Synthesis and Characterization of Zinc and Vanadium Co-Substituted CoFe2O4 Nanoparticles Synthesized by Using the Sol-Gel Auto-Combustion Method
Abstract
1. Introduction
2. Materials and Methods
2.1. Materials
2.2. Samples Preparation
2.3. Characterization Technique
3. Results
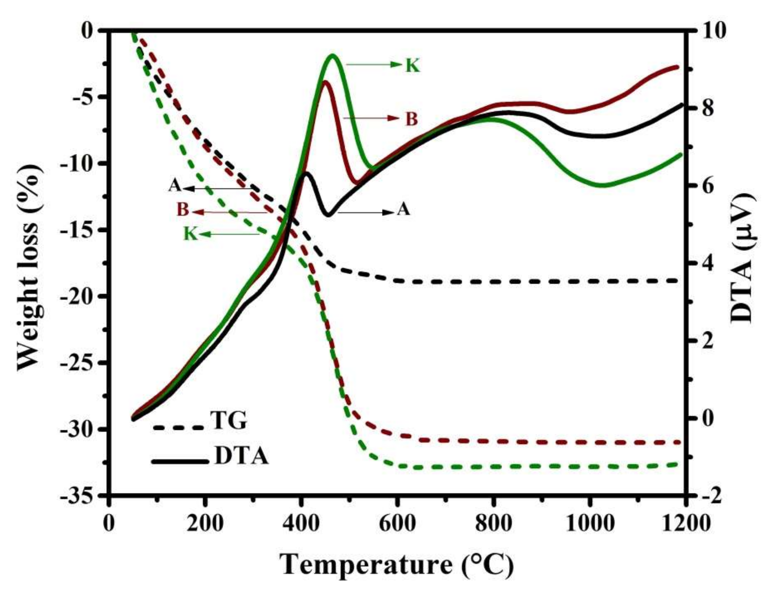
3.1. Thermal Behavior
3.2. X-ray Diffraction and Structural Studies
3.3. Microstructural Observations
3.4. FTIR
3.5. Magnetic Properties
4. Conclusions
Author Contributions
Funding
Conflicts of Interest
References
- Mathubala, G.; Manikandan, A.; Antony, S.A.; Ramar, P. Photocatalytic degradation of methylene blue dye and magneto- optical studies of magnetically recyclable spinel NixMn1−xFe2O4 (x = 0.0–1.0) nanoparticles. Nanoparticles 2016, 1113, 79–87. [Google Scholar] [CrossRef]
- El-Ghazzawy, E. Effect of heat treatment on structural, magnetic, elastic and optical properties of the co-precipitated Co0.4Sr0.6Fe2O4. J. Magn. Magn. Mater. 2019, 497, 166017. [Google Scholar] [CrossRef]
- Hema, E.; Manikandan, A.; Karthika, P.; Arul, S.; Venkatraman, B.R. A Novel Synthesis of Zn2+ -Doped CoFe2O4 Spinel Nanoparticles: Structural, Morphological, Opto-magnetic and Catalytic Properties. J. Supercond. Nov. Magn. 2015, 28, 2539–2552. [Google Scholar] [CrossRef]
- Javaid, R.; Nanba, T. MgFe2O4-Supported Ru Catalyst for Ammonia Synthesis: Promotive Effect of Chlorine. ChemistrySelect 2020, 5, 4312–4315. [Google Scholar] [CrossRef]
- Abasum, A.; Alghuthaymi, M.; Qazi, U.Y.; Shahid, I.; Abbas, Q.; Javaid, R.; Nadeem, N.; Zahid, M. UV-Accelerated Photocatalytic Degradation of Pesticide over Magnetite and Cobalt Ferrite Decorated Graphene Oxide Composite. Plants 2020, 10, 6. [Google Scholar] [CrossRef]
- Ramakrishna, A.; Murali, N.; Mammo, T.W.; Samatha, K.; Veeraiah, V. Structural and DC electrical resistivity, magnetic properties of Co0.5M0.5Fe2O4 (M=Ni, Zn, and Mg) ferrite nanoparticles. Phys. B Condens. Matter 2018, 534, 134–140. [Google Scholar] [CrossRef]
- Staruch, M.; Hires, D.; Violette, D.; Navarathne, D.; Sotzing, G.A.; Jain, M. Structural and magnetic properties of CoFe2O4and Co0.5Zn0.5Fe2O4nanoparticles for the magnetoelectric composite films. Integr. Ferroelectr. 2011, 131, 102–109. [Google Scholar] [CrossRef]
- Ansari, S.; Sinha, B.B.; Pai, K.R.; Bhat, S.K.; Ma, Y.-R.; Sen, D.; Kolekar, Y.D.; Ramana, C. Controlled surface/interface structure and spin enabled superior properties and biocompatibility of cobalt ferrite nanoparticles. Appl. Surf. Sci. 2018, 459, 788–801. [Google Scholar] [CrossRef]
- Sanpo, N.; Tharajak, J.; Li, Y.; Berndt, C.; Wen, C.; Wang, J. Biocompatibility of transition metal-substituted cobalt ferrite nanoparticles. J. Nanopart. Res. 2014, 16, 2510. [Google Scholar] [CrossRef]
