Morphology and Dynamics in Hydrated Graphene Oxide/Branched Poly(ethyleneimine) Nanocomposites: An In Silico Investigation
Abstract
1. Introduction
2. Materials and Methods
2.1. Simulated Models
2.2. Simulation Method and Protocol
3. Results and Discussion
3.1. Spatial Arrangement of the Components
3.2. Hydrogen Bonding
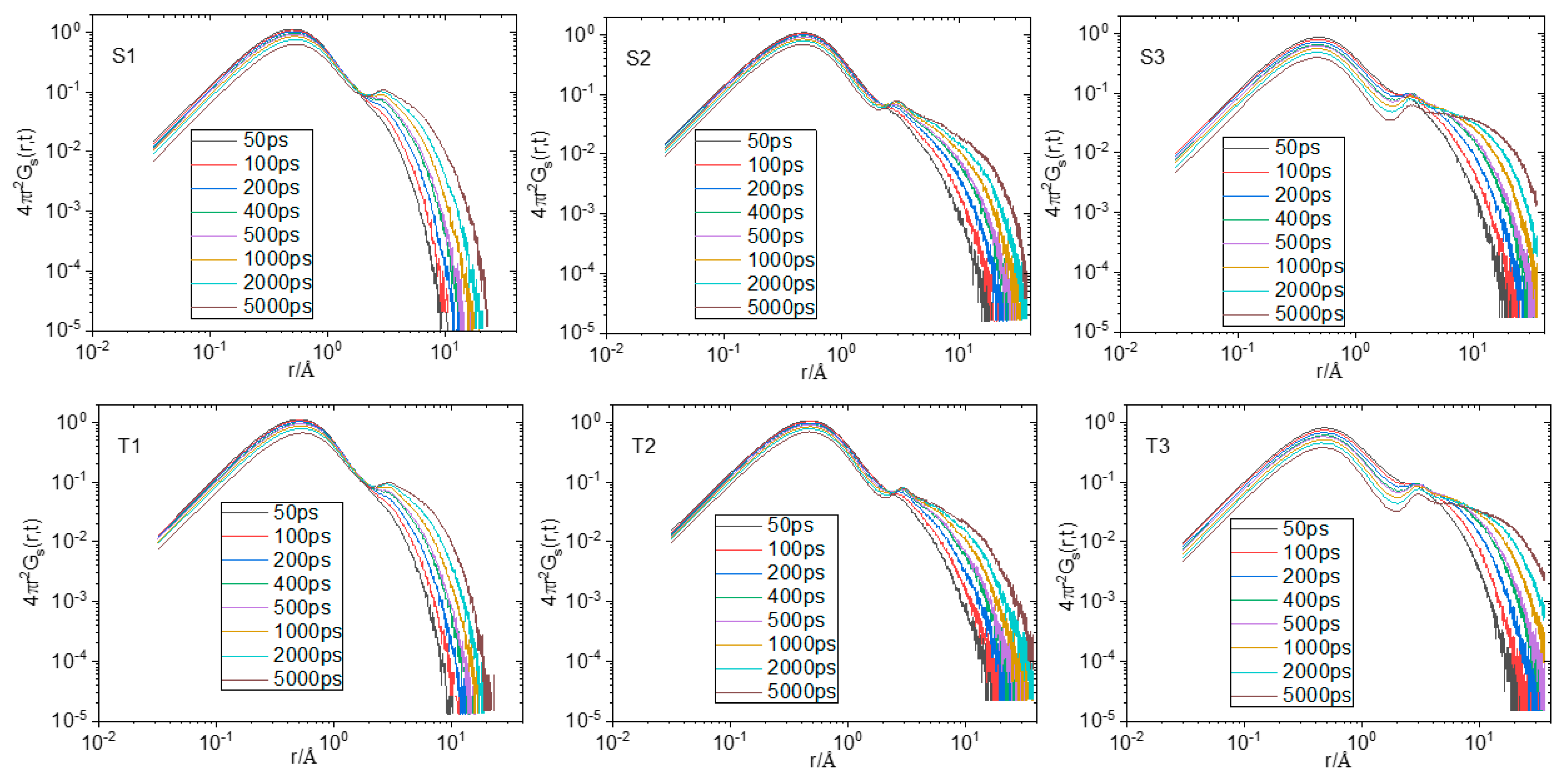
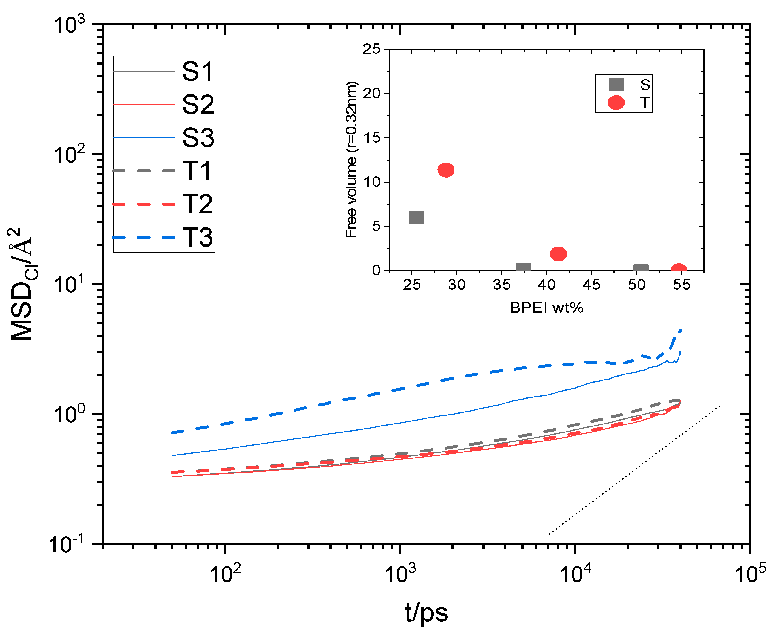
3.3. Water and Ion Transport
4. Conclusions
Supplementary Materials
Author Contributions
Funding
Data Availability Statement
Acknowledgments
Conflicts of Interest
References
- Soler-Illia, G.J.A.A.; Azzaroni, O. Multifunctional hybrids by combining ordered mesoporous materials and macromolecular building blocks. Chem. Soc. Rev. 2011, 40, 1107. [Google Scholar] [CrossRef] [PubMed]
- Sun, J.; Ma, Q.; Xue, D.; Shan, W.; Liu, R.; Dong, B.; Zhang, J.; Wang, Z.; Shao, B. Polymer/inorganic nanohybrids: An attractive materials for analysis and sensing. TrAC Trends Anal. Chem. 2021, 140, 116273. [Google Scholar] [CrossRef]
- Kumar, A.; Sharma, K.; Dixit, A.R. A review of the mechanical and thermal properties of graphene and its hybrid polymer nanocomposites for structural applications. J. Mater. Sci. 2019, 54, 5992–6026. [Google Scholar] [CrossRef]
- Kumar, A.; Sharma, K.; Dixit, A.R. A review on the mechanical and thermal properties of graphene and graphene-based polymer nanocomposites: Understanding of modelling and MD simulation. Mol Simul. 2020, 46, 136–154. [Google Scholar] [CrossRef]
- Wang, Z.; Song, L.; Wang, Y.; Zhang, X.-F.; Yao, J. Construction of a hybrid graphene oxide/nanofibrillated cellulose aerogel used for the efficient removal of methylene blue and tetracycline. J. Phys. Chem. Solids 2021, 150, 109839. [Google Scholar] [CrossRef]
- Kritikos, G.; Karatasos, K. Temperature dependence of dynamic and mechanical properties in poly(acrylic acid)/graphene oxide nanocomposites. Mater. Today Commun. 2017, 13, 359–366. [Google Scholar] [CrossRef]
- Matsuo, Y.; Tahara, K.; Sugie, Y. Structure and thermal properties of poly(ethylene oxide)-intercalated graphite oxide. Carbon 1997, 35, 113–120. [Google Scholar] [CrossRef]
- Chen, P.P.; Wang, Y.; Wei, T.; Meng, Z.; Jia, X.D.; Xi, K. Greatly enhanced mechanical properties and heat distortion resistance of poly(L-lactic acid) upon compositing with functionalized reduced graphene oxide. J. Mater. Chem. A 2013, 1, 9028–9032. [Google Scholar] [CrossRef]
- Sun, M.; Li, J. Graphene oxide membranes: Functional structures, preparation and environmental applications. Nano Today 2018, 20, 121–137. [Google Scholar] [CrossRef]
- Abdou, J.P.; Braggin, G.A.; Luo, Y.; Stevenson, A.R.; Chun, D.; Zhang, S. Graphene-Induced Oriented Interfacial Microstructures in Single Fiber Polymer Composites. ACS Appl. Mater. Interfaces 2015, 7, 13620–13626. [Google Scholar] [CrossRef]
