Graphene-Based Nanofluids: Production Parameter Effects on Thermophysical Properties and Dispersion Stability
Abstract
:1. Introduction
2. Experimental Procedure
2.1. Materials and Equipment
2.2. Powder Analysis
2.3. Base Fluid Property Analysis
2.4. Dispersion Fabrication
2.5. Suspension Thermophysical Property and Physical Stability
3. Results and Discussion
3.1. X-ray Diffraction Characterization
3.2. FE-SEM and EDS Characterization
3.3. Base Fluid Thermophysical Properties Measurement
3.4. Suspension Thermophysical Properties Characterization
4. Limitations and Future Research Direction
5. Conclusions
- Adding a surfactant (i.e., SDS) increases the physical stability of graphene-based suspensions. However, it lowers their thermal conductivity and specific heat capacity.
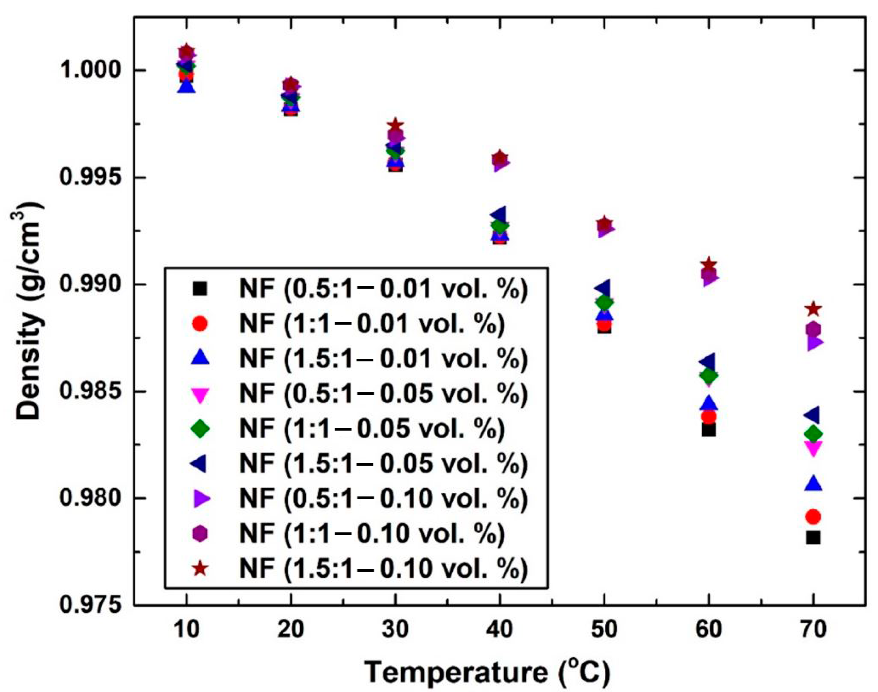
- The density of the base fluid increases with the increase in disperse particle concentration as well as the surfactant weight ratio. On the other hand, the property decreases with the rise in base fluid/nanofluid temperature.
- The specific heat capacity was shown to be very sensitive to both surfactant and nanomaterial concentrations, where increasing the concentration of either of these factors resulted in a reduction in the property. However, the production temperature was shown to have significantly less effect on the specific heat capacity of the suspension.
- The thermal conductivity of the suspension was found to be highly influenced by the production temperature compared to the concentrations of the dispersed graphene nanoplatelets and surfactant, which demonstrated that these two factors have less impact on the property.
