Miniaturized Spoof Plasmonic Antennas with Good Impedance Matching
Abstract
1. Introduction
2. Methods
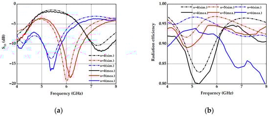
3. Results and Discussion
4. Conclusions
Author Contributions
Funding
Institutional Review Board Statement
Informed Consent Statement
Data Availability Statement
Conflicts of Interest
References
- Lalbakhsh, A.; Simorangkir, R.B.V.B.; Bayat-Makou, N.; Kishk, A.A.; Esselle, K.P. Chapter 2—Advancements and artificial intelligence approaches in antennas for environmental sensing. In Artificial Intelligence and Data Science in Environmental Sensing; Asadnia, M., Razmjou, A., Beheshti, A., Eds.; Academic Press: Cambridge, MA, USA, 2022; pp. 19–38. [Google Scholar]
- Lalbakhsh, A.; Afzal, M.U.; Esselle, K.P.; Smith, S.L. All-Metal Wideband Frequency-Selective Surface Bandpass Filter for TE and TM Polarizations. IEEE Trans. Antennas Propag. 2022, 70, 2790–2800. [Google Scholar] [CrossRef]
- Das, P.; Mandal, K.; Lalbakhsh, A. Beam-steering of microstrip antenna using single-layer FSS based phase-shifting surface. Int. J. RF Microw. Comput. Eng. 2021, 32, e23033. [Google Scholar] [CrossRef]
- Lalbakhsh, A.; Afzal, M.U.; Hayat, T.; Esselle, K.P.; Mandal, K. All-metal wideband metasurface for near-field transformation of medium-to-high gain electromagnetic sources. Sci. Rep. 2021, 11, 9421. [Google Scholar] [CrossRef]
- Esfandiari, M.; Lalbakhsh, A.; Nasiri Shehni, P.; Jarchi, S.; Ghaffari-Miab, M.; Noori Mahtaj, H.; Reisenfeld, S.; Alibakhshikenari, M.; Koziel, S.; Szczepanski, S. Recent and emerging applications of Graphene-based metamaterials in electromagnetics. Mater. Des. 2022, 221, 110920. [Google Scholar] [CrossRef]
- Pendry, J.B.; Martín-Moreno, L.; Garcia-Vidal, F.J. Mimicking Surface Plasmons with Structured Surfaces. Science 2004, 305, 847. [Google Scholar] [CrossRef]
- Zhang, J.J.; Zhang, H.C.; Gao, X.X.; Zhang, L.P.; Niu, L.Y.; He, P.H.; Cui, T.J. Integrated spoof plasmonic circuits. Sci. Bull. 2019, 64, 843–855. [Google Scholar] [CrossRef]
- Ren, Y.; Zhang, J.; Gao, X.; Zheng, X.; Liu, X.; Cui, T.J. Active spoof plasmonics: From design to applications. J. Phys. Condens. Matter. 2021, 34, 053002. [Google Scholar] [CrossRef]
- Garcia-Vidal, F.J.; Fernandez-Dominguez, A.I.; Martin-Moreno, L.; Zhang, H.C.; Tang, W.X.; Peng, R.W.; Cui, T.J. Spoof surface plasmon photonics. Rev. Mod. Phys. 2022, 94, 025004. [Google Scholar] [CrossRef]
- Guan, D.F.; You, P.; Zhang, Q.F.; Xiao, K.; Yong, S.W. Hybrid Spoof Surface Plasmon Polariton and Substrate Integrated Waveguide Transmission Line and Its Application in Filter. IEEE Trans. Microw. Theory Tech. 2017, 65, 4925–4932. [Google Scholar] [CrossRef]
- Jaiswal, R.K.; Pandit, N.; Pathak, N.P. Spoof Surface Plasmon Polaritons Based Reconfigurable Band-Pass Filter. IEEE Photonics Technol. Lett. 2019, 31, 218–221. [Google Scholar] [CrossRef]
- Zhang, H.C.; He, P.H.; Gao, X.; Tang, W.X.; Cui, T.J. Pass-band reconfigurable spoof surface plasmon polaritons. J. Phys. Condens. Matter 2018, 30, 134004. [Google Scholar] [CrossRef] [PubMed]
