Metal-Dielectric Nanopillar Antenna-Resonators for Efficient Collected Photon Rate from Silicon Carbide Color Centers
Abstract
1. Introduction
2. Color Centres Collected Photon Rate
3. Materials and Methods
3.1. Purcell Factor Calculations
3.2. Collection Efficiency Calculations
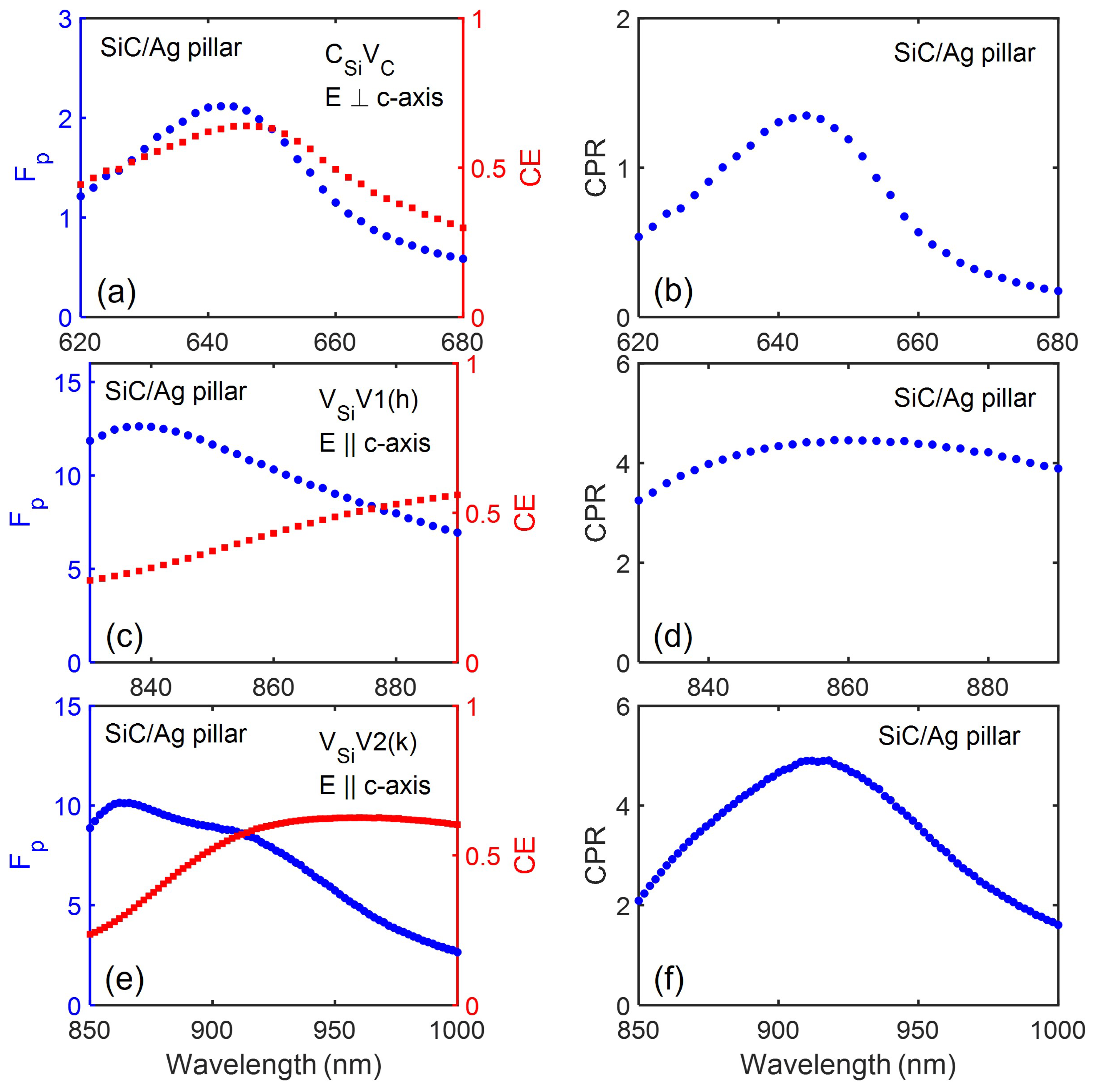
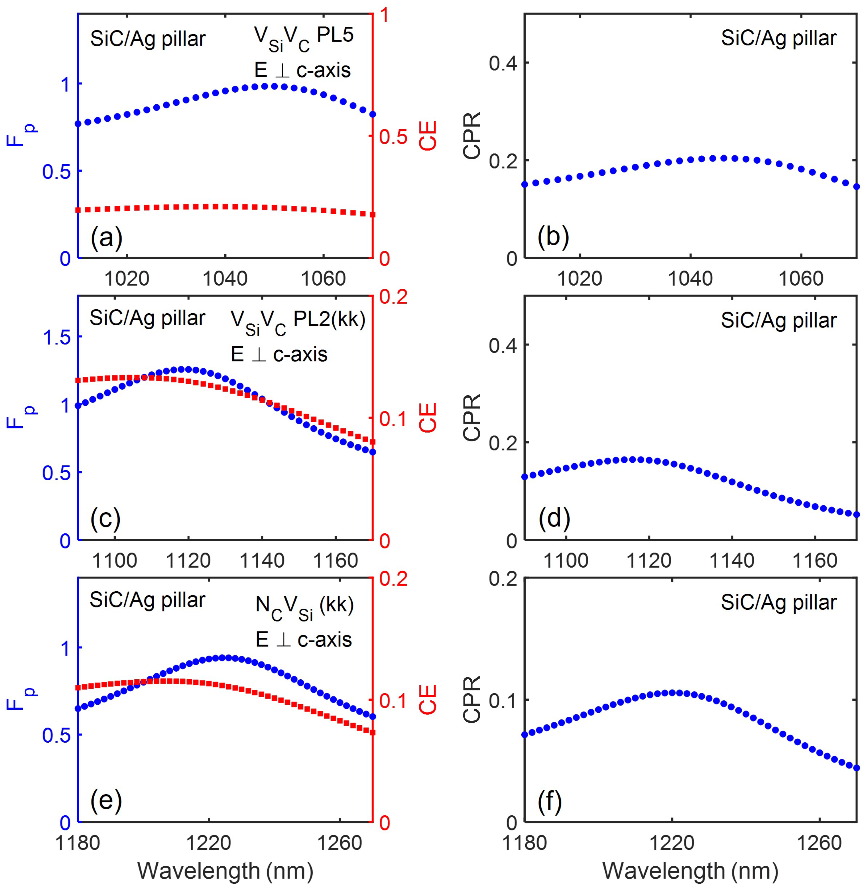
4. Results
5. Conclusions
Author Contributions
Funding
Data Availability Statement
Conflicts of Interest
References
- Awschalom, D.D.; Hanson, R.; Wrachtrup, J.; Zhou, B.B. Quantum technologies with optically interfaced solid-state spins. Nat. Photonics 2018, 12, 516–527. [Google Scholar] [CrossRef]
- Atatüre, M.; Englund, D.; Vamivakas, N.; Lee, S.Y.; Wrachtrup, J. Material platforms for spin-based photonic quantum technologies. Nat. Rev. Mater. 2018, 3, 38–51. [Google Scholar] [CrossRef]
- Castelletto, S.; Boretti, A. Silicon carbide color centers for quantum applications. J. Phys. Photonics 2020, 2, 022001. [Google Scholar] [CrossRef]
- Ahmed, N.; Akhtar, S.; Inam, F.A. Hyperbolic metamaterial-based metal–dielectric resonator-antenna designs for GHz photon collection rates from wide-range solid-state single-photon sources. J. Opt. Soc. Am. B 2020, 37, 3469. [Google Scholar] [CrossRef]
- Karamlou, A.; Trusheim, M.E.; Englund, D. Metal-dielectric antennas for efficient photon collection from diamond color centers. Opt. Express 2018, 26, 3341–3352. [Google Scholar] [CrossRef]
- Inam, F.A.; Ahmed, N.; Steel, M.J.; Castelletto, S. Hyperbolic metamaterial resonator–antenna scheme for large, broadband emission enhancement and single-photon collection. J. Opt. Soc. Am. B 2018, 35, 2153. [Google Scholar] [CrossRef]
- Inam, F.A.; Castelletto, S. Understanding the photonics of single color-center emission in a high-indexed nano-pillar. J. Appl. Phys. 2021, 130, 083102. [Google Scholar] [CrossRef]
- Friedler, I.; Sauvan, C.; Hugonin, J.P.; Lalanne, P.; Claudon, J.; Gérard, J.M. Solid-state single photon sources: The nanowire antenna. Opt. Express 2009, 17, 2095. [Google Scholar] [CrossRef]
- Babinec, T.M.; Hausmann, B.J.M.; Khan, M.; Zhang, Y.; Maze, J.R.; Hemmer, P.R.; Lončar, M. A diamond nanowire single-photon source. Nat. Nanotechnol. 2010, 5, 195–199. [Google Scholar] [CrossRef]