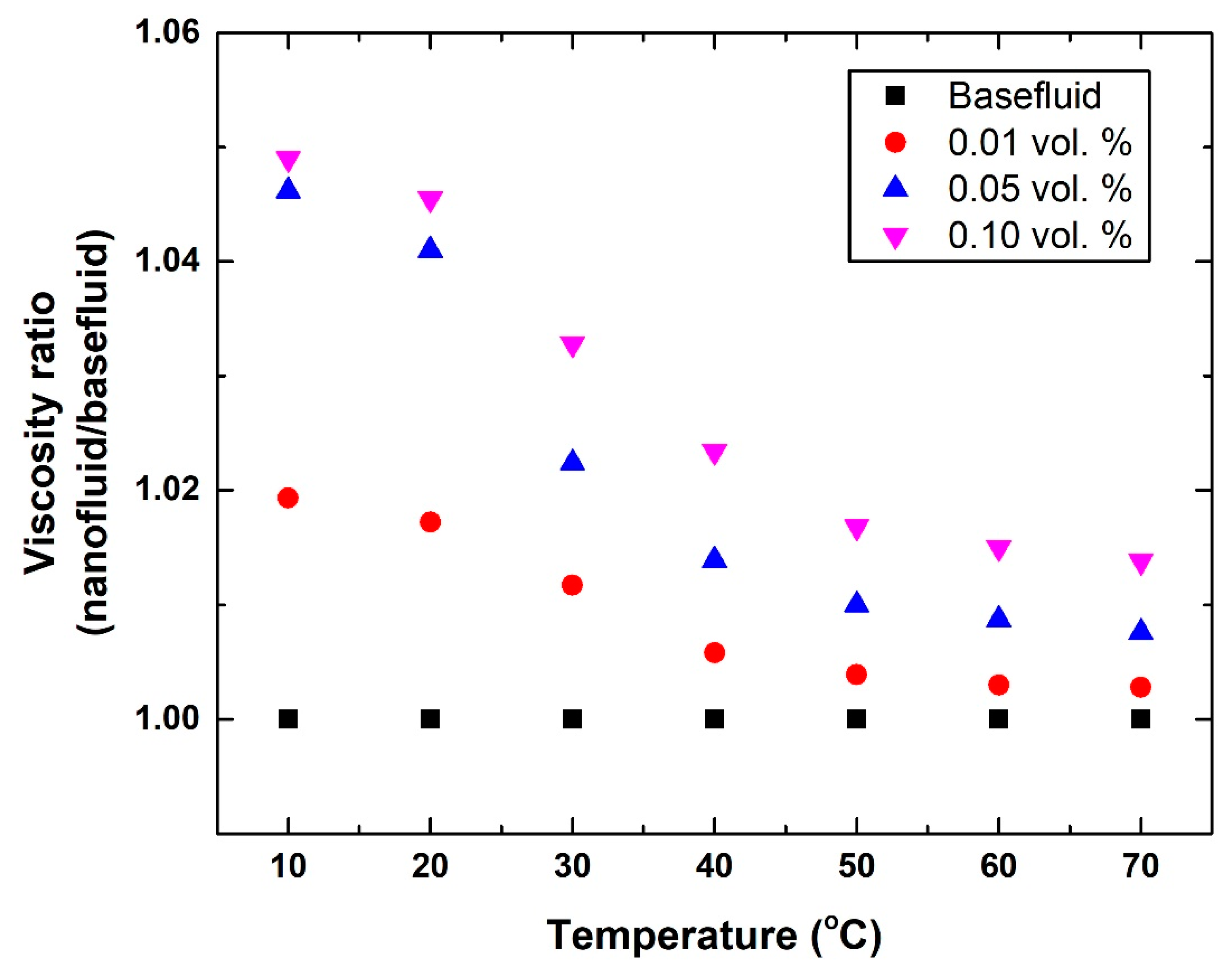
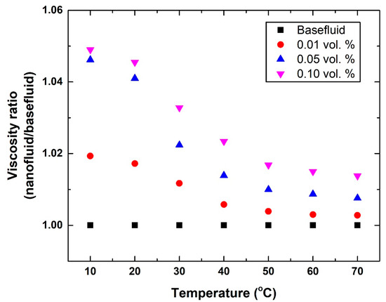
- On the other hand, the viscosity was found to increase with the increase in nanomaterial concentration and reduce with the increase in production temperature. In addition, the surfactant concentration showed no effect on the property, which is believed to be attributed to the low concentration used in the investigation.
