Scholar] [CrossRef]
- Yi, C.; Li, W.; Shi, S.; He, K.; Ma, P.; Chen, M.; Yang, C. High-temperature-resistant and colorless polyimide: Preparations, properties, and applications. Sol. Energy 2020, 195, 340–354. [Google Scholar] [CrossRef]
- Hasegawa, M.; Ishigami, T.; Ishii, J.; Sugiura, K.; Fujii, M. Solution-processable transparent polyimides with low coefficients of thermal expansion and self-orientation behavior induced by solution casting. Eur. Polym. J. 2013, 49, 3657–3672. [Google Scholar] [CrossRef]
- Jiang, G.-L.; Wang, D.-Y.; Du, H.-P.; Wu, X.; Zhang, Y.; Tan, Y.-Y.; Wu, L.; Liu, J.-G.; Zhang, X.-M. Reduced coefficients of linear thermal expansion of colorless and transparent semi-alicyclic polyimide films via incorporation of rigid-rod amide moiety: Preparation and properties. Polymers 2020, 12, 413. [Google Scholar] [CrossRef]
- Wei, X.-Y.; He, Z.-B.; Yuan, S.-Q.; Wu, H.; Zhi, X.-X.; Zhang, Y.; Chen, S.-J.; Liu, J.-G. Enhancement of ultraviolet light resistance of colorless and transparent semi-alicyclic polyimide nanocomposite films via the incorporation of hindered amine light stabilizers for potential applications in flexible optoelectronics. Polymers 2022, 14, 1091. [Google Scholar] [CrossRef]
- Wenlin, C.; Hui, D.; Jianshu, Y.; Ying, Z.; Xuejiao, S.; Bin, C.; Yanya, J.; Rao, F.; Zhongfu, Z. Design, fabrication, and application of colorless polyimide film for transparent and flexible electronics. In Polyimide for Electronic and Electrical Engineering Applications; Sombel, D., Ed.; IntechOpen: Rijeka, Croatia, 2021; Chapter 3. [Google Scholar]
- Hasegawa, M.; Horiuchi, M.; Kumakura, K.; Koyama, J. Colorless polyimides with low coefficient of thermal expansion derived from alkyl-substituted cyclobutanetetracarboxylic dianhydrides. Polym. Int. 2014, 63, 486–500. [Google Scholar] [CrossRef]
- Hasegawa, M.; Tsujimura, Y.; Koseki, K.; Miyazaki, T. Poly(ester imide)s possessing low CTE and low water absorption (ii). Effect of substituents. Polym. J. 2008, 40, 56–67. [Google Scholar] [CrossRef]
- Ogura, T.; Higashihara, T.; Ueda, M. Low-CTE photosensitive polyimide based on semialicyclic poly(amic acid) and photobase generator. J. Polym. Sci. Part A Polym. Chem. 2010, 48, 1317–1323. [Google Scholar] [CrossRef]
- Sava, I.; Damaceanu, M.-D.; Constantin, C.-P.; Asandulesa, M.; Wolińska-Grabczyk, A.; Jankowski, A. Structure—Promoted high performance properties of triphenylmethane—Containing polyimides and copolyimides. Eur. Polym. J. 2018, 108, 554–569. [Google Scholar] [CrossRef]
- Liao, L.Y.; Ruan, W.H.; Zhang, M.Q.; Weihao, L. Improving the dimensional stability of polyphenylene oxide without reducing its dielectric properties for high-frequency communication applications. Ind. Eng. Chem. 2023, 62, 7007–7016. [Google Scholar] [CrossRef]
- Zhang, Q.; Li, S.; Li, W.; Zhang, S. Synthesis and properties of novel organosoluble polyimides derived from 1,4-bis [4-(3,4-dicarboxylphenoxy)]triptycene dianhydride and various aromatic diamines. Polymer 2007, 48, 6246–6253. [Google Scholar] [CrossRef]
- Dong, Z.; He, Q.; Shen, D.; Gong, Z.; Zhang, D.; Zhang, W.; Ono, T.; Jiang, Y. Microfabrication of functional polyimide films and microstructures for flexible mems applications. Microsyst. Nanoeng. 2023, 9, 31. [Google Scholar] [CrossRef] [PubMed]
- Zhang, M.; Liu, W.; Gao, X.; Cui, P.; Zou, T.; Hu, G.; Tao, L.; Zhai, L. Preparation and characterization of semi-alicyclic polyimides containing trifluoromethyl groups for optoelectronic application. Polymers 2020, 12, 1532. [Google Scholar] [CrossRef] [PubMed]