- Habib, A.H.; Ondeck, C.L.; Chaudhary, P.; Bockstaller, M.R.; McHenry, M.E. Evaluation of iron-cobalt/ferrite core-shell nanoparticles for cancer thermotherapy. J. Appl. Phys. 2008, 103, 7–9. [Google Scholar] [CrossRef]
- Ahmad, S.I.; Rauf, A.; Mohammed, T.; Bahafi, A.; Kumar, D.R.; Suresh, M.B. Dielectric, impedance, AC conductivity and low-temperature magnetic studies of Ce and Sm co-substituted nanocrystalline cobalt ferrite. J. Magn. Magn. Mater. 2019, 492, 165666. [Google Scholar] [CrossRef]
- Haïk Dunn, I.; Jacobo, S.E.; Bercoff, P.G. Structural and magnetic influence of yttrium-for-iron substitution in cobalt ferrite. J. Alloys Compd. 2017, 691, 130–137. [Google Scholar] [CrossRef]
- Vaithyanathan, V.; Ugendar, K.; Chelvane, J.A.; Bharathi, K.K.; Inbanathan, S. Structural and magnetic properties of Sn and Ti doped Co ferrite. J. Magn. Magn. Mater. 2015, 382, 88–92. [Google Scholar] [CrossRef]
- Amiri, S.; Shokrollahi, H. The role of cobalt ferrite magnetic nanoparticles in medical science. Mater. Sci. Eng. C 2013, 33, 1–8. [Google Scholar] [CrossRef] [PubMed]
- Afshari, M.; Isfahani, A.-R.R.; Hasani, S.; Davar, F.; Ardakani, K.J. Effect of apple cider vinegar agent on the microstructure, phase evolution, and magnetic properties of CoFe2O4magnetic nanoparticles. Int. J. Appl. Ceram. Technol. 2019, 16, 1612–1621. [Google Scholar] [CrossRef]
- Joshi, S.; Kumar, M.; Chhoker, S.; Kumar, A.; Singh, M. Effect of Gd3+substitution on structural, magnetic, dielectric and optical properties of nanocrystalline CoFe2O. J. Magn. Magn. Mater. 2017, 426, 252–263. [Google Scholar] [CrossRef]
- Hashemi, S.M.; Hasani, S.; Ardakani, K.J.; Davar, F. The effect of simultaneous addition of ethylene glycol and agarose on the structural and magnetic properties of CoFe2O4 nanoparticles prepared by the sol-gel auto-combustion method. J. Magn. Magn. Mater. 2019, 492, 165714. [Google Scholar] [CrossRef]
- Ghosh, M.P. Microstructural, magnetic, and hyperfine characterizations of Cu—Doped cobalt ferrite nanoparticles. J. Am. Ceram. Soc. 2019, 102, 7509–7520. [Google Scholar] [CrossRef]
- Meng, X.; Li, H.; Chen, J.; Mei, L.; Wang, K.; Li, X. Mössbauer study of cobalt ferrite nanocrystals substituted with Mo rare-earth Y3+ ions. J. Magn. Magn. Mater. 2009, 321, 1155–1158. [Google Scholar] [CrossRef]
- Patankar, K.K.; Ghone, D.M.; Mathe, V.L.; Kaushik, S.D. Structural and physical property study of sol–gel synthesized CoFe2−xHoxO4nano ferrites. J. Magn. Magn. Mater. 2018, 454, 71–77. [Google Scholar] [CrossRef]
- Dippong, T.; Cadar, O.; Levei, E.A.; Deac, I.G.; Diamandescu, L.; Barbu-Tudoran, L. Influence of cobalt ferrite content on the structure and magnetic properties of (CoFe2O4)X (SiO2-PVA)100-X nanocomposites. Ceram. Int. 2018, 44, 7891–7901. [Google Scholar] [CrossRef]
