Electrochemical Detection of Olivetol Based on Poly(L-Serine) Film Layered Copper Oxide Modified Carbon Paste Electrode (p-L-Serine/CuO/CPE)
Abstract
1. Introduction
2. Materials and Methods
2.1. Reagents
2.2. Synthesis of Copper Oxide (CuO) Nanoparticles
2.3. Preparation of Carbon Paste Electrode (CPE)
2.4. Preparation of Modified CPE
2.5. Electrochemical Measurement
3. Results and Discussion
3.1. Characterization of CuO
3.2. Electropolymerization of L-Serine on the CuO/CPE
3.3. Electrochemical Characterization of the p-L-Serine/CuO/CPE
3.4. Effect of pH
3.5. Effect of Scan Rate
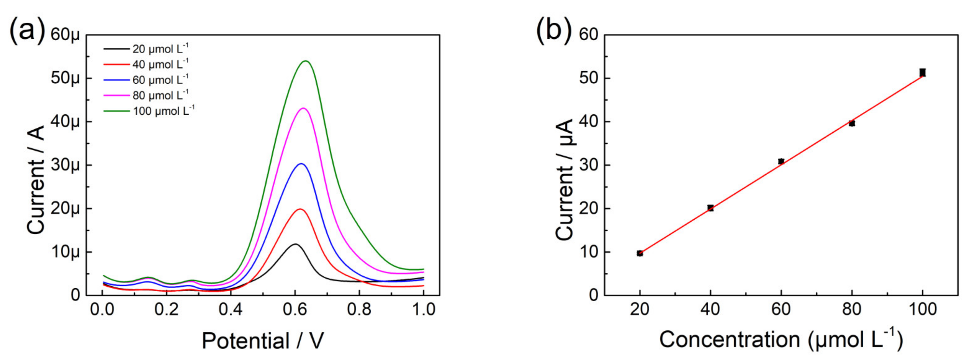
3.6. Analytical Performance of p-L-Serine/CuO/CPE
3.7. Reproducibility, Repeatability, Stability, and Interference Study
4. Conclusions
Supplementary Materials
Author Contributions
Funding
Data Availability Statement
Acknowledgments
Conflicts of Interest
References
- Taslimi, P.; Gulçin, İ. Antioxidant and anticholinergic properties of olivetol. J. Food Biochem. 2018, 42, e12516. [Google Scholar] [CrossRef]
- Koksal, Z.; Kalin, R.; Kalin, P.; Karaman, M.; Gulcin, İ.; Ozdemir, H. Lactoperoxidase inhibition of some natural phenolic compounds: Kinetics and molecular docking studies. J. Food Biochem. 2020, 44, e13132. [Google Scholar] [CrossRef] [PubMed]
- Raharjo, T.J.; Chang, W.-T.; Choi, Y.H.; Peltenburg-Looman, A.M.G.; Verpoorte, R. Olivetol as product of a polyketide synthase in Cannabis sativa L. Plant Sci. 2004, 166, 381–385. [Google Scholar] [CrossRef]
- Hladyszowski, J.; Zubik, L.; Kozubek, A. Quantum Mechanical and Experimental Oxidation Studies of Pentadecylresorcinol, Olivetol, Orcinol and Resorcinol. Free Radic. Res. 1998, 28, 359–368. [Google Scholar] [CrossRef] [PubMed]
- Baek, S.H.; Kim, Y.O.; Kwag, J.S.; Choi, K.E.; Jung, W.Y.; Han, D.S. Boron trifluoride etherate on silica-A modified lewis acid reagent (VII). Antitumor activity of cannabigerol against human oral epitheloid carcinoma cells. Arch. Pharm. Res. 1998, 21, 353–356. [Google Scholar] [CrossRef]
- Mullin, W.J.; Emery, J.P.H. Determination of alkylresorcinols in cereal-based foods. J. Agric. Food Chem. 1992, 40, 2127–2130. [Google Scholar] [CrossRef]
- Landberg, R.; Andersson, A.A.M.; Åman, P.; Kamal-Eldin, A. Comparison of GC and colorimetry for the determination of alkylresorcinol homologues in cereal grains and products. Food Chem. 2009, 113, 1363–1369. [Google Scholar] [CrossRef]
- Kumar, M.; Kumara Swamy, B.E.; Hu, B.; Wang, M.; Yasin, G.; Liang, B.; Madhuchandra, H.D.; Zhao, W. Electrochemical activation of copper oxide decorated graphene oxide modified carbon paste electrode surface for the simultaneous determination of hazardous Di-hydroxybenzene isomers. Microchem. J. 2021, 168, 106503. [Google Scholar] [CrossRef]
- Dong, X.; Zhang, C.; Du, X.; Zhang, Z. Recent Advances of Nanomaterials-Based Molecularly Imprinted Electrochemical Sensors. Nanomaterials 2022, 12, 1913. [Google Scholar] [CrossRef]