- The physical stability analysis showed that the low surfactant weight ratio (i.e., 0.5:1 of SDS to graphene wt. %) could maintain a good dispersion stability for 24 hours. However, using higher surfactant weight ratios can extend the physical stability of the graphene–water nanofluids for 45 days.
Funding
Data Availability Statement
Acknowledgments
Conflicts of Interest
Nomenclature
| CNTs | Carbon nanotubes |
| EDS | Energy dispersive X-ray spectroscopy |
| EG | Ethylene glycol |
| Shape factor (~0.9) | |
| FE-SEM | Field emission scanning electron microscopy |
| HE | Heat exchanger |
| Mass (kg) | |
| SDS | Sodium dodecyl sulfate |
| Volume (m3) | |
| vol. % | Volume percentage |
| wt. % | Weight percentage |
| XRD | X-ray diffraction |
| Greek letters | |
| Bragg angle | |
| Full width at half the maximum of the diffraction peak | |
| Wavelength (~0.1541 nm) | |
| Kinematic viscosity (m2/s) | |
| Dynamic viscosity (mPa·s) | |
| Density (kg/cm3) | |
| Subscripts | |
| Base fluid | |
| Graphene nanoplatelets | |
| , , and planes |
References
- Almurtaji, S.; Ali, N.; Teixeira, J.A.; Addali, A. On the role of nanofluids in thermal-hydraulic performance of heat exchangers-a review. Nanomaterials 2020, 10, 734. [Google Scholar] [CrossRef] [Green Version]
- Kumar, V.; Tiwari, A.K.; Ghosh, S.K. Application of nanofluids in plate heat exchanger: A review. Energy Convers. Manag. 2015, 105, 1017–1036. [Google Scholar] [CrossRef]
- Thulukkanam, K. Heat Exchanger Design Handbook; CRC Press: Boca Raton, FL, USA, 2013. [Google Scholar]
- Masuda, H.; Ebata, A.; Teramae, K. Alteration of thermal conductivity and viscosity of liquid by dispersing ultra-fine particles. Sci. Inf. Database 1993, 7, 227–233. [Google Scholar]
- Choi, S.U.S.; Eastman, J.A. Enhancing thermal conductivity of fluids with nanoparticles. In Proceedings of the 1995 International Mechanical Engineering Congress and Exhibition, San Francisco, CA, USA, 12–17 November 1995; PBD: October 1995; Argonne National Lab.: Lemont, IL, USA, 1995. [Google Scholar]
- Mukherjee, S.; Mishra, P.C.; Chaudhuri, P.; Ali, N.; Ebrahim, S.A. Nucleate pool boiling performance of water/titania nanofluid: Experiments and prediction modeling. Phys. Fluids 2021, 33, 112007. [Google Scholar] [CrossRef]
- Ali, N.; Teixeira, J.A.; Addali, A. A review on nanofluids: Fabrication, stability, and thermophysical properties. J. Nanomater. 2018, 2018, 6978130. [Google Scholar] [CrossRef]
- Moita, A.; Moreira, A.; Pereira, J. Nanofluids for the next generation thermal management of electronics: A review. Symmetry 2021, 13, 1362. [Google Scholar] [CrossRef]
- Mukherjee, S.; Ebrahim, S.; Mishra, P.C.; Ali, N.; Chaudhuri, P. A review on pool and flow boiling enhancement using nanofluids: Nuclear reactor application. Processes 2022, 10, 177. [Google Scholar] [CrossRef]
- Pop, E.; Varshney, V.; Roy, A.K. Thermal properties of graphene: Fundamentals and applications. MRS Bull. 2012, 37, 1273–1281. [Google Scholar] [CrossRef] [Green Version]
- Han, Z.; Fina, A. Thermal conductivity of carbon nanotubes and their polymer nanocomposites: A review. Prog. Polym. Sci. 2011, 36, 914–944. [Google Scholar] [CrossRef] [Green Version]