- Gul, I.H.; Maqsood, A. Structural, magnetic and electrical properties of cobalt ferrites prepared by the sol–gel route. J. Alloys Compd. 2008, 465, 227–231. [Google Scholar] [CrossRef]
- Mohamed, R.; Rashad, M.; Haraz, F.; Sigmund, W. Structure and magnetic properties of nanocrystalline cobalt ferrite powders synthesized using organic acid precursor method. J. Magn. Magn. Mater. 2010, 322, 2058–2064. [Google Scholar] [CrossRef]
- Sanchez-Marcos, J.; Mazario, E.; Rodriguez-Velamazan, J.; Salas, E.; Herrasti, P.; Menendez, N. Cation distribution of cobalt ferrite electrosynthesized nanoparticles. A methodological comparison. J. Alloys Compd. 2018, 739, 909–917. [Google Scholar] [CrossRef]
- Karimi, Z.; Mohammadifar, Y.; Shokrollahi, H.; Asl, S.K.; Yousefi, G.; Karimi, L. Magnetic and structural properties of nano sized Dy-doped cobalt ferrite synthesized by co-precipitation. J. Magn. Magn. Mater. 2014, 361, 150–156. [Google Scholar] [CrossRef]
- Javaid, R.; Nanba, T. Effect of preparation method and reaction parameters on catalytic activity for ammonia synthesis. Int. J. Hydrogen Energy 2021, 46, 35209–35218. [Google Scholar] [CrossRef]
- Jnaneshwara, D.; Avadhani, D.; Prasad, B.D.; Nagabhushana, B.; Nagabhushana, H.; Sharma, S.; Prashantha, S.; Shivakumara, C. Effect of zinc substitution on the nanocobalt ferrite powders for nanoelectronic devices. J. Alloys Compd. 2014, 587, 50–58. [Google Scholar] [CrossRef]
- Yonatan Mulushoa, S.; Murali, N.; Tulu Wegayehu, M.; Margarette, S.J.; Samatha, K. Influence of Cu-Cr substitution on structural, morphological, electrical and magnetic properties of magnesium ferrite. Results Phys. 2018, 8, 772–779. [Google Scholar] [CrossRef]
- Gheisari, K.; Javadpour, S.; Shokrollahi, H.; Hashemi, B. Magnetic losses of the soft magnetic composites consisting of iron and Ni–Zn ferrite. J. Magn. Magn. Mater. 2008, 320, 1544–1548. [Google Scholar] [CrossRef]
- Yadav, R.S.; Havlica, J.; Kuřitka, I.; Kozakova, Z.; Palou, M.; Bartoníčková, E.; Boháč, M.; Frajkorová, F.; Masilko, J.; Kalina, L.; et al. Magnetic Properties of Dysprosium-Doped Cobalt Ferrite Nanoparticles Synthesized by Starch-Assisted Sol-Gel Auto-combustion Method. J. Supercond. Nov. Magn. 2015, 28, 2097–2107. [Google Scholar] [CrossRef]
- Rouhani, A.R.; Esmaeil-Khanian, A.H.; Davar, F.; Hasani, S. The effect of agarose content on the morphology, phase evolution, and magnetic properties of CoFe2O4 nanoparticles prepared by sol-gel autocombustion method. Int. J. Appl. Ceram. Technol. 2017, 15, 758. [Google Scholar] [CrossRef]