- Zuo, H.-T.; Gan, F.; Dong, J.; Zhang, P.; Zhao, X.; Zhang, Q.-H. Highly transparent and colorless polyimide film with low dielectric constant by introducing meta-substituted structure and trifluoromethyl groups. Chin. J. Polym. Sci. 2021, 39, 455–464. [Google Scholar] [CrossRef]
- Balasubramanian, R.; Jayaseeli, X.; Sarojadevi, M. Structure–property relationship of polyetherimide based on aromatic dianhydride and long alkyl chain containing aromatic diamines. High Perform. Polym. 2014, 27, 758–771. [Google Scholar] [CrossRef]
- Li, J.; Zhang, H.; Liu, F.; Lai, J.; Qi, H.; You, X. A new series of fluorinated alicyclic-functionalized polyimides derivated from natural-(d)-camphor: Synthesis, structure–properties relationships and dynamic dielectric analyses. Polymer 2013, 54, 5673–5683. [Google Scholar] [CrossRef]
- Mi, Z.; Liu, Z.; Wang, C.; Liu, Y.; Zhou, C.; Wang, D.; Zhao, X.; Zhou, H.; Zhang, Y.; Chen, C. Transparent and soluble polyimide films containing 4,4′-isopropylidenedicyclohexanol (cis-hbpa) units: Preparation, characterization, thermal, mechanical, and dielectric properties. J. Polym. Sci. Part A Polym. Chem. 2018, 56, 2115–2128. [Google Scholar] [CrossRef]
- Guan, Y.; Wang, D.; Song, G.; Dang, G.; Chen, C.; Zhou, H.; Zhao, X. Novel soluble polyimides derived from 2,2′-bis [4-(5-amino-2-pyridinoxy)phenyl]hexafluoropropane: Preparation, characterization, and optical, dielectric properties. Polymer 2014, 55, 3634–3641. [Google Scholar] [CrossRef]
- Dong, W.; Guan, Y.; Shang, D. Novel soluble polyimides containing pyridine and fluorinated units: Preparation, characterization, and optical and dielectric properties. RSC Adv. 2016, 6, 21662–21671. [Google Scholar] [CrossRef]
- Liu, H.; Zhai, L.; Bai, L.; He, M.; Wang, C.; Mo, S.; Fan, L. Synthesis and characterization of optically transparent semi-aromatic polyimide films with low fluorine content. Polymer 2019, 163, 106–114. [Google Scholar] [CrossRef]
- Zhai, L.; Yang, S.; Fan, L. Preparation and characterization of highly transparent and colorless semi-aromatic polyimide films derived from alicyclic dianhydride and aromatic diamines. Polymer 2012, 53, 3529–3539. [Google Scholar] [CrossRef]
- Mi, Z.; Liu, Z.; Tian, C.; Zhao, X.; Zhou, H.; Wang, D.; Chen, C. Soluble polyimides containing 1,4:3,6-dianhydro-d-glucidol and fluorinated units: Preparation, characterization, optical, and dielectric properties. J. Polym. Sci. Part A Polym. Chem. 2017, 55, 3253–3265. [Google Scholar] [CrossRef]
- Mi, Z.; Liu, Z.; Yao, J.; Wang, C.; Zhou, C.; Wang, D.; Zhao, X.; Zhou, H.; Zhang, Y.; Chen, C. Transparent and soluble polyimide films from 1,4:3,6-dianhydro-d-mannitol based dianhydride and diamines containing aromatic and semiaromatic units: Preparation, characterization, thermal and mechanical properties. Polym. Degrad. Stab. 2018, 151, 80–89. [Google Scholar] [CrossRef]
- Olariu, M.A.; Hamciuc, C.; Asandulesa, M.; Hamciuc, E.; Epure, E.-L.; Tsakiris, V.; Lisa, G. Study on highly thermostable low-k polymer films based on fluorene-containing polyetherimides. Polym. Eng. Sci. 2021, 61, 2639–2652. [Google Scholar] [CrossRef]
- Wu, Y.; Chen, Z.; Ji, J.; Zhou, Y.; Huang, H.; Liu, S.; Zhao, J. Multifunctional polyimides by direct silyl ether reaction of pendant hydroxy groups: Toward low dielectric constant, high optical transparency and fluorescence. Eur. Polym. J. 2020, 132, 109742. [Google Scholar] [CrossRef]
- Wu, Y.; Liu, S.; Zhao, J. Simultaneously improving the optical, dielectric, and solubility properties of fluorene-based polyimide with silyl ether side groups. ACS Omega 2022, 7, 11939–11945. [Google Scholar] [CrossRef]