- Zhou, Y.J.; Xiao, Q.X. Electronically controlled rejections of spoof surface plasmons polaritons. J. Appl. Phys. 2017, 121, 123109. [Google Scholar] [CrossRef]
- Gao, X.; Zhang, H.C.; Wu, L.W.; Wang, Z.X.; He, P.H.; Gao, Z.; Cui, T.J. Programmable Multifunctional Device Based on Spoof Surface Plasmon Polaritons. IEEE Trans. Antennas Propag. 2020, 68, 3770–3779. [Google Scholar] [CrossRef]
- Liu, X.Y.; Feng, Y.J.; Chen, K.; Zhu, B.; Zhao, J.M.; Jiang, T. Planar surface plasmonic waveguide devices based on symmetric corrugated thin film structures. Opt. Express 2014, 22, 20107–20116. [Google Scholar] [CrossRef]
- Zhang, H.C.; Liu, S.; Shen, X.; Chen, L.H.; Li, L.; Cui, T.J. Broadband amplification of spoof surface plasmon polaritons at microwave frequencies. Laser Photonics Rev. 2015, 9, 83–90. [Google Scholar] [CrossRef]
- Chen, Z.; Lu, W.; Liu, Z.; Zhang, A.; Wu, B.; Chen, H. Dynamically Tunable Integrated Device for Attenuation, Amplification, and Transmission of SSPP Using Graphene. IEEE Trans. Antennas Propag. 2020, 68, 3953–3962. [Google Scholar] [CrossRef]
- Gao, X.; Zhang, J.; Luo, Y.; Ma, Q.; Bai, G.D.; Zhang, H.C.; Cui, T.J. Reconfigurable Parametric Amplifications of Spoof Surface Plasmons. Adv. Sci. 2021, 8, e2100795. [Google Scholar] [CrossRef]
- Zhang, H.C.; Fan, Y.; Guo, J.; Fu, X.; Cui, T.J. Second-Harmonic Generation of Spoof Surface Plasmon Polaritons Using Nonlinear Plasmonic Metamaterials. ACS Photonics 2016, 3, 139–146. [Google Scholar] [CrossRef]
- Liu, L.; Wu, L.; Zhang, J.; Li, Z.; Zhang, B.; Luo, Y. Backward Phase Matching for Second Harmonic Generation in Negative-Index Conformal Surface Plasmonic Metamaterials. Adv. Sci. 2018, 5, 1800661. [Google Scholar] [CrossRef]
- Gao, X.; Zhang, J.; Zhang, H.C.; Liu, L.; Ma, Q.; Xu, P.; Cui, T.J. Dynamic Controls of Second-Harmonic Generations in Both Forward and Backward Modes Using Reconfigurable Plasmonic Metawaveguide. Adv. Opt. Mater. 2020, 8, 1902058. [Google Scholar] [CrossRef]
- Esfandiyari, M.; Lalbakhsh, A.; Jarchi, S.; Ghaffari-Miab, M.; Mahtaj, H.N.; Simorangkir, R.B.V.B. Tunable terahertz filter/antenna-sensor using graphene-based metamaterials. Mater. Des. 2022, 220, 110855. [Google Scholar] [CrossRef]
- Zhou, Y.J.; Li, Q.Y.; Zhao, H.Z.; Cui, T.J. Gain-Assisted Active Spoof Plasmonic Fano Resonance for High-Resolution Sensing of Glucose Aqueous Solutions. Adv. Mater. Technol. 2020, 5, 1900767. [Google Scholar] [CrossRef]
- Cai, J.; Zhou, Y.J.; Zhang, Y.; Li, Q.Y. Gain-assisted ultra-high-Q spoof plasmonic resonator for the sensing of polar liquids. Opt. Express 2018, 26, 25460–25470. [Google Scholar] [CrossRef] [PubMed]
- Pendry, J.B. Negative Refraction Makes a Perfect Lens. Phys. Rev. Lett. 2000, 85, 3966–3969. [Google Scholar] [CrossRef]
- Cui, T.J.; Cheng, Q.; Huang, Z.Z.; Feng, Y. Electromagnetic wave localization using a left-handed transmission-line superlens. Phys. Rev. B 2005, 72, 035112. [Google Scholar] [CrossRef]
- Ma, H.F.; Shen, X.P.; Cheng, Q.; Jiang, W.X.; Cui, T.J. Broadband and high-efficiency conversion from guided waves to spoof surface plasmon polaritons. Laser Photonics Rev. 2014, 8, 146–151. [Google Scholar] [CrossRef]