- Sakka, S.; Petrykin, V.; Kakihana, M. Sol-Gel Science and Technology. Sol-Gel Processing; Springer Science & Business Media: Berlin/Heidelberg, Germany, 2005; p. 680. [Google Scholar]
- Sanpo, N.; Wang, J.; Berndt, C.C. Sol-Gel Synthesized Copper-Substituted Cobalt Ferrite Nanoparticles for Biomedical Applications. J. Nano Res. 2013, 22, 95–106. [Google Scholar] [CrossRef]
- Davar, F.; Shayan, N.; Hojjati-Najafabadi, A.; Sabaghi, V.; Hasani, S. Development of ZrO2-MgO nanocomposite powders by the modified sol-gel method. Int. J. Appl. Ceram. Technol. 2017, 14, 211–219. [Google Scholar] [CrossRef]
- Amiri, M.; Salavati-Niasari, M.; Akbari, A. Magnetic nanocarriers: Evolution of spinel ferrites for medical applications. Adv. Colloid Interface Sci. 2019, 265, 29–44. [Google Scholar] [CrossRef] [PubMed]
- Topkaya, R.; Kurtan, U.; Junejo, Y.; Baykal, A. Sol–gel auto combustion synthesis of CoFe2O4/1-methyl-2-pyrrolidone nanocomposite with ethylene glycol: Its magnetic characterization. Mater. Res. Bull. 2013, 48, 3247–3253. [Google Scholar] [CrossRef]
- Rani, B.J.; Ravina, M.; Saravanakumar, B.; Ravi, G.; Ganesh, V.; Ravichandran, S.; Yuvakkumar, R. Ferrimagnetism in cobalt ferrite (CoFe2O4) nanoparticles. Nano-Struct. Nano-Objects 2018, 14, 84–91. [Google Scholar] [CrossRef]
- Tatarchuk, T.; Paliychuk, N.; Bououdina, M.; Al-Najar, B.; Pacia, M.; Macyk, W.; Shyichuk, A. Effect of cobalt substitution on structural, elastic, magnetic and optical properties of zinc ferrite nanoparticles. J. Alloys Compd. 2018, 731, 1256–1266. [Google Scholar] [CrossRef]
- Kokare, M.; Jadhav, N.A.; Kumar, Y.; Jadhav, K.M.; Rathod, S. Effect of Nd3+ doping on structural and magnetic properties of Ni0.5Co0.5Fe2O4 nanocrystalline ferrites synthesized by sol-gel auto combustion method. J. Alloys Compd. 2018, 748, 1053–1061. [Google Scholar] [CrossRef]
- Lima, A.; Peres, A.; Araújo, J.; Morales, M.; Medeiros, S.; Soares, J.S.; Melo, D.; Carriço, A. The effect of Sr2+ on the structure and magnetic properties of nanocrystalline cobalt ferrite. Mater. Lett. 2015, 145, 56–58. [Google Scholar] [CrossRef]
- Kumar, L.; Kumar, P.; Kar, M. Cation distribution by Rietveld technique and magnetocrystalline anisotropy of Zn substituted nanocrystalline cobalt ferrite. J. Alloys Compd. 2013, 551, 72–81. [Google Scholar] [CrossRef]
- Dippong, T.; Goga, F.; Levei, E.-A.; Cadar, O. Influence of zinc substitution with cobalt on thermal behaviour, structure and morphology of zinc ferrite embedded in silica matrix. J. Solid State Chem. 2019, 275, 159–166. [Google Scholar] [CrossRef]
- Imanipour, P.; Hasani, S.; Seifoddini, A.; Farnia, A.; Karimabadi, F.; Jahanbani-Ardakani, K.; Davar, F. The possibility of vanadium substitution on Co lattice sites in CoFe2O4 synthesized by sol-gel autocombustion method. J. Sol-Gel Sci. Technol. 2020, 95, 157–167. [Google Scholar] [CrossRef]