- Chen, J.-T.; Fu, Y.-J.; An, Q.-F.; Lo, S.-C.; Huang, S.-H.; Hung, W.-S.; Hu, C.-C.; Lee, K.-R.; Lai, J.-Y. Tuning nanostructure of graphene oxide/polyelectrolyte LbL assemblies by controlling pH of GO suspension to fabricate transparent and super gas barrier films. Nanoscale 2013, 5, 9081–9088. [Google Scholar] [CrossRef] [PubMed]
- Zou, J.; Kim, F. Diffusion driven layer-by-layer assembly of graphene oxide nanosheets into porous three-dimensional macrostructures. Nat. Commun. 2014, 5, 5254. [Google Scholar] [CrossRef] [PubMed]
- Govindaraj, P.; Sokolova, A.; Salim, N.; Juodkazis, S.; Fuss, F.K.; Fox, B.; Hameed, N. Distribution states of graphene in polymer nanocomposites: A review. Compos. B Eng. 2021, 226, 109353. [Google Scholar] [CrossRef]
- Chee, W.K.; Lim, H.N.; Huang, N.M.; Harrison, I. Nanocomposites of graphene/polymers: A review. RSC Adv. 2015, 5, 68014–68051. [Google Scholar] [CrossRef]
- Díez-Pascual, A.M. Graphene-Based Polymer Nanocomposites: Recent Advances. Polymers 2022, 14, 2102. [Google Scholar] [CrossRef]
- Johnson, D.W.; Dobson, B.P.; Coleman, K.S. A manufacturing perspective on graphene dispersions. Curr. Opin. Colloid Interface 2015, 20, 367–382. [Google Scholar] [CrossRef]
- Li, L.; Zhou, M.; Jin, L.; Mo, Y.; Xu, E.; Chen, H.; Liu, L.; Wang, M.; Chen, X.; Zhu, H. Green Preparation of Aqueous Graphene Dispersion and Study on Its Dispersion Stability. Materials 2020, 13, 4069. [Google Scholar] [CrossRef]
- Wang, M.; Niu, Y.; Zhou, J.; Wen, H.; Zhang, Z.; Luo, D.; Gao, D.; Yang, J.; Liang, D.; Li, Y. The dispersion and aggregation of graphene oxide in aqueous media. Nanoscale 2016, 8, 14587–14592. [Google Scholar] [CrossRef]
- Rissanou, A.N.; Karnis, I.; Krasanakis, F.; Chrissopoulou, K.; Karatasos, K. The Role of Oxidation Pattern and Water Content in the Spatial Arrangement and Dynamics of Oxidized Graphene-Based Aqueous Dispersions. Int. J. Mol. Sci. 2022, 23, 13459. [Google Scholar] [CrossRef]
- David, R.; Tuladhar, A.; Zhang, L.; Arges, C.; Kumar, R. Effect of Oxidation Level on the Interfacial Water at the Graphene Oxide–Water Interface: From Spectroscopic Signatures to Hydrogen-Bonding Environment. J. Phys. Chem. B 2020, 124, 8167–8178. [Google Scholar] [CrossRef]
- Neto, A.J.P.; Chaban, V.V.; Fileti, E.E. Hydration peculiarities of graphene oxides with multiple oxidation degrees. Phys. Chem. Chem. Phys. 2017, 19, 32333–32340. [Google Scholar] [CrossRef] [PubMed]
- Martinez Jimenez, M.J.; Avila, A.; de Barros, A.; Lopez, E.O.; Alvarez, F.; Riul, A.; Perez-Taborda, J.A. Polyethyleneimine-Functionalized Carbon Nanotube/Graphene Oxide Composite: A Novel Sensing Platform for Pb(II) Acetate in Aqueous Solution. ACS Omega 2021, 6, 18190–18199. [Google Scholar] [CrossRef] [PubMed]
- Tanis, I.; Kostarellou, E.; Karatasos, K. Molecular dynamics simulations of hyperbranched poly(ethylene imine)-graphene oxide nanocomposites as dye adsorbents for water purification. Phys. Chem. Chem. Phys. 2021, 23, 22874–22884. [Google Scholar] [CrossRef]