- Radulaski, M.; Widmann, M.; Niethammer, M.; Zhang, J.L.; Lee, S.Y.; Rendler, T.; Lagoudakis, K.G.; Son, N.T.; Janzén, E.; Ohshima, T.; et al. Scalable Quantum Photonics with Single Color Centers in Silicon Carbide. Nano Lett. 2017, 17, 1782–1786. [Google Scholar] [CrossRef]
- Marseglia, L.; Saha, K.; Ajoy, A.; Schröder, T.; Englund, D.; Jelezko, F.; Walsworth, R.; Pacheco, J.L.; Perry, D.L.; Bielejec, E.S.; et al. A bright nanowire single photon source based on SiV centers in diamond. Opt. Express 2018, 26, 80. [Google Scholar] [CrossRef] [PubMed]
- Castelletto, S.; Al Atem, A.S.; Inam, F.A.; von Bardeleben, H.J.; Hameau, S.; Almutairi, A.F.; Guillot, G.; Sato, S.i.; Boretti, A.; Bluet, J.M. Deterministic placement of ultra-bright near-infrared color centers in arrays of silicon carbide micropillars. Beilstein J. Nanotechnol. 2019, 10, 2383–2395. [Google Scholar] [CrossRef] [PubMed]
- McCloskey, D.J.; Dontschuk, N.; Broadway, D.A.; Nadarajah, A.; Stacey, A.; Tetienne, J.P.; Hollenberg, L.C.; Prawer, S.; Simpson, D.A. Enhanced Widefield Quantum Sensing with Nitrogen-Vacancy Ensembles Using Diamond Nanopillar Arrays. ACS Appl. Mater. Interfaces 2020, 12, 13421–13427. [Google Scholar] [CrossRef]
- Jeon, S.W.; Lee, J.; Jung, H.; Han, S.W.; Cho, Y.W.; Kim, Y.S.; Lim, H.T.; Kim, Y.; Niethammer, M.; Lim, W.C.; et al. Bright Nitrogen-Vacancy Centers in Diamond Inverted Nanocones. ACS Photonics 2020, 7, 2739–2747. [Google Scholar] [CrossRef]
- Parker, R.A.; Dontschuk, N.; Sato, S.I.; Lew, C.T.K.; Reineck, P.; Nadarajah, A.; Ohshima, T.; Gibson, B.C.; Castelletto, S.; McCallum, J.C.; et al. Infrared erbium photoluminescence enhancement in silicon carbide nano-pillars. J. Appl. Phys. 2021, 130, 145101. [Google Scholar] [CrossRef]
- Volkova, K.; Heupel, J.; Trofimov, S.; Betz, F.; Colom, R.; MacQueen, R.W.; Akhundzada, S.; Reginka, M.; Ehresmann, A.; Reithmaier, J.P.; et al. Optical and Spin Properties of NV Center Ensembles in Diamond Nano-Pillars. Nanomaterials 2022, 12, 1516. [Google Scholar] [CrossRef] [PubMed]
- Losero, E.; Jagannath, S.; Pezzoli, M.; Lashuel, H.A.; Galland, C.; Quack, N. Neuronal growth on high-aspect-ratio diamond nanopillar arrays for biosensing applications. arXiv 2022, arXiv:2207.09903. [Google Scholar]
- Liu, C.F.; Leong, W.H.; Xia, K.; Feng, X.; Finkler, A.; Denisenko, A.; Wrachtrup, J.; Li, Q.; Liu, R.B. Ultra-sensitive hybrid diamond nanothermometer. Natl. Sci. Rev. 2020, 8, nwaa194. [Google Scholar] [CrossRef]