- Nakagawa, T.; Morikawa, A. Synthesis and characterization of novel aromatic polyimides from z-type sexiphenyltetracarboxylic dianhydride and aromatic diamines. Polym. J. 2014, 46, 255–263. [Google Scholar] [CrossRef]
- Morikawa, A.; Ono, K. Synthesis and characterization of novel aromatic polyimides from aromatic diamine and 3,3″‴,4,4″‴-p-sexiphenyltetracarboxylic dianhydride. Polym. J. 2000, 32, 948–953. [Google Scholar] [CrossRef]
- Morikawa, A.; Karube, C.; Sakaki, Y. Synthesis and properties of polyimides containing tetraphenylnaphthalene units. High Perform. Polym. 2015, 28, 1201–1209. [Google Scholar] [CrossRef]
- Nabeshima, S.; Morikawa, A. Synthesis and properties of polyimides having a hexaphenylbenzene unit. High Perform. Polym. 2014, 27, 772–781. [Google Scholar] [CrossRef]
- Zhang, W.; Peng, Z.; Zhang, X.; Pan, Q.; Liu, S.; Cao, B.; Zhao, J. Soluble liquid crystalline poly(ester imide)s with high glass transition temperatures and improved dielectric properties. ACS Appl. Polym. Mater. 2022, 4, 4234–4243. [Google Scholar] [CrossRef]
- Zhang, W.; Peng, Z.; Pan, Q.; Liu, S.; Zhao, J. Effect of fluorinated substituents on solubility and dielectric properties of the liquid crystalline poly(ester imides). ACS Appl. Polym. Mater. 2023, 5, 141–151. [Google Scholar] [CrossRef]
- Qi, H.; Liu, Q.; Zhang, A.; Liu, F.; Zhang, N. Comparative studies on structure-property relationships of the polyimide films derived from the dianhydride containing alicyclic cis-ethylenic double bond. Macromol. Res. 2019, 27, 703–712. [Google Scholar] [CrossRef]
- Hasegawa, M.; Tominaga, A. Fluorene-containing poly(ester imide)s and their application to positive-type photosensitive heat-resistant materials. Macromol. Mater. Eng. 2011, 296, 1002–1017. [Google Scholar] [CrossRef]
- Lee, B.; Kim, S.D.; Park, J.; Byun, T.; Kim, S.J.; Seo, M.; Kim, S.Y. Transparent poly(amide-imide)s containing trifluoromethyl groups with high glass transition temperature. J. Polym. Sci. Part A Polym. Chem. 2018, 56, 1782–1786. [Google Scholar] [CrossRef]
- Li, W.; Qian, X.; Shi, H.; Zhou, W.; Cai, Y.; Liu, Y.; Shen, K. Synthesis and properties of novel soluble poly(amide-imide)s with different pendant substituents. J. Polym. Sci. Part A Polym. Chem. 2017, 55, 3243–3252. [Google Scholar] [CrossRef]
- Lee, J.; Lee, S.; Kim, K.; Yoo, T.; Kim, G.; Han, H. Low dielectric transparent poly(amide-imide) thin film with nano scale porous structure. Macromol. Res. 2017, 25, 1115–1120. [Google Scholar] [CrossRef]
- Butnaru, I.; Bruma, M.; Gaan, S. Phosphine oxide based polyimides: Structure–property relationships. RSC Adv. 2017, 7, 50508–50518. [Google Scholar] [CrossRef]
- Choi, J.K.; Paek, K.Y.; Yoon, T.-H. Adhesive and dielectric properties of novel polyimides with bis(3,3′-aminophenyl)-2,3,5,6-tetrafluoro-4-trifluoromethyl phenyl phosphine oxide. Eur. Polym. J. 2009, 45, 1652–1658. [Google Scholar]
- Kuo, C.-C.; Lin, Y.-C.; Chen, Y.-C.; Wu, P.-H.; Ando, S.; Ueda, M.; Chen, W.-C. Correlating the molecular structure of polyimides with the dielectric constant and dissipation factor at a high frequency of 10 GHz. ACS Appl. Polym. Mater. 2021, 3, 362–371. [Google Scholar] [CrossRef]
- Zhuang, Y.; Orita, R.; Fujiwara, E.; Zhang, Y.; Ando, S. Colorless partially alicyclic polyimides based on tröger’s base exhibiting good solubility and dual fluorescence/phosphorescence emission. Macromolecules 2019, 52, 3813–3824. [Google Scholar] [CrossRef]