- Georgakilas, V.; Otyepka, M.; Bourlinos, A.B.; Chandra, V.; Kim, N.; Kemp, K.C.; Hobza, P.; Zboril, R.; Kim, K.S. Functionalization of Graphene: Covalent and Non-Covalent Approaches, Derivatives and Applications. Chem. Rev. 2012, 112, 6156–6214. [Google Scholar] [CrossRef] [PubMed]
- Jiang, T.; Maddalena, L.; Gomez, J.; Carosio, F.; Fina, A. Polyelectrolytes Enabled Reduced Graphite Oxide Water Dispersions: Effects of the Structure, Molecular Weight, and Charge Density. Polymers 2022, 14, 4165. [Google Scholar] [CrossRef] [PubMed]
- Sham, A.Y.W.; Notley, S.M. Graphene-polyelectrolyte multilayer film formation driven by hydrogen bonding. J. Colloid Interface Sci. 2015, 456, 32–41. [Google Scholar] [CrossRef] [PubMed]
- Karatasos, K.; Kritikos, G. A microscopic view of graphene-oxide/poly(acrylic acid) physical hydrogels: Effects of polymer charge and graphene oxide loading. Soft Matter 2018, 14, 614–627. [Google Scholar] [CrossRef]
- Steiakakis, K.; Karatasos, K. Molecular Dynamics Simulations of Hydrated Poly(amidoamine) Dendrimer/Graphene Oxide Nanocomposite Membranes. J. Phys. Chem. C 2020, 124, 9512–9522. [Google Scholar] [CrossRef]
- Song, Y.; Li, R.; Pan, F.; He, Z.; Yang, H.; Li, Y.; Yang, L.; Wang, M.; Wang, H.; Jiang, Z. Ultrapermeable graphene oxide membranes with tunable interlayer distances via vein-like supramolecular dendrimers. J. Mater. Chem. A 2019, 7, 18642–18652. [Google Scholar] [CrossRef]
- Gheybi, H.; Sattari, S.; Soleimani, K.; Adeli, M. Graphene-dendritic polymer hybrids: Synthesis, properties, and applications. J. Iran. Chem. Soc. 2020, 17, 735–764. [Google Scholar] [CrossRef]
- Yu, Y.; De Andrade, L.C.X.; Fang, L.M.; Ma, J.; Zhang, W.J.; Tang, Y.H. Graphene oxide and hyperbranched polymer-toughened hydrogels with improved absorption properties and durability. J. Mater. Sci. 2015, 50, 3457–3466. [Google Scholar] [CrossRef]
- Cai, N.; Hou, D.; Shen, L.; Luo, X.; Xue, Y.; Yu, F. Functionalization of graphene with hyperbranched polyglycerol for stable aqueous dispersion. Funct. Mater. Lett. 2015, 8, 1550068. [Google Scholar] [CrossRef]
- Yang, Z.; Liu, Y.; Xue, K.; Fu, P.; Du, F.; Zhang, Y. PEI-GOs/PVA photothermal sponge with enhanced interfacial solar steam generation and seawater desalination. Mater. Today Commun. 2023, 35, 106195. [Google Scholar] [CrossRef]
- Lee, J.; Kim, J.; Seo, B.; Shin, D.; Hwang, S.; Choi, W. Layer-by-layer solution-processed two-dimensional graphene oxide–polyethylenimine thin-film coatings for enhanced pool boiling heat transfer. Int. J. Heat Mass Transf. 2023, 209, 124067. [Google Scholar] [CrossRef]
- Tsoufis, T.; Katsaros, F.; Sideratou, Z.; Kooi, B.J.; Karakassides, M.A.; Siozios, A. Intercalation Study of Low-Molecular-Weight Hyperbranched Polyethyleneimine into Graphite Oxide. Chem. Eur. J. 2014, 20, 8129–8137. [Google Scholar] [CrossRef]
- Kuang, Y.; Zhang, Z.; Wu, D. Synthesis of graphene oxide/polyethyleneimine sponge and its performance in the sustainable removal of Cu(II) from water. Sci. Total Environ. 2022, 806, 151258. [Google Scholar] [CrossRef] [PubMed]