- Sezer, N.; Atieh, M.A.; Koç, M. A comprehensive review on synthesis, stability, thermophysical properties, and characterization of nanofluids. Powder Technol. 2019, 344, 404–431. [Google Scholar] [CrossRef]
- Mashali, F.; Languri, E.M.; Davidson, J.; Kerns, D.; Johnson, W.; Nawaz, K.; Cunningham, G. Thermo-physical properties of diamond nanofluids: A review. Int. J. Heat Mass Transf. 2019, 129, 1123–1135. [Google Scholar] [CrossRef]
- Said, Z.; Sundar, L.S.; Tiwari, A.K.; Ali, H.M.; Sheikholeslami, M.; Bellos, E.; Babar, H. Recent advances on the fundamental physical phenomena behind stability, dynamic motion, thermophysical properties, heat transport, applications, and challenges of nanofluids. Phys. Rep. 2021. [Google Scholar] [CrossRef]
- Yang, L.; Jin, X.; Zhang, Y.; Du, K. Recent development on heat transfer and various applications of phase-change materials. J. Clean. Prod. 2021, 287, 124432. [Google Scholar] [CrossRef]
- Khoramian, R.; Kharrat, R.; Golshokooh, S. The development of novel nanofluid for enhanced oil recovery application. Fuel 2022, 311, 122558. [Google Scholar] [CrossRef]
- Cao, J.; Chen, Y.; Zhang, J.; Wang, X.; Wang, J.; Shi, C.; Ning, Y.; Wang, X. Preparation and application of nanofluid flooding based on polyoxyethylated graphene oxide nanosheets for enhanced oil recovery. Chem. Eng. Sci. 2022, 247, 117023. [Google Scholar] [CrossRef]
- Venkatesh, T.; Manikandan, S.; Selvam, C.; Harish, S. Performance enhancement of hybrid solar pv/t system with graphene based nanofluids. Int. Commun. Heat Mass Transf. 2022, 130, 105794. [Google Scholar] [CrossRef]
- Alshuraiaan, B. Evaluation of the thermal performance of various nanofluids used to harvest solar energy. Energy Ecol. Environ. 2021, 6, 531–539. [Google Scholar] [CrossRef]
- Sadeghinezhad, E.; Mehrali, M.; Saidur, R.; Mehrali, M.; Tahan Latibari, S.; Akhiani, A.R.; Metselaar, H.S.C. A comprehensive review on graphene nanofluids: Recent research, development and applications. Energy Convers. Manag. 2016, 111, 466–487. [Google Scholar] [CrossRef]
- Ali, N.; Bahman, A.M.; Aljuwayhel, N.F.; Ebrahim, S.A.; Mukherjee, S.; Alsayegh, A. Carbon-based nanofluids and their advances towards heat transfer applications—a review. Nanomaterials 2021, 11, 1628. [Google Scholar] [CrossRef]
- Alsayegh, A.; Ali, N. Gas turbine intercoolers: Introducing nanofluids—A mini-review. Processes 2020, 8, 1572. [Google Scholar] [CrossRef]
- Almurtaji, S.; Ali, N.; Teixeira, J.A.; Addali, A. Effect of multi-walled carbon nanotubes-based nanofluids on marine gas turbine intercooler performance. Nanomaterials 2021, 11, 2300. [Google Scholar] [CrossRef] [PubMed]
- Naser, A.; Teixeira, J.A.; Addali, A. New ph correlations for stainless steel 316l, alumina, and copper(i) oxide nanofluids fabricated at controlled sonication temperatures. J. Nano. Res. 2019, 58, 125–138. [Google Scholar] [CrossRef] [Green Version]
- Ali, N.; Teixeira, J.A.; Addali, A. Aluminium nanofluids stability: A comparison between the conventional two-step fabrication approach and the controlled sonication bath temperature method. J. Nanomater. 2019, 2019, 3930572. [Google Scholar] [CrossRef] [Green Version]