- Taylor, J.; Cappellaro, P.; Childress, L.; Jiang, L.; Budker, D.; Hemmer, P.; Yacoby, A.; Walsworth, R.; Lukin, M. High-sensitivity diamond magnetometer with nanoscale resolution. Nat. Phys. 2008, 4, 810–816. [Google Scholar] [CrossRef]
- Wang, J.F.; Yan, F.F.; Li, Q.; Liu, Z.H.; Liu, H.; Guo, G.P.; Guo, L.P.; Zhou, X.; Cui, J.M.; Wang, J.; et al. Coherent Control of Nitrogen-Vacancy Center Spins in Silicon Carbide at Room Temperature. Phys. Rev. Lett. 2020, 124, 223601. [Google Scholar] [CrossRef]
- Mu, Z.; Zargaleh, S.A.; Von Bardeleben, H.J.; Fröch, J.E.; Nonahal, M.; Cai, H.; Yang, X.; Yang, J.; Li, X.; Aharonovich, I.; et al. Coherent Manipulation with Resonant Excitation and Single Emitter Creation of Nitrogen Vacancy Centers in 4H Silicon Carbide. Nano Lett. 2020, 20, 6142–6147. [Google Scholar] [CrossRef] [PubMed]
- Wang, J.F.; Liu, Z.H.; Yan, F.F.; Li, Q.; Yang, X.G.; Guo, L.; Zhou, X.; Huang, W.; Xu, J.S.; Li, C.F.; et al. Experimental Optical Properties of Single Nitrogen Vacancy Centers in Silicon Carbide at Room Temperature. ACS Photonics 2020, 7, 1611–1616. [Google Scholar] [CrossRef]
- Akselrod, G.M.; Argyropoulos, C.; Hoang, T.B.; Ciracì, C.; Fang, C.; Huang, J.; Smith, D.R.; Mikkelsen, M.H. Probing the mechanisms of large Purcell enhancement in plasmonic nanoantennas. Nat. Photonics 2014, 8, 835–840. [Google Scholar] [CrossRef]
- Kala, A.; Inam, F.A.; Biehs, S.; Vaity, P.; Achanta, V.G. Hyperbolic Metamaterial with Quantum Dots for Enhanced Emission and Collection Efficiencies. Adv. Opt. Mater. 2020, 8, 2000368. [Google Scholar] [CrossRef]
- Inam, F.A.; Castelletto, S. Using multi-polar scattering and near-field plasmonic resonances to achieve optimal emission enhancement from quantum emitters embedded in dielectric pillars. J. Opt. Soc. Am. B 2021, 38, 3697–3704. [Google Scholar] [CrossRef]
- Ivády, V.; Davidsson, J.; Son, N.T.; Ohshima, T.; Abrikosov, I.A.; Gali, A. Identification of Si-vacancy related room-temperature qubits in 4 H silicon carbide. Phys. Rev. B 2017, 96, 161114. [Google Scholar] [CrossRef]
- Castelletto, S.; Maksimovic, J.; Katkus, T.; Ohshima, T.; Johnson, B.C.; Juodkazis, S. Color Centers Enabled by Direct Femto-Second Laser Writing in Wide Bandgap Semiconductors. Nanomaterials 2021, 11, 72. [Google Scholar] [CrossRef]