- Wang, W.; Zhao, X.; Ye, L. Self-Assembled Construction of Robust and Super Elastic Graphene Aerogel for High-Efficient Formaldehyde Removal and Multifunctional Application. Small 2023, 19, 2300234. [Google Scholar] [CrossRef]
- Teimouri, M.; Nia, A.H.; Abnous, K.; Eshghi, H.; Ramezani, M. Graphene oxide-cationic polymer conjugates: Synthesis and application as gene delivery vectors. Plasmid 2016, 84–85, 51–60. [Google Scholar] [CrossRef] [PubMed]
- Konkena, B.; Vasudevan, S. Understanding Aqueous Dispersibility of Graphene Oxide and Reduced Graphene Oxide through pKa Measurements. J. Phys. Chem. Lett. 2012, 3, 867–872. [Google Scholar] [CrossRef]
- Yunessnia lehi, A.; Akbari, A. A Novel Nanofiltration Membrane Prepared with PAMAM and Graphene oxide for Desalination. J. Nanostruct. 2017, 7, 331–337. [Google Scholar] [CrossRef]
- Rafi, M.; Samiey, B.; Cheng, C.-H. Study of Adsorption Mechanism of Congo Red on Graphene Oxide/PAMAM Nanocomposite. Materials 2018, 11, 496. [Google Scholar] [CrossRef] [PubMed]
- Zhao, Q.; Zhu, X.; Chen, B. Stable graphene oxide/poly(ethyleneimine) 3D aerogel with tunable surface charge for high performance selective removal of ionic dyes from water. Chem. Eng. J. 2018, 334, 1119–1127. [Google Scholar] [CrossRef]
- Luan, Y.-G.; Zhang, X.-A.; Jiang, S.-L.; Chen, J.-H.; Lyu, Y.-F. Self-healing Supramolecular Polymer Composites by Hydrogen Bonding Interactions between Hyperbranched Polymer and Graphene Oxide. Chin. J. Polym. Sci. 2018, 36, 584–591. [Google Scholar] [CrossRef]
- Chen, Y.; Wang, Y.; Su, T.; Chen, J.; Zhang, C.; Lai, X.; Jiang, D.; Wu, Z.; Sun, C.; Li, B.; et al. Self-Healing Polymer Composites Based on Hydrogen Bond Reinforced with Graphene Oxide. ES Mater. Manuf. 2019, 4, 31–37. [Google Scholar] [CrossRef]
- Pakulski, D.; Czepa, W.; Witomska, S.; Aliprandi, A.; Pawluć, P.; Patroniak, V.; Ciesielski, A.; Samorì, P. Graphene oxide-branched polyethylenimine foams for efficient removal of toxic cations from water. J. Mater. Chem. A 2018, 6, 9384–9390. [Google Scholar] [CrossRef]
- Bessa, A.; Henriques, B.; Gonçalves, G.; Irurueta, G.; Pereira, E.; Marques, P.A.A.P. Graphene oxide/polyethyleneimine aerogel for high-performance mercury sorption from natural waters. Chem. Eng. J. 2020, 398, 125587. [Google Scholar] [CrossRef]
- Cao, Y.C.; Xu, C.X.; Wu, X.; Wang, X.; Xing, L.; Scott, K. A poly (ethylene oxide)/graphene oxide electrolyte membrane for low temperature polymer fuel cells. J. Power Sources 2011, 196, 8377–8382. [Google Scholar] [CrossRef]
- Wang, P.; Jia, Y.X.; Yan, R.; Wang, M. Graphene oxide proton permselective membrane for electrodialysis-based waste acid reclamation: Simulation and validation. J. Memb. Sci. 2021, 640, 119853. [Google Scholar] [CrossRef]
- Lu, J.-J.; Gu, Y.-H.; Chen, Y.; Yan, X.; Guo, Y.-J.; Lang, W.-Z. Ultrahigh permeability of graphene-based membranes by adjusting D-spacing with poly (ethylene imine) for the separation of dye wastewater. Sep. Purif. Technol. 2019, 210, 737–745. [Google Scholar] [CrossRef]