- Mukherjee, S.; Mishra, P.C.; Chaudhuri, P.; Chakraborty, S. Contributory effect of diffusive heat conduction and brownian motion on thermal conductivity enhancement of nanofluids. Pramana 2020, 94, 150. [Google Scholar] [CrossRef]
- Tawfik, M.M. Experimental studies of nanofluid thermal conductivity enhancement and applications: A review. Renew. Sustain. Energy Rev. 2017, 75, 1239–1253. [Google Scholar] [CrossRef] [Green Version]
- Yiamsawas, T.; Mahian, O.; Dalkilic, A.S.; Kaewnai, S.; Wongwises, S. Experimental studies on the viscosity of TiO2 and Al2O3 nanoparticles suspended in a mixture of ethylene glycol and water for high temperature applications. Appl. Energy 2013, 111, 40–45. [Google Scholar] [CrossRef]
- Walters, K.; Jones, W.M. Measurement of viscosity. In Instrumentation Reference Book; Boyes, W., Ed.; Butterworth-Heinemann: Boston, MA, USA, 2010; pp. 69–75. [Google Scholar]
- Żyła, G.; Cholewa, M. On unexpected behavior of viscosity of diethylene glycol-based mgal2o4 nanofluids. RSC Adv. 2014, 4, 26057–26062. [Google Scholar] [CrossRef]
- Jozwiak, B.; Dzido, G.; Zorebski, E.; Kolanowska, A.; Jedrysiak, R.; Dziadosz, J.; Libera, M.; Boncel, S.; Dzida, M. Remarkable thermal conductivity enhancement in carbon-based ionanofluids: Effect of nanoparticle morphology. ACS Appl. Mater. Interfaces 2020, 12, 38113–38123. [Google Scholar] [CrossRef]
- Li, M.-J.; Li, M.-J.; He, Y.-L.; Tao, W.-Q. A novel semi-empirical model on predicting the thermal conductivity of diathermic oil-based nanofluid for solar thermal application. Int. J. Heat Mass Transf. 2019, 138, 1002–1013. [Google Scholar] [CrossRef]
- Xing, M.; Yu, J.; Wang, R. Experimental investigation and modelling on the thermal conductivity of cnts based nanofluids. Int. J. Therm. Sci. 2016, 104, 404–411. [Google Scholar] [CrossRef]
- Hemmat Esfe, M.; Saedodin, S.; Mahian, O.; Wongwises, S. Thermophysical properties, heat transfer and pressure drop of cooh-functionalized multi walled carbon nanotubes/water nanofluids. Int. Commun. Heat Mass Transf. 2014, 58, 176–183. [Google Scholar] [CrossRef]
- Hemmat Esfe, M.; Rahimi Raki, H.; Sarmasti Emami, M.R.; Afrand, M. Viscosity and rheological properties of antifreeze based nanofluid containing hybrid nano-powders of mwcnts and TiO2 under different temperature conditions. Powder Technol. 2019, 342, 808–816. [Google Scholar] [CrossRef]
- Anson-Casaos, A.; Ciria, J.C.; Sanahuja-Parejo, O.; Victor-Roman, S.; Gonzalez-Dominguez, J.M.; Garcia-Bordeje, E.; Benito, A.M.; Maser, W.K. The viscosity of dilute carbon nanotube (1d) and graphene oxide (2d) nanofluids. Phys. Chem. Chem. Phys. 2020, 22, 11474–11484. [Google Scholar] [CrossRef]
- Maxwell, J.C. The Scientific Papers of James Clerk Maxwell; University Press: New York, NY, USA, 1890; Volume 2. [Google Scholar]
- Paul, G.; Chopkar, M.; Manna, I.; Das, P.K. Techniques for measuring the thermal conductivity of nanofluids: A review. Renew. Sustain. Energy Rev. 2010, 14, 1913–1924. [Google Scholar] [CrossRef]