- Nakagomi, F.; de Souza, P.E.N.; Castro, T.; Garg, V.; Oliveira, A.; e Silva, F.; Franco, A.; Morais, P.; da Silva, S.W. Cation distribution of Zn Co1-Fe2O4 nanoparticles: A resonant X-ray diffraction study. J. Alloys Compd. 2020, 842, 155751. [Google Scholar] [CrossRef]
- Heiba, Z.K.; Mohamed, M.B.; Ahmed, S. Cation distribution correlated with magnetic properties of cobalt ferrite nanoparticles defective by vanadium doping. J. Magn. Magn. Mater. 2017, 441, 409–416. [Google Scholar] [CrossRef]
- Singhal, S.; Namgyal, T.; Bansal, S.; Chandra, K. Effect of Zn Substitution on the Magnetic Properties of Cobalt Ferrite Nano Particles Prepared Via Sol-Gel Route. J. Electromagn. Anal. Appl. 2010, 2, 376–381. [Google Scholar] [CrossRef][Green Version]
- Imanipour, P.; Hasani, S.; Afshari, M.; Sheykh, S.; Seifoddini, A.; Jahanbani-Ardakani, K. The effect of divalent ions of zinc and strontium substitution on the structural and magnetic properties on the cobalt site in cobalt ferrite. J. Magn. Magn. Mater. 2020, 510, 166941. [Google Scholar] [CrossRef]
- Zare, S.; Ati, A.A.; Dabagh, S.; Rosnan, R.; Othaman, Z. Synthesis, structural and magnetic behavior studies of Zn–Al substituted cobalt ferrite nanoparticles. J. Mol. Struct. 2015, 1089, 25–31. [Google Scholar] [CrossRef]
- Mustafa, G.; Islam, M.U.; Zhang, W.; Arshad, M.I.; Jamil, Y.; Anwar, H.; Murtaza, G.; Hussain, M.; Ahmad, M. Investigation of the Role of Ce3+ Substituted Ions on Dielectric Properties of Co-Cr Ferrites Prepared by Co-precipitation Method. J. Electron. Mater. 2016, 45, 5830–5838. [Google Scholar] [CrossRef]
- Mustafa, G.; Islam, M.U.; Zhang, W.; Anwar, A.W.; Jamil, Y.; Murtaza, G.; Ali, I.; Hussain, M.; Ali, A.; Ahmad, M. Influence of the divalent and trivalent ions substitution on the structural and magnetic properties of Mg0.5−xCdxCo0.5Cr0.04TbyFe1.96−yO4 ferrites prepared by sol–gel method. J. Magn. Magn. Mater. 2015, 387, 147–154. [Google Scholar] [CrossRef]
- Cullity, B.D. Elements of X-ray Diffraction, 2nd ed.; Addison-Wesley Publishing Co.: New York, NY, USA, 1978. [Google Scholar]
- Scherrer, P. Determination of size and inner structure of colloidal particles by X-ray (Bestimmung der Grösse und der inneren Struktur von Kolloidteilchen mittels Röntgenstrahlen). Nachrichten von der Gesellschaft der Wissenschaften zu Göttingen. Math Klasse 1918, 1918, 98–100. [Google Scholar]
- Dippong, T.; Levei, E.A.; Deac, I.G.; Neag, E.; Cadar, O. Influence of Cu2+, Ni2+, and Zn2+ Ions Doping on the Structure, Morphology, and Magnetic Properties of Co-Ferrite Embedded in SiO2 Matrix Obtained by an Innovative Sol-Gel Route. Nanomaterials 2020, 10, 580. [Google Scholar] [CrossRef] [PubMed]