- Zhuang, Y.; Seong, J.G.; Do, Y.S.; Jo, H.J.; Cui, Z.; Lee, J.; Lee, Y.M.; Guiver, M.D. Intrinsically microporous soluble polyimides incorporating tröger’s base for membrane gas separation. Macromolecules 2014, 47, 3254–3262. [Google Scholar] [CrossRef]
- Wang, Z.; Zhang, M.; Han, E.; Niu, H.; Wu, D. Structure-property relationship of low dielectric constant polyimide fibers containing fluorine groups. Polymer 2020, 206, 122884. [Google Scholar] [CrossRef]
- Yu, H.-C.; Jung, J.-W.; Choi, J.-Y.; Oh, S.Y.; Chung, C.-M. Structure-property relationship study of partially aliphatic copolyimides for preparation of flexible and transparent polyimide films. J. Macromol. Sci. A 2017, 54, 97–104. [Google Scholar] [CrossRef]
- Duan, H.-T.; Tang, C.-C.; Liu, X.-L.; Huang, Z.-Z.; Sheng, S.-R. Soluble copoly(pyridine ether imide)s derived from 6fda, 1,4-bis(4-amino-2-trifluromethylphenoxy)benzene, and 4-(4-trifluoromethylphenyl)-2,6-bis(4-aminophenyl)pyridine. High Perform. Polym. 2017, 30, 624–632. [Google Scholar] [CrossRef]
- Li, X.; Lei, H.; Guo, J.; Wang, J.; Qi, S.; Tian, G.; Wu, D. Composition design and properties investigation of bpda/pda/tfdb co-polyimide films with low dielectric permittivity. J. Appl. Polym. Sci. 2019, 136, 47989. [Google Scholar] [CrossRef]
- Lv, P.; Dong, Z.; Dai, X.; Qiu, X. Flexible polydimethylsiloxane-based porous polyimide films with an ultralow dielectric constant and remarkable water resistance. ACS Appl. Polym. Mater. 2019, 1, 2597–2605. [Google Scholar] [CrossRef]

















| S. No | Name/Code of the PI | Prime Repeating Unit of Polyimide (Amine Part or Anhydride Part or Both) | d-Space (nm) | Tg (oC) | Td5% (oC) | Dielectric Constant (ε) at 1 MHz | Dielectric Loss at 1 MHz × 10−2) | Water Absorption (%) | Optical Transparency (nm) | Ref. |
|---|---|---|---|---|---|---|---|---|---|---|
| 1 | p-PDA-FDA | ![]() R = CH3: m-PDA- R = CF3: CF3-m-PDA | --- | 332 | 514 | 2.66 b | --- | --- | 80 ** | [64] |
| 2 | m-PDA-FDA | --- | 298 | 510 | 2.56 b | --- | --- | 83 | ||
| 3 | CF3-m-PDA-FDA | --- | 296 | 522 | 2.27 b | 0.001 b | --- | 85 | ||
| 4 | PEtI-1 | 1–4: BTDA; 5–8: PMDA 1,5 R = (CH3)3; 2,6 R = (CH3)4 3,7 R = (CH3)5; 4,8 R = (CH3)6 ![]() | --- | 230 | 353 | 3.1 | --- | 0.37 | --- | [65] |
| 5 | PEtI-2 | --- | 216 | 393 | 2.88 | --- | 0.42 | --- | ||
| 6 | PEtI-3 | --- | 204 | 318 | 2.8 | --- | 0.62 | --- | ||
| 7 | PEtI-4 | --- | 195 | 323 | 2.68 | --- | 0.43 | --- | ||
| 8 | PEtI-5 | --- | 245 | 388 | 3.17 | 24 | 0.45 | --- | ||
| 9 | PEtI-6 | --- | 232 | 418 | 3.06 | 19 | 0.48 | --- | ||
| 10 | PEtI-7 | --- | 224 | 353 | 2.82 | 31 | 0.56 | --- | ||
| 11 | PEtI-8 | --- | 202 | 373 | 2.77 | 26 | 0.40 | --- | ||
| 12 | FPI-1 | 1=ODPA; 2=BPDA; 3=BTDA; 4= TCPDA FPI ![]() API ![]() TCPDA ![]() | 0.589 | 221 | 420 | --- | --- | --- | --- | [66] |
| 13 | FPI-2 | 0.579 | --- | 418 | --- | --- | --- | --- | ||
| 14 | FPI-3 | 0.559 | 230 | 410 | --- | --- | --- | --- | ||
| 15 | FPI-4 | 0.602 | 195 | 374 | 2.79 | --- | 0.32 | 65 ** | ||
| 16 | API-1 | 0.549 | 262 | 527 | --- | --- | --- | --- | ||
| 17 | API-2 | 0.558 | --- | 558 | --- | --- | --- | --- | ||
| 18 | API-3 | 0.543 | 261 | 464 | --- | --- | --- | --- | ||
| 19 | API-4 | 0.563 | 199 | 368 | 3.34 | --- | 0.51 | 55 | ||
| 20 | PI-1 | 1 = PDA; 2 = ODA; 3 = DBP (4,4′-Diaminobenzophenone); 4 = Benzidine; 5 = 6FIPDA (4,4′-(perfluoropropane-2,2-diyl) dianiline); 6 = IPDA; 7= aromatic DA.![]() | 0.56 | 266 | 388 | 2.92 | --- | 0.38 | 74 ** | [67] |
| 21 | PI-2 | 0.57 | 214 | 387 | 2.64 | --- | 0.32 | 82 | ||
| 22 | PI-3 | 0.56 | 235 | 386 | 2.74 | --- | 0.33 | 52 | ||
| 23 | PI-4 | 0.54 | 264 | 407 | 2.84 | --- | 0.36 | 70 | ||