- Castelletto, S.; Johnson, B.C.; Ivády, V.; Stavrias, N.; Umeda, T.; Gali, A.; Ohshima, T. A silicon carbide room-temperature single-photon source. Nat. Mater. 2014, 13, 151–156. [Google Scholar] [CrossRef]
- Spindlberger, L.; Csóré, A.; Thiering, G.; Putz, S.; Karhu, R.; Hassan, J.; Son, N.; Fromherz, T.; Gali, A.; Trupke, M. Optical Properties of Vanadium in 4H Silicon Carbide for Quantum Technology. Phys. Rev. Appl. 2019, 12, 014015. [Google Scholar] [CrossRef]
- Castelletto, S.; Peruzzo, A.; Bonato, C.; Johnson, B.C.; Radulaski, M.; Ou, H.; Kaiser, F.; Wrachtrup, J. Silicon Carbide Photonics Bridging Quantum Technology. ACS Photonics 2022, 9, 1434–1457. [Google Scholar] [CrossRef]
- Pavunny, S.P.; Yeats, A.L.; Banks, H.B.; Bielejec, E.; Myers-Ward, R.L.; DeJarld, M.T.; Bracker, A.S.; Gaskill, D.K.; Carter, S.G. Arrays of Si vacancies in 4 H-SiC produced by focused Li ion beam implantation. Sci. Rep. 2021, 11, 1–8. [Google Scholar] [CrossRef] [PubMed]
- Widmann, M.; Lee, S.Y.; Rendler, T.; Son, N.T.; Fedder, H.; Paik, S.; Yang, L.P.; Zhao, N.; Yang, S.; Booker, I.; et al. Coherent control of single spins in silicon carbide at room temperature. Nat. Mater. 2015, 14, 164–168. [Google Scholar] [CrossRef] [PubMed]
- Banks, H.B.; Soykal, Ö.O.; Myers-Ward, R.L.; Gaskill, D.K.; Reinecke, T.; Carter, S.G. Resonant Optical Spin Initialization and Readout of Single Silicon Vacancies in 4 H-Si C. Phys. Rev. Appl. 2019, 11, 024013. [Google Scholar] [CrossRef]
- Fuchs, F.; Stender, B.; Trupke, M.; Simin, D.; Pflaum, J.; Dyakonov, V.; Astakhov, G.V. Engineering near-infrared single-photon emitters with optically active spins in ultrapure silicon carbide. Nat. Commun. 2015, 6, 7578. [Google Scholar] [CrossRef] [PubMed]
- Nagy, R.; Widmann, M.; Niethammer, M.; Dasari, D.B.; Gerhardt, I.; Soykal, Ö.O.; Radulaski, M.; Ohshima, T.; Vučković, J.; Son, N.T.; et al. Quantum properties of dichroic silicon vacancies in silicon carbide. Phys. Rev. Appl. 2018, 9, 034022. [Google Scholar] [CrossRef]
- Nagy, R.; Niethammer, M.; Widmann, M.; Chen, Y.C.; Udvarhelyi, P.; Bonato, C.; Hassan, J.U.; Karhu, R.; Ivanov, I.G.; Son, N.T.; et al. High-fidelity spin and optical control of single silicon-vacancy centres in silicon carbide. Nat. Commun. 2019, 10, 1–8. [Google Scholar] [CrossRef]