- Anugraha, A.; Lakshmi, V.K.; Kumar, G.S.; Raguram, T.; Rajni, K.S. Synthesis and Characterisation of Copper Substituted Cobalt Ferrite Nanoparticles by Sol-Gel Auto Combustion Route. In IOP Conference Series: Materials Science and Engineering, Proceedings of the International Conference on Advances in Materials and Manufacturing Applications (IConAMMA-2018), Bengaluru, India, 16–18 August 2018; IOP Publishing: Bristol, UK, 2019; Volume 577. [Google Scholar]
- Jesus Mercy, S.; Murali, N.; Ramakrishna, A.; Ramakrishna, Y.; Veeraiah, V.; Samatha, K. Microstructural, thermal, electrical and magnetic analysis of Mg2+ substituted Cobalt ferrite. Appl. Phys. A Mater. Sci. Process 2020, 126, 873. [Google Scholar] [CrossRef]
- Shayestefar, M.; Mashreghi, A.; Hasani, S.; Rezvan, M.T. Optimization of the structural and magnetic properties of MnFe2O4 doped by Zn and Dy using Taguchi method. J. Magn. Magn. Mater. 2021, 541, 168390. [Google Scholar] [CrossRef]
- Khodair, Z.T.; Mohammad, A.M.; Khadom, A.A. Investigations of structural and magnetic properties of Cu1−xVxO nanostructures prepared by sol-gel method. Chem. Data Collect. 2019, 25, 100315. [Google Scholar] [CrossRef]
- Jadhav, S.S.; Shirsath, S.E.; Patange, S.M.; Jadhav, K.M. Effect of Zn substitution on magnetic properties of nanocrystalline cobalt ferrite. J. Appl. Phys. 2010, 108, 093920. [Google Scholar] [CrossRef]







| Sample Code | Chemical Composition | |
|---|---|---|
| A | CoFe2O4 | |
| B | Co0.5Zn0.5Fe2O4 | |
| C | CoFe1.75V0.25O4 | |
| D | Co0.9Zn0.1Fe1.95V0.05O4 | |
| E | Co0.9Zn0.1Fe1.90V0.15O4 | |
| F | Co0.9Zn0.1Fe1.75V0.25O4 | |
| G | Co0.8Zn0.2Fe1.95V0.05O4 | |
| H | Co0.8Zn0.2Fe1.85V0.15O4 | |
| I | Co0.8Zn0.2Fe1.75V0.25O4 | |
| J | Co0.5Zn0.5Fe1.95V0.05O4 | |
| K | Co0.5Zn0.5Fe1.85V0.15O4 | |
| L | Co0.5Zn0.5Fe1.75V0.25O4 |
| Samples | DTA Peak Temp. (°C) | TG-Mass Loss (%) | ||||||||
|---|---|---|---|---|---|---|---|---|---|---|
| i | ii | iii | i | ii | ||||||
| A | 277.8 | 409.8 | 826.2 | 13.1 | 17.6 | |||||
| B | 282.0 | 450.1 | 852.5 | 15.6 | 28.8 | |||||
| K | 292.0 | 463.9 | 792.6 | 16.4 | 31.6 | |||||
| Sample Code | Crystallite/Grain Size (nm) | X-ray Density (gr/cm3) | Lattice Parameter (Å) | Volume (Å3) | ||||||||||
|---|---|---|---|---|---|---|---|---|---|---|---|---|---|---|
| XRD | FE-SEM | |||||||||||||
| Debye-Scherrer’ Formula | Rietveld Analysis | Rietveld Analysis | XRD | |||||||||||
| A | 45 | 74.3 | 63.9 | 5.32 | 8.39275 | 8.364 | 585.11 | |||||||
| B | 30.33 | 31.1 | 46.6 | 5.23 | 8.42654 | 8.409 | 594.61 | |||||||
| C | 32.39 | 34.3 | - | 5.41 | 8.38041 | 8.318 | 575.53 | |||||||
| D | 29.11 | 46.9 | - | 5.27 | 8.38874 | 8.387 | 590.11 | |||||||