| 24 | PI-5 | 0.59 | 248 | 394 | 2.26 | --- | 0.29 | 84 | ||
| 25 | PI-6 | 0.55 | 219 | 399 | 2.62 | --- | 0.31 | 86 | ||
| 26 | PI-7 | 0.60 | 239 | 523 | 2.22 | --- | 0.27 | 85 | ||
| 27 | PPI-1 | R=CF3: 1–4; R=CH3: 5 6= Non-Pyridyl rings ![]() 1=PMDA;2=BTDA; 3=ODPA; 4,5,6=FDA | --- | 306 | 522 | 2.73 | ---- | 0.70 | 21 ** | [68] |
| 28 | PPI-2 | --- | 246 | 514 | 2.92 | --- | 0.82 | 46 | ||
| 29 | PPI-3 | --- | 239 | 498 | 2.91 | --- | 0.76 | 77 | ||
| 30 | PPI-4 | --- | 262 | 520 | 2.71 | --- | 0.51 | 75 | ||
| 31 | PPI-5 | --- | 261 | 508 | 2.72 | --- | 0.57 | 78 | ||
| 32 | PPI-6 | --- | 258 | 523 | 2.75 | --- | 0.44 | 79 | ||
| 33 | PI-1 | 1 = 6,6’-methyl; 2 = 4,4’methyl; 3= no methyl![]() | --- | 262 | 468 | 2.39 | --- | 0.71 | 91 ** | [69] |
| 34 | PI-2 | --- | 275 | 493 | 2.52 | --- | 0.64 | 90 | ||
| 35 | PI-3 | --- | 265 | 499 | 2.36 | --- | 0.79 | 94 | ||
| 36 | CHDA-1 | ![]() R1= R2= R3= H: 1; R1= R3= H, R2=F: 2; R1= R2= R3= F: 3; | 0.58 | 385 | 473 | 2.79 | --- | 2.21 | 71 *,87 ** | [70] |
| 37 | CHDA-2 | 0.59 | 382 | 470 | 2.77 | --- | 1.89 | 74 *, 91 ** | ||
| 38 | CHDA-3 | 0.60 | 375 | 492 | 2.72 | --- | 1.12 | 78 *, 93 ** | ||
| 39 | BODA-1 | 0.59 | >400 | 421 | 2.80 | --- | 2.67 | 72 *, 84 ** | ||
| 40 | BODA-2 | 0.60 | 387 | 428 | 2.77 | --- | 2.51 | 72 *, 88 ** | ||
| 41 | BODA-3 | 0.62 | 364 | 428 | 2.73 | --- | 1.53 | 80 *, 90 ** | ||
| 42 | CHDA-1 | CHDA![]() | 0.51 | 333 | 442 | --- | --- | 1.18 | 84 *, 91 ** | [71] |
| 43 | CHDA-2 | 0.58 | 370 | 474 | --- | --- | 0.59 | 85 *, 93 ** | ||
| 45 | CHDA-3 | 0.50 | 368 | 447 | --- | --- | 0.81 | 88 *, 92 ** | ||
| 46 | CHDA-4 | 0.49 | 376 | 453 | --- | --- | 0.95 | 87 *, 93 ** | ||
| 47 | CHDA-5 | 0.54 | 380 | 445 | --- | --- | 0.92 | 88 *, 93 ** | ||
| 48 | CHDA-6 | 0.53 | 275 | 436 | --- | --- | 0.88 | 90 *, 94 ** | ||
| 49 | BODA-1 | BODA![]() | 0.57 | 390 | 412 | 2.61 opt | --- | 0.78 | 83 *, 86 ** | [63] |
| 50 | BODA-2 | 0.52 | 285 | 405 | 2.67 opt | --- | 0.92 | 74 *, 82 ** | ||
| 51 | BODA-3 | 0.50 | 304 | 410 | 2.75 opt | --- | 1.08 | 68 *, 80 ** | ||
| 52 | BODA-4 | 0.54 | 294 | 405 | 2.73 | --- | 0.77 | 87 *, 95 ** | ||
| 53 | CBDA-4 | 0.50 | 295 | 440 | 2.76 | --- | 1.05 | 84 *, 92 ** | ||
| 54 | PI-1 = DGDAm1c-1 | ![]() R = H: DGDAm1a R = CH3: DGDAm1b R = CF3: DGDAm1c | --- | 235 | 439 | 2.18 | --- | 0.29 | 81 ** | [72] |
| 55 | PI-2 = DGDAm1c-2 | --- | 258 | 435 | 2.40 | --- | 0.24 | 80 ** | ||
| 56 | PI-3 = DGDAm1c-3 | --- | 238 | 427 | 2.31 | --- | 0.31 | 72 ** | ||
| 57 | PI-4 = DGDAm1c-4 | --- | 207 | 458 | 2.15 | --- | 0.19 | 82 ** | ||
| 58 | PI-5 = DGDAm1c-FDA | --- | 260 | 445 | 2.02 | --- | 0.15 | 87 ** | ||
| 59 | PI-6 = DGDAm1b- FDA | --- | 260 | 446 | 2.17 | --- | 0.26 | 79 ** | ||
| 60 | PI-7 = DGDAm1a- FDA | --- | 280 | 461 | 2.15 | --- | 0.29 | 76 ** | ||
| 61 | PI-8 = 1d-FDA | --- | 267 | 536 | 2.30 | --- | 0.33 | 83 ** | ||
| 62 | PI-1 = DMDAn-1 | DMDAn![]() 1 = PDA; 2 = ODA; 3 = DBP; 4 = 6FIPDA | 0.518 | 300 | 447 | 2.69 | --- | 0.36 | 80 ** | [73] |
| 63 | PI-2 = DMDAn-2 | 0.528 | 250 | 450 | 2.67 | --- | 0.33 | 82 ** | ||
| 64 | PI-3 = DMDAn- 3 | 0.549 | 267 | 447 | 2.82 | --- | 0.39 | 73 ** | ||
| 65 | PI-4 = DMDAn-6FIPDA | 0.560 | 277 | 453 | 2.26 | --- | 0.27 | 83 ** | ||
| 66 | PI-5 =DMDAn- DGDAm1a | 0.497 | 214 | 432 | 2.62 | --- | 0.30 | 86 ** | ||
| 67 | PI-6 = DMDAn- DGDAm1b | 0.548 | 218 | 415 | 2.53 | --- | 0.31 | 88 ** | ||
| 68 | PI-7 =DMDAn- DGDAm1c | 0.552 | 233 | 432 | 2.14 | --- | 0.25 | 89 ** | ||
| 69 | FDAn-1 | ![]() | --- | 206 | 500 | 2.20 b | 0.41 b | 1.419 | --- | [74] |