- Morioka, N.; Babin, C.; Nagy, R.; Gediz, I.; Hesselmeier, E.; Liu, D.; Joliffe, M.; Niethammer, M.; Dasari, D.; Vorobyov, V.; et al. Spin-controlled generation of indistinguishable and distinguishable photons from silicon vacancy centres in silicon carbide. Nat. Commun. 2020, 11, 1–8. [Google Scholar] [CrossRef]
- Abraham, J.B.; Gutgsell, C.; Todorovski, D.; Sperling, S.; Epstein, J.E.; Tien-Street, B.S.; Sweeney, T.M.; Wathen, J.J.; Pogue, E.A.; Brereton, P.G.; et al. nanoTesla magnetometry with the silicon vacancy in silicon carbide. Phys. Rev. Appl. 2021, 15, 064022. [Google Scholar] [CrossRef]
- Christle, D.J.; Falk, A.L.; Andrich, P.; Klimov, P.V.; Hassan, J.U.; Son, N.T.; Janzén, E.; Ohshima, T.; Awschalom, D.D. Isolated electron spins in silicon carbide with millisecond coherence times. Nat. Mater. 2015, 14, 160–163. [Google Scholar] [CrossRef]
- Christle, D.J.; Klimov, P.V.; de las Casas, C.F.; Szász, K.; Ivády, V.; Jokubavicius, V.; Ul Hassan, J.; Syväjärvi, M.; Koehl, W.F.; Ohshima, T.; et al. Isolated Spin Qubits in SiC with a High-Fidelity Infrared Spin-to-Photon Interface. Phys. Rev. X 2017, 7, 021046. [Google Scholar] [CrossRef]
- Anderson, C.P.; Glen, E.O.; Zeledon, C.; Bourassa, A.; Jin, Y.; Zhu, Y.; Vorwerk, C.; Crook, A.L.; Abe, H.; Ul-Hassan, J.; et al. Five-second coherence of a single spin with single-shot readout in silicon carbide. Sci. Adv. 2022, 8, eabm5912. [Google Scholar] [CrossRef] [PubMed]
- Li, Q.; Wang, J.F.; Yan, F.F.; Zhou, J.Y.; Wang, H.F.; Liu, H.; Guo, L.P.; Zhou, X.; Gali, A.; Liu, Z.H.; et al. Room temperature coherent manipulation of single-spin qubits in silicon carbide with a high readout contrast. Natl. Sci. Rev. 2021, 9, nwab122. [Google Scholar] [CrossRef] [PubMed]
- Zhou, J.Y.; Li, Q.; Hao, Z.Y.; Yan, F.F.; Yang, M.; Wang, J.F.; Lin, W.X.; Liu, Z.H.; Liu, W.; Li, H.; et al. Experimental Determination of the Dipole Orientation of Single Color Centers in Silicon Carbide. ACS Photonics 2021, 8, 2384–2391. [Google Scholar] [CrossRef]
- Wolfowicz, G.; Anderson, C.P.; Diler, B.; Poluektov, O.G.; Heremans, F.J.; Awschalom, D.D. Vanadium spin qubits as telecom quantum emitters in silicon carbide. Sci. Adv. 2020, 6, eaaz1192. [Google Scholar] [CrossRef]
- Janzén, E.; Gali, A.; Carlsson, P.; Gällström, A.; Magnusson, B.; Son, N. The silicon vacancy in SiC. Phys. B Condens. Matter 2009, 404, 4354–4358. [Google Scholar] [CrossRef]