- Ma, N.; Luo, X.; Wu, W.; Liu, J. Fabrication of a Disposable Electrochemical Immunosensor Based on Nanochannel Array Modified Electrodes and Gated Electrochemical Signals for Sensitive Determination of C-Reactive Protein. Nanomaterials 2022, 12, 3981. [Google Scholar] [CrossRef]
- Zhang, Y.; You, Z.; Hou, C.; Liu, L.; Xiao, A. An Electrochemical Sensor Based on Amino Magnetic Nanoparticle-Decorated Graphene for Detection of Cannabidiol. Nanomaterials 2021, 11, 2227. [Google Scholar] [CrossRef]
- Chikere, C.O.; Faisal, N.H.; Kong-Thoo-Lin, P.; Fernandez, C. Interaction between Amorphous Zirconia Nanoparticles and Graphite: Electrochemical Applications for Gallic Acid Sensing Using Carbon Paste Electrodes in Wine. Nanomaterials 2020, 10, 537. [Google Scholar] [CrossRef]
- Arabali, V.; Malekmohammadi, S.; Karimi, F. Surface amplification of pencil graphite electrode using CuO nanoparticle/polypyrrole nanocomposite; a powerful electrochemical strategy for determination of tramadol. Microchem. J. 2020, 158, 105179. [Google Scholar] [CrossRef]
- Harisha, K.V.; Kumara Swamy, B.E.; Ebenso, E.E. Poly (glycine) modified carbon paste electrode for simultaneous determination of catechol and hydroquinone: A voltammetric study. J. Electroanal. Chem. 2018, 823, 730–736. [Google Scholar] [CrossRef]
- Gamal, A.; Shaban, M.; BinSabt, M.; Moussa, M.; Ahmed, A.M.; Rabia, M.; Hamdy, H. Facile Fabrication of Polyaniline/Pbs Nanocomposite for High-Performance Supercapacitor Application. Nanomaterials 2022, 12, 817. [Google Scholar] [CrossRef]
- Celiesiute, R.; Ramanaviciene, A.; Gicevicius, M.; Ramanavicius, A. Electrochromic Sensors Based on Conducting Polymers, Metal Oxides, and Coordination Complexes. Crit. Rev. Anal. Chem. 2019, 49, 195–208. [Google Scholar] [CrossRef]
- Ziyatdinova, G.; Guss, E.; Yakupova, E. Electrochemical Sensors Based on the Electropolymerized Natural Phenolic Antioxidants and Their Analytical Application. Sensors 2021, 21, 8385. [Google Scholar] [CrossRef]
- Hung, C.-M.; Huang, C.P.; Chen, S.-K.; Chen, C.-W.; Dong, C.-D. Electrochemical analysis of naproxen in water using poly(l-serine)-modified glassy carbon electrode. Chemosphere 2020, 254, 126686. [Google Scholar] [CrossRef]
- Harshitha, B.T.; Manjunatha, J.G.; Pushpanjali, P.A.; Karthik, C.S.; Sandeep, S.; Mallu, P.; D’Souza, E.; Sreeharsha, N.; Asdaq, S.M.B.; Anwer, M.K. Efficient Electrochemical Determination of Catechol with Hydroquinone at Poly (L-Serine) Layered Carbon Paste Electrode. Chem. Select 2021, 6, 6764–6772. [Google Scholar] [CrossRef]
- Narayana, P.V.; Madhusudana Reddy, T.; Gopal, P.; Mohan Reddy, M.; Ramakrishna Naidu, G. Electrocatalytic boost up of epinephrine and its simultaneous resolution in the presence of serotonin and folic acid at poly(serine)/multi-walled carbon nanotubes composite modified electrode: A voltammetric study. Mater. Sci. Eng. C 2015, 56, 57–65. [Google Scholar] [CrossRef]