- Qiu, L.; Zhu, N.; Feng, Y.; Michaelides, E.E.; Żyła, G.; Jing, D.; Zhang, X.; Norris, P.M.; Markides, C.N.; Mahian, O. A review of recent advances in thermophysical properties at the nanoscale: From solid state to colloids. Phys. Rep. 2020, 843, 1–81. [Google Scholar] [CrossRef]
- Arora, N.; Mukherjee, S.; Mishra, P.C.; Chakrabarty, S.; Chaudhuri, P. Thermal conductivity enhancement of silica nanofluids for ultrafast cooling applications: Statistical modeling and economic analysis. Int. J. Thermophys. 2021, 42, 62. [Google Scholar] [CrossRef]
- Mukherjee, S.; Mishra, P.C.; Chaudhuri, P. Enhancing thermo-economic performance of TiO2-water nanofluids: An experimental investigation. JOM 2020, 72, 3958–3967. [Google Scholar] [CrossRef]
- Aravind, S.S.J.; Baskar, P.; Baby, T.T.; Sabareesh, R.K.; Das, S.; Ramaprabhu, S. Investigation of structural stability, dispersion, viscosity, and conductive heat transfer properties of functionalized carbon nanotube based nanofluids. J. Phys. Chem. C 2011, 115, 16737–16744. [Google Scholar] [CrossRef]
- Halelfadl, S.; Estellé, P.; Aladag, B.; Doner, N.; Maré, T. Viscosity of carbon nanotubes water-based nanofluids: Influence of concentration and temperature. Int. J. Therm. Sci. 2013, 71, 111–117. [Google Scholar] [CrossRef] [Green Version]
- Ding, Y.; Alias, H.; Wen, D.; Williams, R.A. Heat transfer of aqueous suspensions of carbon nanotubes (cnt nanofluids). Int. J. Heat Mass Transf. 2006, 49, 240–250. [Google Scholar] [CrossRef]
- Yang, L.; Xu, J.; Du, K.; Zhang, X. Recent developments on viscosity and thermal conductivity of nanofluids. Powder Technol. 2017, 317, 348–369. [Google Scholar] [CrossRef]
- Murshed, S.M.S.; Nieto de Castro, C.A. Superior thermal features of carbon nanotubes-based nanofluids—A review. Renew. Sustain. Energy Rev. 2014, 37, 155–167. [Google Scholar] [CrossRef]
- Yarmand, H.; Gharehkhani, S.; Shirazi, S.F.S.; Amiri, A.; Alehashem, M.S.; Dahari, M.; Kazi, S.N. Experimental investigation of thermo-physical properties, convective heat transfer and pressure drop of functionalized graphene nanoplatelets aqueous nanofluid in a square heated pipe. Energy Convers. Manag. 2016, 114, 38–49. [Google Scholar] [CrossRef]
- Ghozatloo, A.; Shariaty-Niasar, M.; Rashidi, A.M. Preparation of nanofluids from functionalized graphene by new alkaline method and study on the thermal conductivity and stability. Int. Commun. Heat Mass Transf. 2013, 42, 89–94. [Google Scholar] [CrossRef]
- Askari, S.; Lotfi, R.; Seifkordi, A.; Rashidi, A.M.; Koolivand, H. A novel approach for energy and water conservation in wet cooling towers by using mwnts and nanoporous graphene nanofluids. Energy Convers. Manag. 2016, 109, 10–18. [Google Scholar] [CrossRef]
- Pavía, M.; Alajami, K.; Estellé, P.; Desforges, A.; Vigolo, B. A critical review on thermal conductivity enhancement of graphene-based nanofluids. Adv. Colloid Interface Sci. 2021, 294, 102452. [Google Scholar] [CrossRef]
- Bahiraei, M.; Heshmatian, S. Graphene family nanofluids: A critical review and future research directions. Energy Convers. Manag. 2019, 196, 1222–1256. [Google Scholar] [CrossRef]