- Hashemi, A.; Linderälv, C.; Krasheninnikov, A.V.; Ala-Nissila, T.; Erhart, P.; Komsa, H.P. Photoluminescence line shapes for color centers in silicon carbide from density functional theory calculations. Phys. Rev. B 2021, 103, 125203. [Google Scholar] [CrossRef]
- Majety, S.; Norman, V.A.; Li, L.; Bell, M.; Saha, P.; Radulaski, M. Quantum photonics in triangular-cross-section nanodevices in silicon carbide. J. Phys. Photonics 2021, 3, 034008. [Google Scholar] [CrossRef]
- Ahmed, N.; Inam, F.A. Which plasmonic nano-antenna is best for free-space out-coupling of single photon emission from a hyperbolic metamaterial resonator? Opt. Lett. 2021, 46, 2212. [Google Scholar] [CrossRef]
- Johnson, P.B.; Christy, R.W. Optical Constants of the Noble Metals. Phys. Rev. B 1972, 6, 4370–4379. [Google Scholar] [CrossRef]
- Shaffer, P.T.B. Refractive Index, Dispersion, and Birefringence of Silicon Carbide Polytypes. Appl. Opt. 1971, 10, 1034–1036. [Google Scholar] [CrossRef]
- Xu, Y.; Vučković, J.S.; Lee, R.K.; Painter, O.J.; Scherer, A.; Yariv, A. Finite-difference time-domain calculation of spontaneous emission lifetime in a microcavity. J. Opt. Soc. Am. B 1999, 16, 465. [Google Scholar] [CrossRef]
- Novotny, L.; Hecht, B. Principles of Nano-Optics; Cambridge University Press: Cambridge, UK, 2012; p. 564. [Google Scholar]
- Lukosz, W. Light emission by magnetic and electric dipoles close to a plane dielectric interface III Radiation patterns of dipoles with arbitrary orientation. J. Opt. Soc. Am. 1979, 69, 1495. [Google Scholar] [CrossRef]
- Lakowicz, J.R. Radiative decay engineering 5: Metal-enhanced fluorescence and plasmon emission. Anal. Biochem. 2005, 337, 171–194. [Google Scholar] [CrossRef] [PubMed]







| Color Centre | ZPL | QE | C | |||
|---|---|---|---|---|---|---|
| (nm) | (%) | (ns) | (%) | (%) | (s) | |
| [28] | 649 | 70 | 1.2 | 2.3 | n.a. | n.a. |
| E ⊥ c-axis | A (hh) | (calc.) [46] | ||||
| 917 | 30 | 6.2 | 9 | 0.4–1.8 | 80 | |
| E ‖ c-axis | V2 (k) | [34] | [32] | |||
| 862 | n.m. | 5.5 | 40 | 0.05–100 | 600 | |
| E ‖ c-axis | V1 (h) | [35] | [35] | |||
| 858 | n.m. | 5.6 | 19 | n.m. | n.m. | |
| E ⊥ c-axis | V1’ (h) | [35] | ||||
| 1131 | n.m. | 14 | 5.3 | 5–6 | 1200 [39] | |
| E ⊥ c-axis | PL2(kk) | [40] | ||||
| 1042 | - | - | - | 30 | 23 | |