- Zhou, C.; Liu, J.; Zhuo, W.W. Electrochemical detection of Gonadotropin-releasing hormone agonists for uterine fibroids based on Poly(L-Serine)/Ag NPs/GO nanocomposite modified glassy carbon electrode. Int. J. Electrochem. Sci. 2022, 17, 2. [Google Scholar] [CrossRef]
- Koçak, S.; Altın, A.; Koçak, Ç.C. Electrochemical Determination of Hydrazine at Gold and Platinum Nanoparticles Modified Poly(L-Serine) Glassy Carbon Electrodes. Anal. Lett. 2016, 49, 1015–1031. [Google Scholar] [CrossRef]
- Naderi, P.; Jalali, F. Poly-L-serine/AuNPs/MWCNTs as a Platform for Sensitive Voltammetric Determination of Progesterone. J. Electrochem. Soc. 2020, 167, 027524. [Google Scholar] [CrossRef]
- Hung, C.-M.; Huang, C.-P.; Chen, C.-W.; Dong, C.-D. A poly-(L-serine)/reduced graphene oxide–Nafion supported on glassy carbon (PLS/rGO−Nafion/GCE) electrode for the detection of naproxen in aqueous solutions. Environ. Sci. Pollut. Res. 2022, 29, 12450–12461. [Google Scholar] [CrossRef]
- Chen, T.-S.; Huang, K.-L.; Chen, J.-L. An Electrochemical Approach to Simultaneous Determination of Acetaminophen and Ofloxacin. Bull. Environ. Contam. Toxicol. 2012, 89, 1284–1288. [Google Scholar] [CrossRef] [PubMed]
- Afzali, M.; Mostafavi, A.; Shamspur, T. Square wave voltammetric determination of anticancer drug flutamide using carbon paste electrode modified by CuO/GO/PANI nanocomposite. Arab. J. Chem. 2020, 13, 3255–3265. [Google Scholar] [CrossRef]
- Ghalkhani, M.; Gharagozlou, M.; Sohouli, E.; Marzi Khosrowshahi, E. Preparation of an electrochemical sensor based on a HKUST-1/CoFe2O4/SiO2-modified carbon paste electrode for determination of azaperone. Microchem. J. 2022, 175, 107199. [Google Scholar] [CrossRef]
- Reddy, S.; Kumara Swamy, B.E.; Jayadevappa, H. CuO nanoparticle sensor for the electrochemical determination of dopamine. Electrochim. Acta 2012, 61, 78–86. [Google Scholar] [CrossRef]
- KS, S.; B, M.; N, K.S. Fabrication of copper oxide nanoparticles modified carbon paste electrode and its application in simultaneous electroanalysis of guanine, adenine and thymine. Sens. Actuators A 2018, 280, 277–286. [Google Scholar] [CrossRef]
- Antoniazzi, C.; de Lima, C.A.; Marangoni, R.; Spinelli, A.; de Castro, E.G. Voltammetric determination of 17β-estradiol in human urine and buttermilk samples using a simple copper(II) oxide-modified carbon paste electrode. J. Solid State Electrochem. 2018, 22, 1373–1383. [Google Scholar] [CrossRef]
- Rahbar, N.; Ramezani, Z.; Ghanavati, J. CuO-nanoparticles modified carbon paste electrode for square wave voltammetric determination of lidocaine: Comparing classical and Box–Behnken optimization methodologies. Chin. Chem. Lett. 2016, 27, 837–842. [Google Scholar] [CrossRef]
- Mohamed, M.A.; Abdelwahab, N.S.; Banks, C.E. Electroanalytical sensing of the antimicrobial drug linezolid utilising an electrochemical sensing platform based upon a multiwalled carbon nanotubes/bromocresol green modified carbon paste electrode. Anal. Methods 2016, 8, 4345–4353. [Google Scholar] [CrossRef]