- Shau, S.M.; Juang, T.Y.; Lin, H.S.; Huang, C.L.; Hsieh, C.F.; Wu, J.Y.; Jeng, R.J. Individual graphene oxide platelets through direct molecular exfoliation with globular amphiphilic hyperbranched polymers. Polym. Chem. 2012, 3, 1249–1259. [Google Scholar] [CrossRef]
- Ren, T.; Li, L.; Cai, X.; Dong, H.; Liu, S.; Li, Y. Engineered polyethylenimine/graphene oxide nanocomposite for nuclear localized gene delivery. Polym. Chem. 2012, 3, 2561–2569. [Google Scholar] [CrossRef]
- Chen, L.; Li, Z.; Wu, G.; Wang, Y.; Wang, T.; Ma, Y.; Fei, B. Ultra-strong polyethyleneimine-graphene oxide nanocomposite film via synergistic interactions and its use for humidity sensing. Ompos. Part A Appl. Sci. Manuf. 2018, 115, 341–347. [Google Scholar] [CrossRef]
- Sui, Z.-Y.; Cui, Y.; Zhu, J.-H.; Han, B.-H. Preparation of Three-Dimensional Graphene Oxide–Polyethylenimine Porous Materials as Dye and Gas Adsorbents. ACS Appl. Mater. Interfaces 2013, 5, 9172–9179. [Google Scholar] [CrossRef] [PubMed]
- Li, B.; Wang, C.-G.; Surat’man, N.E.; Loh, X.J.; Li, Z. Microscopically tuning the graphene oxide framework for membrane separations: A review. Nanoscale Adv. 2021, 3, 5265–5276. [Google Scholar] [CrossRef] [PubMed]
- Li, D.; Muller, M.B.; Gilje, S.; Kaner, R.B.; Wallace, G.G. Processable aqueous dispersions of graphene nanosheets. Nat. Nanotechnol. 2008, 3, 101–105. [Google Scholar] [CrossRef]
- Huang, H.; Ying, Y.; Peng, X. Graphene oxide nanosheet: An emerging star material for novel separation membranes. J. Mater. Chem. A 2014, 2, 13772–13782. [Google Scholar] [CrossRef]
- Lerf, A.; He, H.; Forster, M.; Klinowski, J. Structure of Graphite Oxide Revisited. J. Phys. Chem. B 1998, 102, 4477–4482. [Google Scholar] [CrossRef]
- Shih, C.J.; Lin, S.C.; Sharma, R.; Strano, M.S.; Blankschtein, D. Understanding the pH-Dependent Behavior of Graphene Oxide Aqueous Solutions: A Comparative Experimental and Molecular Dynamics Simulation Study. Langmuir 2012, 28, 235–241. [Google Scholar] [CrossRef]
- Sideratou, Z.; Agathokleous, M.; Theodossiou, T.A.; Tsiourvas, D. Functionalized Hyperbranched Polyethylenimines as Thermosensitive Drug Delivery Nanocarriers with Controlled Transition Temperatures. Biomacromolecules 2018, 19, 315–328. [Google Scholar] [CrossRef]
- Compton, O.C.; Cranford, S.W.; Putz, K.W.; An, Z.; Brinson, L.C.; Buehler, M.J.; Nguyen, S.T. Tuning the Mechanical Properties of Graphene Oxide Paper and Its Associated Polymer Nanocomposites by Controlling Cooperative Intersheet Hydrogen Bonding. ACS Nano 2012, 6, 2008–2019. [Google Scholar] [CrossRef]
- Abraham, M.J.; Murtola, T.; Schulz, R.; Páll, S.; Smith, J.C.; Hess, B.; Lindahl, E. GROMACS: High performance molecular simulations through multi-level parallelism from laptops to supercomputers. SoftwareX 2015, 1, 19–25. [Google Scholar] [CrossRef]