- Barai, D.P.; Bhanvase, B.A.; Sonawane, S.H. A review on graphene derivatives-based nanofluids: Investigation on properties and heat transfer characteristics. Ind. Eng. Chem. Res. 2020, 59, 10231–10277. [Google Scholar] [CrossRef]
- Yadav, P.; Gupta, S.M.; Sharma, S.K. A review on stabilization of carbon nanotube nanofluid. J. Therm. Anal. Calorim. 2021. [Google Scholar] [CrossRef]
- Yu, H.; Hermann, S.; Schulz, S.E.; Gessner, T.; Dong, Z.; Li, W.J. Optimizing sonication parameters for dispersion of single-walled carbon nanotubes. Chem. Phys. 2012, 408, 11–16. [Google Scholar] [CrossRef]
- Xia, G.; Jiang, H.; Liu, R.; Zhai, Y. Effects of surfactant on the stability and thermal conductivity of Al2O3/de-ionized water nanofluids. Int. J. Therm. Sci. 2014, 84, 118–124. [Google Scholar] [CrossRef]
- Wei, L.C. Heat Transfer Experiment on Forced Convection of a Nanofluid in a Microchannel Heat Sink; Department of Mechanical Engineering, National Cheng-Kung University: Tainan City, Taiwan, 2007. [Google Scholar]
- Lillo, I.; Pérez, E.; Moreno, S.; Silva, M. Process heat generation potential from solar concentration technologies in latin america: The case of argentina. Energies 2017, 10, 383. [Google Scholar] [CrossRef] [Green Version]
- Trong Tam, N.; Viet Phuong, N.; Hong Khoi, P.; Ngoc Minh, P.; Afrand, M.; Van Trinh, P.; Hung Thang, B.; Zyla, G.; Estelle, P. Carbon nanomaterial-based nanofluids for direct thermal solar absorption. Nanomaterials 2020, 10, 1199. [Google Scholar] [CrossRef]
- Mukherjee, S.; Panda, S.R.; Mishra, P.C.; Chaudhuri, P. Convective flow boiling heat transfer enhancement with aqueous Al2O3 and TiO2 nanofluids: Experimental investigation. Int. J. Thermophys. 2021, 42, 88. [Google Scholar] [CrossRef]
- Yu, W.; Xie, H. A review on nanofluids: Preparation, stability mechanisms, and applications. J. Nanomater. 2012, 2012, 1–17. [Google Scholar] [CrossRef] [Green Version]
- Pak, B.C.; Cho, Y.I. Hydrodynamic and heat transfer study of dispersed fluids with submicron metallic oxide particles. Exp. Heat Transf. 1998, 11, 151–170. [Google Scholar] [CrossRef]
- Jiang, B.; Peng, B.; Zhu, A.; Zhang, C.; Li, Y. Eco-friendly synthesis of graphene nanoplatelets via a carbonation route and its reinforcement for polytetrafluoroethylene composites. J. Mater. Sci. 2018, 53, 626–636. [Google Scholar] [CrossRef]
- Prolongo, S.G.; Jiménez-Suárez, A.; Moriche, R.; Ureña, A. Graphene nanoplatelets thickness and lateral size influence on the morphology and behavior of epoxy composites. Eur. Polym. J. 2014, 53, 292–301. [Google Scholar] [CrossRef]
- Khani, H.; Moradi, O. Influence of surface oxidation on the morphological and crystallographic structure of multi-walled carbon nanotubes via different oxidants. J. Nanostructure Chem. 2013, 3, 73. [Google Scholar] [CrossRef] [Green Version]
- Aqel, A.; El-Nour, K.M.M.A.; Ammar, R.A.A.; Al-Warthan, A. Carbon nanotubes, science and technology part (i) structure, synthesis and characterisation. Arab. J. Chem. 2012, 5, 1–23. [Google Scholar] [CrossRef] [Green Version]
- Ai, X.; Lin, J.; Chang, Y.; Zhou, L.; Zhang, X.; Qin, G. Phase modification of copper phthalocyanine semiconductor by converting powder to thin film. Appl. Surf. Sci. 2018, 428, 788–792. [Google Scholar] [CrossRef]
