The Low-Temperature Sol-Gel Synthesis of Metal-Oxide Films on Polymer Substrates and the Determination of Their Optical and Dielectric Properties
Abstract
1. Introduction
2Ag+ + 2CH3CHO → CH3CHO-OHCCH3 + 2Ag + 2H+
2. Materials and Methods
2.1. Synthesis of Components for Consecutive Deposition of Electroconductive Photoactive Layers
2.2. Development and Optimization of Conditions of Polyol Synthesis of Silver Nanowires as Fillers of TiO2/Ag and TiO2/Ag/TiO2 Nanoheterostructures
2.3. Obtaining of Optically Transparent Electroconductive Films on the Surface of a Polyethyleneterephthalate Substrate
2.4. Experimental Apparatuses and Methods
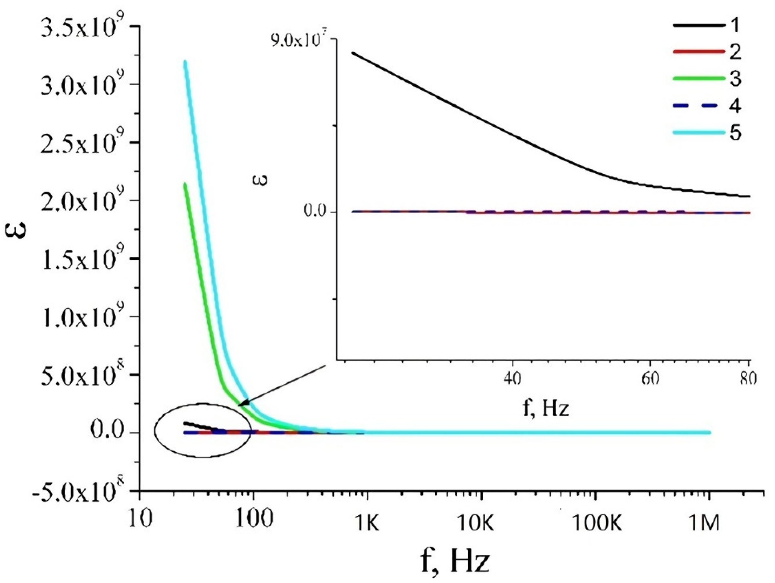
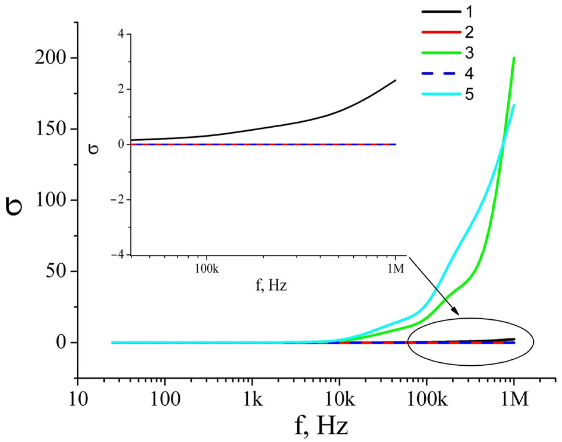
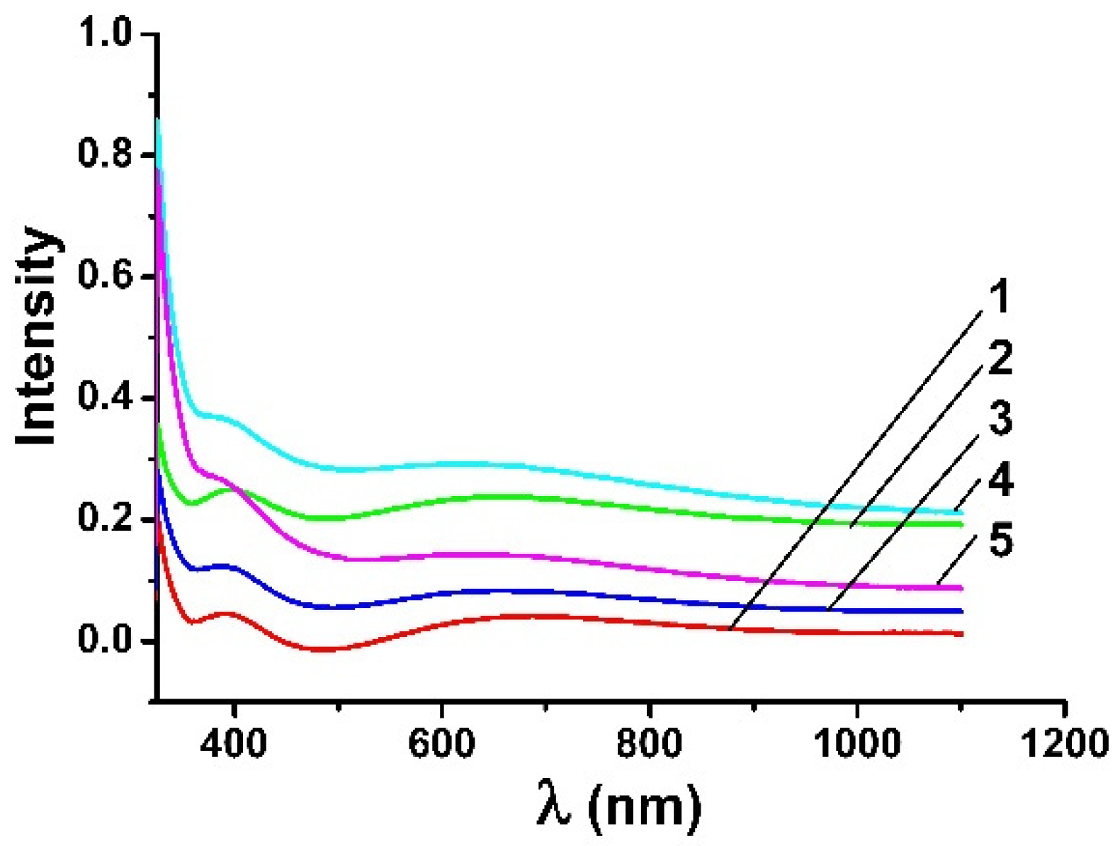
3. Results and Discussion
4. Conclusions
Author Contributions
Funding
Data Availability Statement
Acknowledgments
Conflicts of Interest
References
- Jung, S.; Lee, S.; Song, M.; Kim, D.G.; You, D.S.; Kim, J.K.; Kang, J.W. Extremely flexible transparent conducting electrodes for organic devices. Adv. Energy Mater. 2014, 4, 1300474. [Google Scholar] [CrossRef]
- Krantz, J.; Stubhan, T.; Richter, M.; Spallek, S.; Litzov, I.; Matt, G.J.; Brabec, C.J. Spray-coated silver nanowires as top electrode layer in semitransparent P3HT: PCBM-based organic solar cell devices. Adv. Funct. Mater. 2013, 23, 1711–1717. [Google Scholar] [CrossRef]
- Nam, S.; Song, M.; Kim, D.H.; Cho, B.; Lee, H.M.; Kwon, J.D.; Kim, C.S. Ultrasmooth, extremely deformable and shape recoverable Ag nanowire embedded transparent electrode. Sci. Rep. 2014, 4, 4788. [Google Scholar] [CrossRef]
- Chang, J.H.; Chiang, K.M.; Kang, H.W.; Chi, W.J.; Chang, J.H.; Wu, C.I.; Lin, H.W. A solution-processed molybdenum oxide treated silver nanowire network: A highly conductive transparent conducting electrode with superior mechanical and hole injection properties. Nanoscale 2015, 7, 4572–4579. [Google Scholar] [CrossRef] [PubMed]