- Jorgensen, W.L.; Maxwell, D.S.; TiradoRives, J. Development and testing of the OPLS all-atom force field on conformational energetics and properties of organic liquids. J. Am. Chem. Soc. 1996, 118, 11225–11236. [Google Scholar] [CrossRef]
- Jorgensen, W.L.; Chandrasekhar, J.; Madura, J.D.; Impey, R.W.; Klein, M.L. Comparison of simple potential functions for simulating liquid water. J. Chem. Phys. 1983, 79, 926–935. [Google Scholar] [CrossRef]
- Giri, A.K.; Teixeira, F.; Cordeiro, M.N.D.S. Salt separation from water using graphene oxide nanochannels: A molecular dynamics simulation study. Desalination 2019, 460, 1–14. [Google Scholar] [CrossRef]
- Tang, H.; Zhao, Y.; Yang, X.N.; Liu, D.M.; Shan, S.J.; Cui, F.Y.; Xing, B.S. Understanding the pH-dependent adsorption of ionizable compounds on graphene oxide using molecular dynamics simulations. Environ. Sci. Nano 2017, 4, 1935–1943. [Google Scholar] [CrossRef]
- Lin, E.; You, X.; Kriegel, R.M.; Moffitt, R.D.; Batra, R.C. Binding affinity between small molecules in solvent and polymer film using molecular dynamics simulations. Colloids Surf. A Physicochem. Eng. Asp. 2017, 522, 152–160. [Google Scholar] [CrossRef]
- Darden, T.; Perera, L.; Li, L.; Pedersen, L. New tricks for modelers from the crystallography toolkit: The particle mesh Ewald algorithm and its use in nucleic acid simulations. Structure 1999, 7, R55–R60. [Google Scholar] [CrossRef]
- Nosé, S. A molecular dynamics method for simulations in the canonical ensemble. Mol. Phys. 1984, 52, 255–268. [Google Scholar] [CrossRef]
- Parrinello, M.; Rahman, A. Polymorphic transitions in single crystals: A new molecular dynamics method. J. Appl. Phys. 1981, 52, 7182–7190. [Google Scholar] [CrossRef]
- Hess, B.; Bekker, H.; Berendsen, H.J.C.; Fraaije, J.G.E.M. LINCS: A linear constraint solver for molecular simulations. J. Comput. Chem. 1997, 18, 1463–1472. [Google Scholar] [CrossRef]
- Hansen, J.-P.; McDonald, I.R. Molecular Liquids; Elsevier: Amsterdam, The Netherlands, 2013; pp. 455–510. [Google Scholar]
- Humphrey, W.; Dalke, A.; Schulten, K. VMD—Visual Molecular Dynamics. J. Mol. Graph. 1996, 14, 33–38. [Google Scholar] [CrossRef] [PubMed]
- Luzar, A.; Chandler, D. Hydrogen-bond kinetics in liquid water. Nature 1996, 379, 55–57. [Google Scholar] [CrossRef]
- Li, A.-J.; Nussinov, R. A set of van der Waals and coulombic radii of protein atoms for molecular and solvent-accessible surface calculation, packing evaluation, and docking. Proteins Struct. Funct. Bioinform. 1998, 32, 111–127. [Google Scholar] [CrossRef]
- Eisenhaber, F.; Lijnzaad, P.; Argos, P.; Sander, C.; Scharf, M. The double cubic lattice method: Efficient approaches to numerical integration of surface area and volume and to dot surface contouring of molecular assemblies. J. Comput. Chem. 1995, 16, 273–284. [Google Scholar] [CrossRef]
