Ferric Ion Diffusion for MOF-Polymer Composite with Internal Boundary Sinks
Abstract
:1. Introduction
2. Mathematical Modelling and Assumptions
2.1. Dimensionless Two-Dimensional Model
2.2. One-Dimensional Model
2.3. Dimensionless One-Dimensional Model
3. Results and Discussions
3.1. Dimensionless One-Dimensional Model
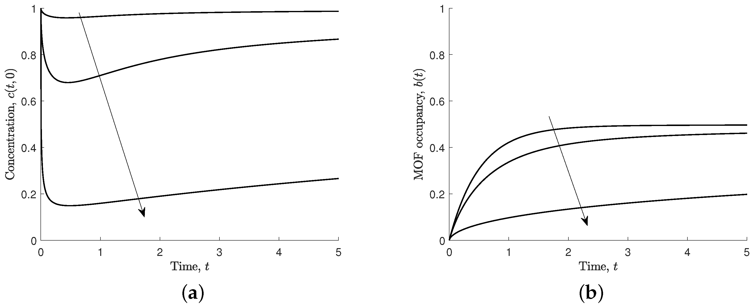
3.1.1. Varying the Non-Dimensional Diffusion Coefficient,
3.1.2. Varying the Effective Association Parameter,
3.1.3. Varying the Effective Dissociation Parameter,
3.1.4. Varying the Effective Flux Parameter,
3.2. Dimensionless Two-Dimensional Model
3.2.1. Varying the Non-Dimensional Parameters
3.2.2. Varying the Relative Diffusion Coefficient, D
4. Conclusions
Author Contributions
Funding
Data Availability Statement
Acknowledgments
Conflicts of Interest
Abbreviations
| MOF | Metal organic framework |
| EuMOF | Europium based metal organic framework |
| ODE | Ordinary differential equation |
Appendix A. Algorithm for Dimensionless One-Dimensional Model
| 0.005 | 0.1 | 10 |
Appendix B. Algorithm for Dimensionless Two-Dimensional Model
| D | |||||
|---|---|---|---|---|---|
| 0.0005 | 0.1 | 0.1 | 10 | 10 | 0.5 |
Appendix C. Results of Varying Parameters in the Two-Dimensional Model



References
- Hogsden, K.L.; Harding, J.S. Consequences of acid mine drainage for the structure and function of benthic stream communities: A review. Freshw. Sci. 2012, 31, 108–120. [Google Scholar] [CrossRef]
- Vajargah, M.F. A review on the effects of heavy metals on aquatic animals. J. Biomed. Res. Environ. Sci. 2021, 2, 865–869. [Google Scholar] [CrossRef]
- Vuori, K. Direct and indirect effects of iron on river ecosystems. Ann. Zool. Fenn. 1995, 32, 317–329. [Google Scholar]
- Thomas, J.E.; Smart, S.S.C.; Skinner, W.M. Kinetic factors for oxidative and non-oxidative dissolution of iron sulfides. Miner. Eng. 2000, 13, 1149–1159. [Google Scholar] [CrossRef]
- Wang, C.; Babitt, J.L. Liver iron sensing and body iron homeostasis. Blood, J. Am. Soc. Hematol. 2019, 133, 18–29. [Google Scholar] [CrossRef] [Green Version]
- Chaturvedi, S.; Dave, P.N. Removal of iron for safe drinking water. Desalination 2012, 303, 1–11. [Google Scholar] [CrossRef]
- Sahoo, S.K.; Sharma, D.; Bera, R.K.; Crisponi, G.; Callan, J.F. Iron (III) selective molecular and supramolecular fluorescent probes. Chem. Soc. Rev. 2012, 41, 7195–7227. [Google Scholar] [CrossRef] [PubMed]
- Xu, H.; Dong, Y.; Wu, Y.; Ren, W.; Zhao, T.; Wang, S.; Gao, J. An–OH group functionalized MOF for ratiometric Fe3+ sensing. J. Solid State Chem. 2018, 258, 441–446. [Google Scholar] [CrossRef]
- Louw, K.I.; Bradshaw-Hajek, B.H.; Hill, J.M. Interaction of Ferric Ions with Europium Metal Organic Framework and Application to Mineral Processing Sensing. Philos. Mag. 2022; submitted. [Google Scholar]
- Hickson, R.I.; Barry, S.I.; Mercer, G.N.; Sidhu, H.S. Finite difference schemes for multilayer diffusion. Math. Comput. Model. 2011, 54, 210–220. [Google Scholar] [CrossRef]
- Carr, E.J.; Turner, T.W. A semi-analytical solution for multilayer diffusion in a composite medium consisting of a large number of layers. Appl. Math. Model. 2016, 40, 7034–7050. [Google Scholar] [CrossRef] [Green Version]
- Hahn, D.W.; Özisik, M.N. Heat Conduction; John Wiley & Sons: Hoboken, NJ, USA, 2012. [Google Scholar]
- Squires, T.M.; Messinger, R.J.; Manalis, S.R. Making it stick: Convection, reaction and diffusion in surface-based biosensors. Nat. Biotechnol. 2008, 26, 417–426. [Google Scholar] [CrossRef] [PubMed]
- Yariv, E. Small Péclet-number mass transport to a finite strip: An advection–diffusion–reaction model of surface-based biosensors. J. Appl. Math. 2020, 31, 763–781. [Google Scholar] [CrossRef]
- Rivero, P.J.; Goicoechea, J.; Arregui, F.J. Optical fiber sensors based on polymeric sensitive coatings. Polymers 2018, 10, 280. [Google Scholar] [CrossRef] [PubMed] [Green Version]












Publisher’s Note: MDPI stays neutral with regard to jurisdictional claims in published maps and institutional affiliations. |
© 2022 by the authors. Licensee MDPI, Basel, Switzerland. This article is an open access article distributed under the terms and conditions of the Creative Commons Attribution (CC BY) license (https://creativecommons.org/licenses/by/4.0/).
Share and Cite
Louw, K.I.; Bradshaw-Hajek, B.H.; Hill, J.M. Ferric Ion Diffusion for MOF-Polymer Composite with Internal Boundary Sinks. Nanomaterials 2022, 12, 887. https://doi.org/10.3390/nano12050887
Louw KI, Bradshaw-Hajek BH, Hill JM. Ferric Ion Diffusion for MOF-Polymer Composite with Internal Boundary Sinks. Nanomaterials. 2022; 12(5):887. https://doi.org/10.3390/nano12050887
Chicago/Turabian StyleLouw, Kirsten I., Bronwyn H. Bradshaw-Hajek, and James M. Hill. 2022. "Ferric Ion Diffusion for MOF-Polymer Composite with Internal Boundary Sinks" Nanomaterials 12, no. 5: 887. https://doi.org/10.3390/nano12050887
APA StyleLouw, K. I., Bradshaw-Hajek, B. H., & Hill, J. M. (2022). Ferric Ion Diffusion for MOF-Polymer Composite with Internal Boundary Sinks. Nanomaterials, 12(5), 887. https://doi.org/10.3390/nano12050887