| E ⊥c-axis | PL5 (s.f.) | [42] | ||||
| 1038 | - | - | 23 | 23 | ||
| E ‖c-axis [43] | PL6 (s.f.) | [42] | ||||
| N | 1223 | 98 | 2.7 | - | <0.05 | 17 |
| E ⊥c-axis [22] | (kk) | [22] | [20,21] | |||
| V [44] | 1279 | 2 | 167 | 25 | - | - |
| (h or ) | ||||||
| V [44] | 1335 | - | 45 | 50 | - | 0.5 |
| (k or ) |
| Color Centre | ZPL | Ag/SiC Diam. | Ag Height | SiC Height |
|---|---|---|---|---|
| (nm) | (D) (nm) | (h) (nm) | (h) (nm) | |
| 649 | 320 | 665 | 1000 | |
| E ⊥ c-axis | A (hh) | |||
| 917 | 370 | 705 | 1000 | |
| E ‖ c-axis | V2 (k) | |||
| 862 | 350 | 650 | 1000 | |
| E ‖ c-axis | V1 (h) | |||
| 1131 | 684 | 1120 | 1100 | |
| E ⊥ c-axis | PL2(kk) | |||
| 1042 | 630 | 1040 | 1100 | |
| E ⊥c-axis | PL5 (s.f.) | |||
| N | 1223 | 760 | 1200 | 1200 |
| E ⊥c-axis | (kk) |
Disclaimer/Publisher’s Note: The statements, opinions and data contained in all publications are solely those of the individual author(s) and contributor(s) and not of MDPI and/or the editor(s). MDPI and/or the editor(s) disclaim responsibility for any injury to people or property resulting from any ideas, methods, instructions or products referred to in the content. |
© 2023 by the authors. Licensee MDPI, Basel, Switzerland. This article is an open access article distributed under the terms and conditions of the Creative Commons Attribution (CC BY) license (https://creativecommons.org/licenses/by/4.0/).
Share and Cite
Inam, F.A.; Castelletto, S. Metal-Dielectric Nanopillar Antenna-Resonators for Efficient Collected Photon Rate from Silicon Carbide Color Centers. Nanomaterials 2023, 13, 195. https://doi.org/10.3390/nano13010195
Inam FA, Castelletto S. Metal-Dielectric Nanopillar Antenna-Resonators for Efficient Collected Photon Rate from Silicon Carbide Color Centers. Nanomaterials. 2023; 13(1):195. https://doi.org/10.3390/nano13010195
Chicago/Turabian StyleInam, Faraz Ahmed, and Stefania Castelletto. 2023. "Metal-Dielectric Nanopillar Antenna-Resonators for Efficient Collected Photon Rate from Silicon Carbide Color Centers" Nanomaterials 13, no. 1: 195. https://doi.org/10.3390/nano13010195
APA StyleInam, F. A., & Castelletto, S. (2023). Metal-Dielectric Nanopillar Antenna-Resonators for Efficient Collected Photon Rate from Silicon Carbide Color Centers. Nanomaterials, 13(1), 195. https://doi.org/10.3390/nano13010195