- Liao, Z.; Zhao, J.; Pan, B.C.; Shen, X.P.; Cui, T.J. Broadband transition between microstrip line and conformal surface plasmon waveguide. J. Phys. D Appl. Phys. 2014, 47, 315103. [Google Scholar] [CrossRef]
- Xu, J.; Cui, Y.; Guo, J.; Xu, Z.; Qian, C.; Li, W. Broadband transition between microstrip line and spoof SP waveguide. Electron. Lett. 2016, 52, 1694–1695. [Google Scholar] [CrossRef]
- Kong, G.S.; Ma, H.F.; Cai, B.G.; Cui, T.J. Continuous leaky-wave scanning using periodically modulated spoof plasmonic waveguide. Sci. Rep. 2016, 6, 29600. [Google Scholar] [CrossRef]
- Wang, M.; Ma, H.F.; Zhang, H.C.; Tang, W.X.; Zhang, X.R.; Cui, T.J. Frequency-Fixed Beam-Scanning Leaky-Wave Antenna Using Electronically Controllable Corrugated Microstrip Line. IEEE Trans. Antennas Propag. 2018, 66, 4449–4457. [Google Scholar] [CrossRef]
- Wang, M.; Ma, H.F.; Tang, W.x.; Zhang, H.C.; Jiang, W.x.; Cui, T.J. A Dual-Band Electronic-Scanning Leaky-Wave Antenna Based on a Corrugated Microstrip Line. IEEE Trans. Antennas Propag. 2019, 67, 3433–3438. [Google Scholar] [CrossRef]
- Xu, J.J.; Zhang, H.C.; Zhang, Q.; Cui, T.J. Efficient conversion of surface-plasmon-like modes to spatial radiated modes. Appl. Phys. Lett. 2015, 106, 021102. [Google Scholar] [CrossRef]
- Zhang, H.C.; Liu, L.; He, P.H.; Lu, J.Y.; Zhang, L.P.; Xu, J.; Liu, L.L.; Gao, F.; Cui, T.J.; Wang, Q.J.; et al. A Wide-Angle Broadband Converter: From Odd-Mode Spoof Surface Plasmon Polaritons to Spatial Waves. IEEE Trans. Antennas Propag. 2019, 67, 7425–7432. [Google Scholar] [CrossRef]
- He, P.H.; Ren, Y.; Shao, C.; Zhang, H.C.; Zhang, L.P.; Cui, T.J. Suppressing High-Power Microwave Pulses Using Spoof Surface Plasmon Polariton Mono-Pulse Antenna. IEEE Trans. Antennas Propag. 2021, 69, 8069–8079. [Google Scholar] [CrossRef]
- Zheng, X.; Zhang, J.; Luo, Y.; Wang, Z.; Ren, Y.; Cui, T.J. Rotationally Symmetrical Spoof-Plasmon Antenna for Polarization-Independent Radiation Enhancement. Phys. Rev. Appl. 2022, 18, 054018. [Google Scholar] [CrossRef]
- Wang, J.; Zhao, L.; Hao, Z.C.; Zhang, S.; Shen, X. Integrated Hybrid Antenna Based on Spoof Surface Plasmon Polaritons. IEEE Access 2021, 9, 10797–10804. [Google Scholar] [CrossRef]
- Yang, Y.J.; Li, Z.; Wang, S.Z.; Chen, X.Y.; Wang, J.H.; Guo, Y.J. Miniaturized High-Order-Mode Dipole Antennas Based on Spoof Surface Plasmon Polaritons. IEEE Antennas Wirel. Propag. Lett. 2018, 17, 2409–2413. [Google Scholar] [CrossRef]
- Qu, B.Y.; Yan, S.; Zhang, A.X.; Pang, Y.Q.; Xu, Z. Miniaturization of Monopole Antenna Based on Spoof Surface Plasmon Polaritons. IEEE Antennas Wirel. Propag. Lett. 2021, 20, 1562–1566. [Google Scholar] [CrossRef]
- He, P.H.; Fan, Y.; Zhang, H.C.; Zhang, L.P.; Tang, M.; Wang, M.N.; Niu, L.Y.; Tang, W.X.; Cui, T.J. Characteristic impedance extraction of spoof surface plasmon polariton waveguides. J. Phys. D-Appl. Phys. 2021, 54, 385102. [Google Scholar] [CrossRef]
- Huang, J.S.; Feichtner, T.; Biagioni, P.; Hecht, B. Impedance Matching and Emission Properties of Nanoantennas in an Optical Nanocircuit. Nano Lett. 2009, 9, 1897–1902. [Google Scholar] [CrossRef]