| 70 | FDAn-2 | --- | 225 | 510 | 2.18 b | 0.3 b | 1.419 | --- | ||
| 71 | FDAn-3 | --- | 220 | 535 | 1.96 b | 0.36 b | 1.114 | --- | ||
| 72 | FDAn-4 | --- | 205 | 500 | 2.83 b | 0.45 b | 0.929 | --- | ||
| 73 | FDAn-5 | --- | 211 | 505 | 2.21 b | 0.30 b | 1.208 | --- | ||
| 74 | Fn1-FDA | ![]() R = H: Fn1; R = CH3: Fn2 | --- | 302 | 478 | 2.49 | 1.23 | 0.80 | 81 ** | [75] |
| 75 | Fn2-FDA | --- | 311 | 469 | 2.44 | 0.64 | 0.67 | 85 ** | ||
| 76 | Fn1-ODPA | --- | 296 | 506 | 2.72 | 0.99 | 1.05 | 83 ** | ||
| 77 | Fn2- ODPA | --- | 322 | 488 | 2.65 | 1.18 | 0.72 | 84 ** | ||
| 78 | Fn2-Si-ODPA | ![]() | --- | 292 | 491 | 2.75 a | 0.61 a | 0.45 | 74 * | [76] |
| 79 | Fn2-Si-FDA | --- | 308 | 470 | 2.63 a | 0.91 a | 0.19 | 79 | ||
| 80 | Fn2-Si-BPADA | --- | 245 | 480 | 2.67 a | 0.24 a | 0.15 | 81 | ||
| 81 | PI-2a | PI-1![]() PI-2 ![]() | --- | 290 | 580 # | 2.74 opt | --- | --- | --- | [77] |
| 82 | PI-2b | --- | 295 | 575 # | 2.73 opt | --- | --- | --- | ||
| 83 | PI-2c | --- | 320 | 560 # | --- | --- | --- | --- | ||
| 84 | PI-2d | --- | 345 | 590 # | 2.78 opt | --- | --- | --- | ||
| 85 | PI-2e | --- | 270 | 575 # | 2.73 opt | --- | --- | --- | ||
| 86 | PI-2f | --- | 310 | 560 # | --- | --- | --- | --- | ||
| 87 | PI-1a | --- | 244 | 585 # | 2.90 | --- | --- | --- | ||
| 88 | PI-1b | --- | 244 | 580 # | 2.88 | --- | --- | --- | ||
| 89 | PI-1c | --- | 237 | 590 # | 2.87 | --- | --- | --- | ||
| 90 | PI-3a | PI-3![]() | --- | 315 | 552 # | 2.9 | --- | --- | 38 *** | [79] |
| 91 | PI-3b | --- | 288 | 560 # | 2.84 | --- | --- | 56 *** | ||
| 92 | PI-3c | --- | 292 | 562 # | 2.85 | --- | --- | 56 *** | ||
| 93 | PI-3d | --- | 296 | 563 # | 2.76 | --- | --- | 58 *** | ||
| 94 | PI-3e | --- | 282 | 555 # | 2.8 | --- | --- | 55 *** | ||
| 95 | PI-3f | --- | 270 | 553 # | 2.8 | --- | --- | 74 *** | ||
| 96 | PI-3g | --- | 280 | 528 # | 2.71 | --- | --- | 76 *** | ||
| 97 | PI-4a | PI-4![]() | --- | 352 | 568 | 2.82 | --- | 0.22 | 39 *** | [80] |
| 98 | PI-4b | --- | 308 | 575 | 2.75 | --- | 0.19 | 58 *** | ||
| 99 | PI-4c | --- | 315 | 580 | 2.75 | --- | 0.19 | 60 *** | ||
| 100 | PI-4d | --- | 319 | 582 | 2.74 | --- | 0.18 | 57 *** | ||
| 101 | PI-4e | --- | 293 | 568 | 2.77 | --- | 0.2 | 67 *** | ||
| 102 | PI-4f | --- | 289 | 567 | 2.8 | --- | 0.19 | 77 *** | ||
| 103 | PI-4g | --- | 308 | 550 | 2.68 | --- | 0.14 | 78 *** | ||
| 104 | LCPEI-10 | ![]() | 2.85, 0.51 | 218 | 458 | 3.07 c | 0.6 c | 0.39 | --- | [81] |
| 105 | LCPEI-12.5 | 2.94, 0.53 | 220 | 453 | 2.91 c | 0.8 c | 0.55 | --- | ||
| 106 | LCPEI-3F | R1 = R2 = F:3F; R3 = F: 4F; R1 = CF3 andR2 = H:6F![]() | 2.5, 0.49 | 220 | 478 | 3.0 c | 0.82 c | 0.44 | --- | [82] |
| 107 | LCPEI-4F | 2.26, 0.48 | 191 | 475 | 3.01 c | 0.63 c | 0.55 | --- | ||
| 108 | LCPEI-6F | 2.1, 0.48 | 212 | 475 | 2.93 c | 0.76 c | 0.33 | --- | ||
| 109 | PEI-6F25AF | --- | 238 | 470 | 2.60 c | 0.12 c | 0.42 | --- | ||
| 110 | PEI-6Fd25AF | --- | 221 | 471 | 2.79 c | 0.77 c | 0.46 | --- | ||
| 111 | DPEDBA-FDA | ![]() | 0.45 | --- | 360 | 2.17 | --- | 1.78 | 86 ** | [1] |
| 112 | BHEM-PI | BHEM![]() | 0.513 nm | --- | --- | 3.6-3.8dynamic | --- | --- | 29 *** | [83] |
| BHSM-PI | 0.520 | --- | --- | 4.0–5.0dynamic | --- | --- | 50 *** | |||
| 113 | BPFLDAn/ODA | BPFL![]() BMPFL ![]() | --- | 299 | 452 | 3.01 | 1.44 | 0.71 | 4.0 * | [84] |
| 114 | BPFLDAn/PDA | --- | 324 | 461 | 3.05 | 1.40 | 1.77 | 10.3 * | ||
| 115 | BPFLDAn/m-tolidine | --- | 312 | 435 | 3.07 | 1.74 | 0.80 | 13.1 * | ||
| 116 | BPFLDAn/TFMB | --- | 309 | 463 | 2.87 | 1.61 | 0.68 | 64.4 * | ||