- Devanathan, R.; Chase-Woods, D.; Shin, Y.; Gotthold, D.W. Molecular Dynamics Simulations Reveal that Water Diffusion between Graphene Oxide Layers is Slow. Sci. Rep. 2016, 6, 29484. [Google Scholar] [CrossRef] [PubMed]
- Li, W.; Zhang, L.; Zhang, X.; Zhang, M.; Liu, T.; Chen, S. Atomic insight into water and ion transport in 2D interlayer nanochannels of graphene oxide membranes: Implication for desalination. J. Memb. Sci. 2020, 596, 117744. [Google Scholar] [CrossRef]
- Xu, J.; Du, P.; Bi, W.; Yao, G.; Li, S.; Liu, H. Graphene oxide aerogels co-functionalized with polydopamine and polyethylenimine for the adsorption of anionic dyes and organic solvents. Chem. Eng. Res. Des. 2020, 154, 192–202. [Google Scholar] [CrossRef]
- Buchsteiner, A.; Lerf, A.; Pieper, J. Water Dynamics in Graphite Oxide Investigated with Neutron Scattering. J. Phys. Chem. B 2006, 110, 22328–22338. [Google Scholar] [CrossRef]
- Dai, H.; Xu, Z.; Yang, X. Water Permeation and Ion Rejection in Layer-by-Layer Stacked Graphene Oxide Nanochannels: A Molecular Dynamics Simulation. J. Phys. Chem. C 2016, 120, 22585–22596. [Google Scholar] [CrossRef]
- Pan, J.; Xiao, S.; Zhang, Z.; Wei, N.; He, J.; Zhao, J. Nanoconfined Water Dynamics in Multilayer Graphene Nanopores. J. Phys. Chem. C 2020, 124, 17819–17828. [Google Scholar] [CrossRef]
- Lourenço, T.C.; Coelho, M.F.C.; Ramalho, T.C.; van der Spoel, D.; Costa, L.T. Insights on the Solubility of CO2 in 1-Ethyl-3-methylimidazolium Bis(trifluoromethylsulfonyl)imide from the Microscopic Point of Viewof View. Environ. Sci. Amp; Technol. 2013, 47, 7421–7429. [Google Scholar] [CrossRef] [PubMed]
- Yang, K.-L.; Yiacoumi, S.; Tsouris, C. Monte Carlo simulations of electrical double-layer formation in nanopores. J. Chem. Phys. 2002, 117, 8499–8507. [Google Scholar] [CrossRef]
- Arshad, F.; Selvaraj, M.; Zain, J.; Banat, F.; Haija, M.A. Polyethylenimine modified graphene oxide hydrogel composite as an efficient adsorbent for heavy metal ions. Sep. Purif. Technol. 2019, 209, 870–880. [Google Scholar] [CrossRef]
- Jijie, R.; Kahlouche, K.; Barras, A.; Yamakawa, N.; Bouckaert, J.; Gharbi, T.; Szunerits, S.; Boukherroub, R. Reduced graphene oxide/polyethylenimine based immunosensor for the selective and sensitive electrochemical detection of uropathogenic Escherichia coli. Sens. Actuators B Chem. 2018, 260, 255–263. [Google Scholar] [CrossRef]
- Shen, J.; Liu, G.; Huang, K.; Chu, Z.; Jin, W.; Xu, N. Subnanometer Two-Dimensional Graphene Oxide Channels for Ultrafast Gas Sieving. ACS Nano 2016, 10, 3398–3409. [Google Scholar] [CrossRef]
- Pierleoni, D.; Minelli, M.; Ligi, S.; Christian, M.; Funke, S.; Reineking, N.; Morandi, V.; Doghieri, F.; Palermo, V. Selective Gas Permeation in Graphene Oxide–Polymer Self-Assembled Multilayers. ACS Appl. Mater. Interfaces 2018, 10, 11242–11250. [Google Scholar] [CrossRef]
- Zhang, M.; Guan, K.; Ji, Y.; Liu, G.; Jin, W.; Xu, N. Controllable ion transport by surface-charged graphene oxide membrane. Nat. Commun. 2019, 10, 1253. [Google Scholar] [CrossRef]