| E | 30.98 | 42.4 | - | 5.33 | 8.38933 | 8.357 | 583.83 | |||||||
| F | 36.44 | 52.0 | - | 5.36 | 8.38883 | 8.345 | 581.06 | |||||||
| G | 23.86 | 43.1 | - | 5.32 | 8.39411 | 8.364 | 585.22 | |||||||
| H | 25.54 | 36.9 | - | 5.73 | 8.40177 | 8.371 | 586.62 | |||||||
| I | 24.67 | 39.1 | - | 5.32 | 8.40215 | 8.364 | 585.22 | |||||||
| J | 32.35 | 39.5 | 65.31 | 5.31 | 8.42509 | 8.367 | 585.92 | |||||||
| K | 38.31 | 61.0 | 59.3 | 5.29 | 8.42363 | 8.377 | 588.01 | |||||||
| L | 32.35 | 49.5 | - | 5.30 | 8.42048 | 8.374 | 587.31 | |||||||
| Sample Code | Ms (emu/g) | Hc (Oe) | Mr (emu/g) | K × 104 (erg/g) | nB | Mr/Ms |
|---|---|---|---|---|---|---|
| A | 65.6 | 820.3 | 33.9 | 5.50 | 2.75 | 0.51 |
| B | 60.7 | 84.4 | 13 | 5.22 | 2.54 | 0.21 |
| C | 62.7 | 913.6 | 21.8 | 5.84 | 2.63 | 0.34 |
| D | 49.8 | 204.9 | 6.8 | 1.04 | 2.09 | 0.13 |
| E | 76.4 | 415.9 | 21.7 | 3.24 | 3.20 | 0.28 |
| F | 62.6 | 458 | 15.8 | 2.92 | 2.62 | 0.25 |
| G | 56.3 | 96.8 | 5 | 0.55 | 2.36 | 0.08 |
| H | 83.1 | 202.6 | 15 | 1.71 | 3.49 | 0.18 |
| I | 71.2 | 184.3 | 12.8 | 1.33 | 2.99 | 0.17 |
| J | 30.5 | 15.7 | 0.94 | 0.04 | 1.28 | 0.03 |
| K | 54.3 | 35.8 | 3.5 | 0.19 | 2.28 | 0.06 |
| L | 50.7 | 27.2 | 2.9 | 0.14 | 2.12 | 0.05 |
Publisher’s Note: MDPI stays neutral with regard to jurisdictional claims in published maps and institutional affiliations. |
© 2022 by the authors. Licensee MDPI, Basel, Switzerland. This article is an open access article distributed under the terms and conditions of the Creative Commons Attribution (CC BY) license (https://creativecommons.org/licenses/by/4.0/).
Share and Cite
Imanipour, P.; Hasani, S.; Seifoddini, A.; Nabiałek, M. Synthesis and Characterization of Zinc and Vanadium Co-Substituted CoFe2O4 Nanoparticles Synthesized by Using the Sol-Gel Auto-Combustion Method. Nanomaterials 2022, 12, 752. https://doi.org/10.3390/nano12050752
Imanipour P, Hasani S, Seifoddini A, Nabiałek M. Synthesis and Characterization of Zinc and Vanadium Co-Substituted CoFe2O4 Nanoparticles Synthesized by Using the Sol-Gel Auto-Combustion Method. Nanomaterials. 2022; 12(5):752. https://doi.org/10.3390/nano12050752
Chicago/Turabian StyleImanipour, Parvin, Saeed Hasani, Amir Seifoddini, and Marcin Nabiałek. 2022. "Synthesis and Characterization of Zinc and Vanadium Co-Substituted CoFe2O4 Nanoparticles Synthesized by Using the Sol-Gel Auto-Combustion Method" Nanomaterials 12, no. 5: 752. https://doi.org/10.3390/nano12050752
APA StyleImanipour, P., Hasani, S., Seifoddini, A., & Nabiałek, M. (2022). Synthesis and Characterization of Zinc and Vanadium Co-Substituted CoFe2O4 Nanoparticles Synthesized by Using the Sol-Gel Auto-Combustion Method. Nanomaterials, 12(5), 752. https://doi.org/10.3390/nano12050752