- Chetankumar, K.; Kumara Swamy, B.E.; Sharma, S.C.; Hariprasad, S.A. An efficient electrochemical sensing of hazardous catechol and hydroquinone at direct green 6 decorated carbon paste electrode. Sci. Rep. 2021, 11, 15064. [Google Scholar] [CrossRef]
- Kuskur, C.M.; Kumara Swamy, B.E.; Jayadevappa, H. Poly (naphthol green B) modified carbon paste electrode for the analysis of paracetamol and norepinephrine. Ionics 2019, 25, 1845–1855. [Google Scholar] [CrossRef]
- Bagalkoti, J.T.; Pattar, V.P.; Nandibewoor, S.T. Square wave and differential pulse voltammetric methods for the analysis of olivetol at gold electrode. J. Electrochem. Sci. Eng. 2017, 7, 77–88. [Google Scholar] [CrossRef]
- Shahbakhsh, M.; Noroozifar, M. Poly (dopamine quinone-chromium (III) complex) microspheres as new modifier for simultaneous determination of phenolic compounds. Biosens. Bioelectron. 2018, 102, 439–448. [Google Scholar] [CrossRef]







| Electrode | Method | Linear Rage (μmol L−1) | LOD (μmol L−1) |
|---|---|---|---|
| Gold electrode | SWV | 0.1–1.3 | 0.0048 |
| DPV | 0.1–1.5 | 0.0019 | |
| p-L-serine/CuO/CPE | DPV | 20–100 | 1.04 |
Disclaimer/Publisher’s Note: The statements, opinions and data contained in all publications are solely those of the individual author(s) and contributor(s) and not of MDPI and/or the editor(s). MDPI and/or the editor(s) disclaim responsibility for any injury to people or property resulting from any ideas, methods, instructions or products referred to in the content. |
© 2022 by the authors. Licensee MDPI, Basel, Switzerland. This article is an open access article distributed under the terms and conditions of the Creative Commons Attribution (CC BY) license (https://creativecommons.org/licenses/by/4.0/).
Share and Cite
You, Z.; Zhang, Y.; Duan, S.; Liu, L. Electrochemical Detection of Olivetol Based on Poly(L-Serine) Film Layered Copper Oxide Modified Carbon Paste Electrode (p-L-Serine/CuO/CPE). Nanomaterials 2023, 13, 70. https://doi.org/10.3390/nano13010070
You Z, Zhang Y, Duan S, Liu L. Electrochemical Detection of Olivetol Based on Poly(L-Serine) Film Layered Copper Oxide Modified Carbon Paste Electrode (p-L-Serine/CuO/CPE). Nanomaterials. 2023; 13(1):70. https://doi.org/10.3390/nano13010070
Chicago/Turabian StyleYou, Zongyi, Yi Zhang, Shengwen Duan, and Liangliang Liu. 2023. "Electrochemical Detection of Olivetol Based on Poly(L-Serine) Film Layered Copper Oxide Modified Carbon Paste Electrode (p-L-Serine/CuO/CPE)" Nanomaterials 13, no. 1: 70. https://doi.org/10.3390/nano13010070
APA StyleYou, Z., Zhang, Y., Duan, S., & Liu, L. (2023). Electrochemical Detection of Olivetol Based on Poly(L-Serine) Film Layered Copper Oxide Modified Carbon Paste Electrode (p-L-Serine/CuO/CPE). Nanomaterials, 13(1), 70. https://doi.org/10.3390/nano13010070