| 117 | BPFLDAn/MBCHA | --- | 290 | 423 | 2.90 | 1.05 | 0.60 | 65.3 * | ||
| 118 | BMPFLDAn/ODA | --- | 285 | 427 | 3.09 | 0.84 | 0.83 | 9.6 * | ||
| 119 | BMPFLDAn/PDA | --- | 312 | 430 | 3.07 | 0.81 | 1.15 | 10.9 * | ||
| 120 | BMPFLDAn/m-tolidine | --- | 309 | 423 | 2.97 | 0.65 | 0.99 | 23.9 * | ||
| 121 | BMPFLDAn/TFMB | --- | 293 | 414 | 2.87 | 1.11 | 0.46 | 48.0 * | ||
| 122 | BMPFLDAn/MBCHA | --- | 277 | 417 | 2.88 | 1.13 | 0.85 | 68.1 | ||
| 123 | PAI-SS | ![]() | 0.567: 0.571 | --- | --- | 2.56 opt | --- | --- | 86 * | [85] |
| 124 | PAI-SS | 0.546: 0.557 | --- | --- | 2.55 opt | --- | --- | 85 * | ||
| 125 | PAI-US | 0.546: 0.517 | --- | --- | 2.54 opt | --- | --- | 84 * | ||
| 126 | PAI-UU | 0.496: 0.489 (in plane: out of plane) | --- | --- | 2.54 opt (At 1310 nm) | --- | --- | 84 * | ||
| 127 | PAI-IIIa | IIIx![]() IVx ![]() | --- | 265 | 540 | 2.98 | --- | 1.15 | 74 ** | [86] |
| 128 | PAI-IIIb | --- | 254 | 538 | 2.93 | --- | 1.02 | 73 ** | ||
| 129 | PAI-IIIc | --- | 252 | 532 | 2.85 | --- | 0.88 | 80 ** | ||
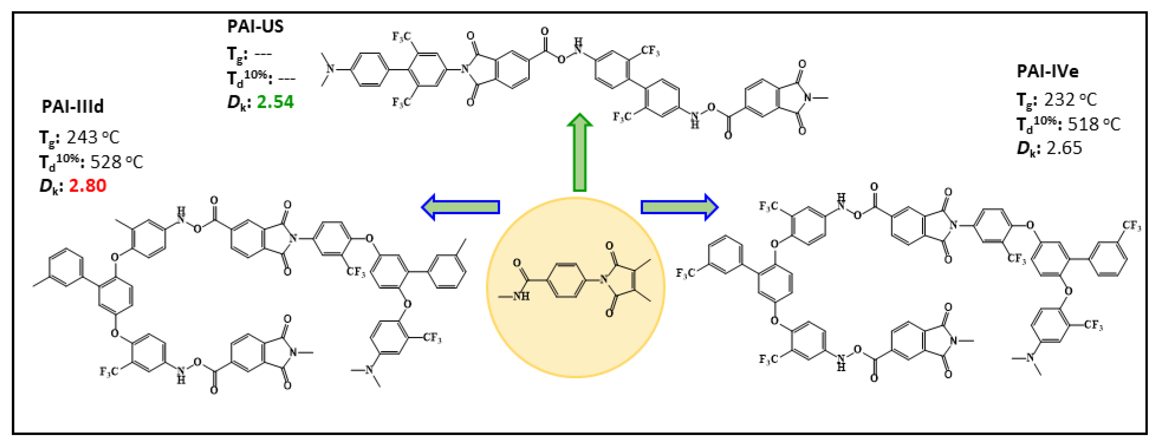
| 130 | PAI-IIId | --- | 243 | 528 | 2.80 | --- | 0.67 | 81 ** | ||
| 131 | PAI-IIIe | --- | 235 | 513 | 2.82 | --- | 0.62 | 81 ** | ||
| 132 | PAI-I Va | --- | 262 | 543 | 2.95 | --- | 1.12 | 75 ** | ||
| 133 | PAI-IVb | --- | 251 | 540 | 2.90 | --- | 1.02 | 75 ** | ||
| 134 | PAI-IVc | --- | 252 | 534 | 2.82 | --- | 0.83 | 78 ** | ||
| 135 | PAI-IVd | --- | 235 | 530 | 2.73 | --- | 0.62 | 80 ** | ||
| 136 | PAI-IVe | --- | 232 | 518 | 2.65 | --- | 0.56 | 81 ** | ||
| 137 | PAI-0 | ![]() | --- | 405 | 286 | 3.35 | --- | --- | 88 *** | [87] |
| 138 | PAI-0.25 | --- | 365 | 255 | 3.19 | --- | --- | 82 *** | ||
| 139 | PAI-0.5 | --- | 396 | 280 | 3.13 | --- | --- | 75 *** | ||
| 140 | PAI-0.75 | --- | 408 | 306 | 2.79 | --- | --- | 64 *** | ||
| 141 | PAI-1.0 | --- | 427 | 320 | 2.51 | --- | --- | 39 *** | ||
| 142 | DP-PI-1 | ![]() | --- | 269 | 473 | 3.47 a | 1.05 | --- | 86 ** | [88] |
| 143 | DP-PI-2 | --- | 270 | 479 | 3.61 a | 0.98 | --- | 77.3 ** | ||
| 144 | DP-PI-3 | --- | 271 | 483 | 3.30 a | 0.97 | --- | 88.2 ** | ||
| 145 | DP-PI-4 | --- | 216 | 487 | 3.41 a | 1.18 | --- | 88.3 ** | ||
| 146 | TP-PI-1 | ![]() | --- | 276 | 538 | 2.34 | --- | --- | --- | [89] |
| 147 | TP-PI-2 | --- | 298 | 529 | 2.47 | --- | --- | --- | ||
| 148 | TP-PI-3 | --- | 314 | 522 | 2.89 | --- | --- | --- | ||
| 149 | Alicyclic-TB-PI-1 | ![]() | 0.649 | --- | 421 | 2.66 opt | --- | --- | 83 * | [91] |
| 150 | Alicyclic-TB-PI-2 | 0.667 | --- | 423 | 2.66 opt | --- | --- | 77 * | ||
| 151 | Alicyclic-TB-PI-3 | 0.638 | --- | 411 | 2.68 opt | --- | --- | 71 * | ||
| 152 | Aromatic- TB-PI (FDA) | 0.674 | --- | 487 | 2.57 opt | --- | --- | 66 * | ||
![]() | (002):(003) | [93] | ||||||||
| 153 | PI-0 | 0.46:0.42 | 372 | 558 | 3.0 c | --- | --- | --- | ||
| 154 | PI-10 | 0.52:0.38 | 295 | 523 | 2.48 c | --- | --- | --- | ||
| 155 | DAn: ODPA10:90 | ![]() | 0.578 | --- | --- | 2.50 opt | --- | --- | 95 * | [94] |
| 156 | DAn: BTDA10:90 | 0.564 | --- | --- | 2.57 opt | --- | --- | 94 * | ||
| 157 | DAn: BPDA10:90 | 0.564 | --- | --- | 2.65 opt | --- | --- | 90 * | ||
| 160 | CoPI-20 | --- | 272 | 529 | 2.76 | --- | 0.32 | 84 *** | [95] | |
| 161 | CoPI-40 | --- | 293 | 534 | 2.80 | --- | 0.38 | 85 *** | ||
| 162 | CoPI-50 | --- | 305 | 535 | 2.83 | --- | 0.44 | 80 *** | ||
| 163 | CoPI-60 | --- | 315 | 538 | 2.88 | --- | 0.51 | 80 *** | ||
| 164 | CoPI-80 | --- | 338 | 540 | 2.92 | --- | 0.62 | 80 *** | ||
| 165 | PI-1 | CPI![]() | 5.33 | 222 | 499 # | 3.88 | 4.0 | --- | --- | [59] |