- Raleaooa, P.V.; Roodt, A.; Mhlongo, G.G.; Motaung, D.E.; Ntwaeaborwa, O.M. Analysis of the structure, particle morphology and photoluminescent properties of zns:Mn 2+ nanoparticulate phosphors. Opt.-Int. J. Light Electron Opt. 2018, 153, 31–42. [Google Scholar] [CrossRef]
- Rabiee, M.; Mirzadeh, H.; Ataie, A. Processing of cu-fe and cu-fe-sic nanocomposites by mechanical alloying. Adv. Powder Technol. 2017, 28, 1882–1887. [Google Scholar] [CrossRef]
- Minaei, S.; Haghighi, M.; Jodeiri, N.; Ajamein, H.; Abdollahifar, M. Urea-nitrates combustion preparation of ceo2-promoted Cuo/Zno/Al2O3 nanocatalyst for fuel cell grade hydrogen production via methanol steam reforming. Adv. Powder Technol. 2017, 28, 842–853. [Google Scholar] [CrossRef]
- Singh, D.K.; Iyer, P.K.; Giri, P.K. Diameter dependence of interwall separation and strain in multiwalled carbon nanotubes probed by x-ray diffraction and raman scattering studies. Diam. Relat. Mater. 2010, 19, 1281–1288. [Google Scholar] [CrossRef]
- Baboian, R. Corrosion Tests and Standards: Application and Interpretation; ASTM International: Danvers, MA, USA, 2005. [Google Scholar]
- Poling, B.E.; Prausnitz, J.M.; O’connell, J.P. The Properties of Gases and Liquids; Mcgraw-hill New York: New York, NY, USA, 2001; Volume 5. [Google Scholar]
- Cabaleiro, D.; Gracia-Fernández, C.; Legido, J.L.; Lugo, L. Specific heat of metal oxide nanofluids at high concentrations for heat transfer. Int. J. Heat Mass Transf. 2015, 88, 872–879. [Google Scholar] [CrossRef]
- Sabiha, M.A.; Mostafizur, R.M.; Saidur, R.; Mekhilef, S. Experimental investigation on thermo physical properties of single walled carbon nanotube nanofluids. Int. J. Heat Mass Transf. 2016, 93, 862–871. [Google Scholar] [CrossRef]
- Apmann, K.; Fulmer, R.; Soto, A.; Vafaei, S. Thermal conductivity and viscosity: Review and optimization of effects of nanoparticles. Materials 2021, 14, 1291. [Google Scholar] [CrossRef]












Publisher’s Note: MDPI stays neutral with regard to jurisdictional claims in published maps and institutional affiliations. |
© 2022 by the author. Licensee MDPI, Basel, Switzerland. This article is an open access article distributed under the terms and conditions of the Creative Commons Attribution (CC BY) license (https://creativecommons.org/licenses/by/4.0/).
Share and Cite
Ali, N. Graphene-Based Nanofluids: Production Parameter Effects on Thermophysical Properties and Dispersion Stability. Nanomaterials 2022, 12, 357. https://doi.org/10.3390/nano12030357
Ali N. Graphene-Based Nanofluids: Production Parameter Effects on Thermophysical Properties and Dispersion Stability. Nanomaterials. 2022; 12(3):357. https://doi.org/10.3390/nano12030357
Chicago/Turabian StyleAli, Naser. 2022. "Graphene-Based Nanofluids: Production Parameter Effects on Thermophysical Properties and Dispersion Stability" Nanomaterials 12, no. 3: 357. https://doi.org/10.3390/nano12030357
APA StyleAli, N. (2022). Graphene-Based Nanofluids: Production Parameter Effects on Thermophysical Properties and Dispersion Stability. Nanomaterials, 12(3), 357. https://doi.org/10.3390/nano12030357