- Fei, W.; Xue, M.; Qiu, H.; Guo, W. Heterogeneous graphene oxide membrane for rectified ion transport. Nanoscale 2019, 11, 1313–1318. [Google Scholar] [CrossRef]














| System | Number of BPEI Molecules | Number of GO Flakes | Number of Water Molecules | Number of Cl− Counterions | wt% in PEI | wt% in GO | Total Number of Atoms | Average Box Size (nm) |
|---|---|---|---|---|---|---|---|---|
| S1 | 300 | 10 | 1877 | 1840 | 50 | 23 | 51,391 | 7.9 |
| S2 | 198 | 18 | 1240 | 918 | 37 | 46 | 42,550 | 7.5 |
| S3 | 100 | 18 | 1241 | 232 | 25 | 62 | 28,891 | 7.0 |
| T1 | 100 | 10 | 1500 | 1140 | 55 | 25 | 48,160 | 7.6 |
| T2 | 72 | 18 | 900 | 540 | 41 | 48 | 41,436 | 7.6 |
| T3 | 38 | 17 | 1385 | 90 | 29 | 60 | 29,669 | 7.2 |
| 2nd Generation | |||
|---|---|---|---|
| Systems | S1 | S2 | S3 |
| vdW (kJ/mol) | −13,699.3 ± 222.7 | −15,546.5 ± 264.2 | −8273.7 ± 252.9 |
| Coulomb (kJ/mol) | −109,939.4 ± 436.0 | −186,883.2 ± 501.0 | −163,141.1 ± 509.0 |
| Total (kJ/mol) | −123,638.7 ± 658.7 | −202,429.7 ± 765.2 | −171,414.8 ± 761.9 |
| 3rd Generation | |||
| Systems | T1 | T2 | T3 |
| vdW (kJ/mol) | −16,314.0 ± 215.8 | −19,814.6 ± 289.9 | −12,409.8 ± 245.1 |
| Coulomb (kJ/mol) | −104,374.0 ± 403.1 | −179,628 ± 502.6 | −143,286.0 ± 500.7 |
| Total (kJ/mol) | −120,688 ± 618.9 | −199,442.6 ± 792.5 | −155,695.8 ± 745.8 |
Disclaimer/Publisher’s Note: The statements, opinions and data contained in all publications are solely those of the individual author(s) and contributor(s) and not of MDPI and/or the editor(s). MDPI and/or the editor(s) disclaim responsibility for any injury to people or property resulting from any ideas, methods, instructions or products referred to in the content. |
© 2023 by the authors. Licensee MDPI, Basel, Switzerland. This article is an open access article distributed under the terms and conditions of the Creative Commons Attribution (CC BY) license (https://creativecommons.org/licenses/by/4.0/).
Share and Cite
Rissanou, A.; Konstantinou, A.; Karatasos, K. Morphology and Dynamics in Hydrated Graphene Oxide/Branched Poly(ethyleneimine) Nanocomposites: An In Silico Investigation. Nanomaterials 2023, 13, 1865. https://doi.org/10.3390/nano13121865
Rissanou A, Konstantinou A, Karatasos K. Morphology and Dynamics in Hydrated Graphene Oxide/Branched Poly(ethyleneimine) Nanocomposites: An In Silico Investigation. Nanomaterials. 2023; 13(12):1865. https://doi.org/10.3390/nano13121865
Chicago/Turabian StyleRissanou, Anastassia, Apostolos Konstantinou, and Kostas Karatasos. 2023. "Morphology and Dynamics in Hydrated Graphene Oxide/Branched Poly(ethyleneimine) Nanocomposites: An In Silico Investigation" Nanomaterials 13, no. 12: 1865. https://doi.org/10.3390/nano13121865
APA StyleRissanou, A., Konstantinou, A., & Karatasos, K. (2023). Morphology and Dynamics in Hydrated Graphene Oxide/Branched Poly(ethyleneimine) Nanocomposites: An In Silico Investigation. Nanomaterials, 13(12), 1865. https://doi.org/10.3390/nano13121865