| 166 | PI-2 | 5.0 | 234 | 504 # | 3.56 | 2.8 | --- | --- | ||
| 167 | PI-3 | 4.95 | 226 | 526 # | 3.56 | 6.3 | --- | --- | ||
| 168 | CPI-1 | 5.13 | 206 | 519 # | 3.3 | 0.38 | --- | --- | ||
| 169 | CPI-2 | 4.99 | 227 | 494 # | 2.94 | 1.3 | --- | --- | ||
| 170 | CPI-3 | 5.08 | 230 | 516 # | 3.28 | 5.6 | --- | --- | ||
| 171 | BPDA-PDA-TFDB-0 | ![]() | --- | 382 | 597 | 3.42 | --- | --- | --- | [96] |
| 172 | BPDA-PDA-TFDB-30 | 0.45, 0.35 | 371 | 584 | 3.38 | --- | --- | --- | ||
| 173 | BPDA-PDA-TFDB-50 | 0.54, 0.38 | 357 | 591 | 3.17 | --- | --- | --- | ||
| 174 | BPDA-PDA-TFDB-70 | 0.58, 0.39 | 356 | 580 | 3.03 | --- | --- | --- | ||
| 175 | BPDA-DA-TFDB-100 | --- | 354 | 585 | 2.96 | --- | --- | --- | ||
| 176 | FAPI-0 | ![]() | 0.67 | 351 | 542 | 2.68 c | 0.59 c | --- | 90 *** | [28] |
| 177 | FAPI-70 | 0.55 | 354 | 564 | 2.93 c | 0.59 c | --- | 88 *** | ||
| 178 | FAPI-80 | 0.54 | 346 | 577 | 3.04 c | 0.47 c | --- | 86 *** | ||
| 179 | FAPI-90 | 0.51 | 348 | 593 | 3.14 c | 0.46 c | --- | 81 *** | ||
| 180 | FAPI-100 | 0.48 | 351 | 597 | 3.25 c | 0.45 c | --- | 81 *** | ||
| 181 | PI-2 | --- | 305 | 453 | 2.84 | 5.9 | 0.93 | --- | [97] | |
| 182 | PIF-5 | --- | 301 | 435 | 2.42 | 0.4 | 1.21 | --- | ||
| 183 | PIF-10 | --- | 300 | 422 | 2.25 | 1.3 | 1.15 | --- | ||
| 184 | PIF-15 | --- | 299 | 413 | 1.88 | 1.1 | 1.20 | --- | ||
| 185 | PIF-20 | --- | 299 | 411 | 1.85 | 1.2 | 0.98 | --- | ||
| 186 | PI-1 | 0.255 | 350 @ | 474 | 3.17 | 0.4 | 1.8 | 83.3 * | [5] | |
| 187 | PI-2 | 0.258 | 332 @ | 474 | 3.11 | 0.7 | 2.3 | 82.5 * | ||
| 188 | PI-3 | 0.258 | 338 @ | 474 | 3.02 | 0.5 | 1.8 | 81.0 * | ||
| 189 | PI-4 | 0.257 | 340 @ | 476 | 2.98 | 0.6 | 2.1 | 80.4 * | ||
| 190 | PI-5 | 0.259 | 344 @ | 475 | 2.96 | 0.6 | 1.9 | 76.7 * | ||
| 191 | PI-6A | --- | 310 @ | 457 | 2.95 | 0.7 | 1.8 | 80.7 * | ||
| 192 | PI- 6B | --- | 293 @ | 441 | 2.79 | 0.6 | 1.6 | 84.9 * | ||
| 193 | PI-6C | --- | 282 @ | 439 | 2.78 | 0.4 | 1.8 | 86.0 * | ||
| 194 | PI-6D | --- | 270 @ | 427 | 2.56 | 0.7 | 2.0 | 87.0 * |
Disclaimer/Publisher’s Note: The statements, opinions and data contained in all publications are solely those of the individual author(s) and contributor(s) and not of MDPI and/or the editor(s). MDPI and/or the editor(s) disclaim responsibility for any injury to people or property resulting from any ideas, methods, instructions or products referred to in the content. |
© 2023 by the authors. Licensee MDPI, Basel, Switzerland. This article is an open access article distributed under the terms and conditions of the Creative Commons Attribution (CC BY) license (https://creativecommons.org/licenses/by/4.0/).
Share and Cite
Nagella, S.R.; Ha, C.-S. Structural Designs of Transparent Polyimide Films with Low Dielectric Properties and Low Water Absorption: A Review. Nanomaterials 2023, 13, 2090. https://doi.org/10.3390/nano13142090
Nagella SR, Ha C-S. Structural Designs of Transparent Polyimide Films with Low Dielectric Properties and Low Water Absorption: A Review. Nanomaterials. 2023; 13(14):2090. https://doi.org/10.3390/nano13142090
Chicago/Turabian StyleNagella, Sivagangi Reddy, and Chang-Sik Ha. 2023. "Structural Designs of Transparent Polyimide Films with Low Dielectric Properties and Low Water Absorption: A Review" Nanomaterials 13, no. 14: 2090. https://doi.org/10.3390/nano13142090
APA StyleNagella, S. R., & Ha, C.-S. (2023). Structural Designs of Transparent Polyimide Films with Low Dielectric Properties and Low Water Absorption: A Review. Nanomaterials, 13(14), 2090. https://doi.org/10.3390/nano13142090







