- Alu, A.; Engheta, N. Input impedance, nanocircuit loading, and radiation tuning of optical nanoantennas. Phys. Rev. Lett. 2008, 101, 043901. [Google Scholar] [CrossRef] [PubMed]
- Xu, Y.; Tucker, E.; Boreman, G.; Raschke, M.B.; Lail, B.A. Optical Nanoantenna Input Impedance. ACS Photonics 2016, 3, 881–885. [Google Scholar] [CrossRef]
- Suh, Y.H.; Chang, K. A wideband coplanar stripline to microstrip transition. IEEE Microw. Wirel. Compon. Lett. 2001, 11, 28–29. [Google Scholar] [CrossRef]
- Shen, X.P.; Cui, T.J.; Martin-Cano, D.; Garcia-Vidal, F.J. Conformal surface plasmons propagating on ultrathin and flexible films. Proc. Natl. Acad. Sci. USA 2013, 110, 40–45. [Google Scholar] [CrossRef] [PubMed]
- Pires, N.; Mendes, C.; Koohestani, M.; Skrivervik, A.K.; Moreira, A.A. Novel Approach to the Measurement of Ultrawideband Antenna Efficiency. IEEE Antennas Wirel. Propag. Lett. 2013, 12, 1512–1515. [Google Scholar] [CrossRef]
- Sharma, S.; Mehra, R. A Low-Profile Dual-Band Meander-Line Antenna for Sub-6 GHz 5G Applications. In Proceedings of the Optical and Wireless Technologies; OWT 2021; Springer: Berlin/Heidelberg, Germany, 2023; pp. 243–251. [Google Scholar]
- Sakomura, E.S.; Ferreira, D.B.; Bianchi, I.; Nascimento, D.C. Compact Planar Two-Arm Compound Spiral Antenna for L-/X-Band Direction Finding Applications. In Proceedings of the 2018 IEEE International Symposium on Antennas and Propagation & USNC/URSI National Radio Science Meeting, Boston, MA, USA, 8–13 July 2018; pp. 853–854. [Google Scholar]






Disclaimer/Publisher’s Note: The statements, opinions and data contained in all publications are solely those of the individual author(s) and contributor(s) and not of MDPI and/or the editor(s). MDPI and/or the editor(s) disclaim responsibility for any injury to people or property resulting from any ideas, methods, instructions or products referred to in the content. |
© 2022 by the authors. Licensee MDPI, Basel, Switzerland. This article is an open access article distributed under the terms and conditions of the Creative Commons Attribution (CC BY) license (https://creativecommons.org/licenses/by/4.0/).
Share and Cite
Ren, Y.; Zhang, J.; Gao, X.; Zheng, X.; Zhang, L.P.; Cui, T.J. Miniaturized Spoof Plasmonic Antennas with Good Impedance Matching. Nanomaterials 2023, 13, 136. https://doi.org/10.3390/nano13010136
Ren Y, Zhang J, Gao X, Zheng X, Zhang LP, Cui TJ. Miniaturized Spoof Plasmonic Antennas with Good Impedance Matching. Nanomaterials. 2023; 13(1):136. https://doi.org/10.3390/nano13010136
Chicago/Turabian StyleRen, Yi, Jingjing Zhang, Xinxin Gao, Xin Zheng, Le Peng Zhang, and Tie Jun Cui. 2023. "Miniaturized Spoof Plasmonic Antennas with Good Impedance Matching" Nanomaterials 13, no. 1: 136. https://doi.org/10.3390/nano13010136
APA StyleRen, Y., Zhang, J., Gao, X., Zheng, X., Zhang, L. P., & Cui, T. J. (2023). Miniaturized Spoof Plasmonic Antennas with Good Impedance Matching. Nanomaterials, 13(1), 136. https://doi.org/10.3390/nano13010136