- Shim, B.S.; Zhu, J.; Jan, E.; Critchley, K.; Kotov, N.A. Transparent conductors from layer-by-layer assembled SWNT films: Importance of mechanical properties and a new figure of merit. ACS Nano 2010, 4, 3725–3734. [Google Scholar] [CrossRef]
- Patel, K.; Tyagi, P.K. Multilayer graphene as a transparent conducting electrode in silicon heterojunction solar cells. AIP Adv. 2015, 5, 077165. [Google Scholar] [CrossRef]
- Kang, M.G.; Kim, M.S.; Kim, J.; Guo, L.J. Organic solar cells using nanoimprinted transparent metal electrodes. Adv. Mater. 2008, 20, 4408–4413. [Google Scholar] [CrossRef]
- Lipomi, D.J.; Vosgueritchian, M.; Tee, B.C.; Hellstrom, S.L.; Lee, J.A.; Fox, C.H.; Bao, Z. Skin-like pressure and strain sensors based on transparent elastic films of carbon nanotubes. Nat. Nanotechnol. 2011, 6, 788–792. [Google Scholar] [CrossRef]
- Kumar, A.; Zhou, C. The race to replace tin-doped indium oxide: Which material will win? ACS Nano 2010, 4, 11–14. [Google Scholar] [CrossRef]
- Guo, C.F.; Ren, Z. Flexible transparent conductors based on metal nanowire networks. Mater. Today 2015, 18, 143–154. [Google Scholar] [CrossRef]
- Davydova, O.I.; Kraev, A.S.; Evdokimova, O.L.; Gerasimova, T.V.; Agafonov, A.V. Solution method for production of optically active multilayer titanium dioxide -nanosilver coatings onto polyether substrate. Izv. Vyssh. Uchebn. Zaved. Khim. Khim. Tekhnol. 2016, 59, 78–82. [Google Scholar] [CrossRef]
- Davydova, O.I.; Agafonov, A.V. Growth of optically active multilayer metal oxide films on a plastic substrate. Inorg. Mater. 2016, 52, 962–967. [Google Scholar] [CrossRef]
- Sun, Y.; Yin, Y.; Mayers, B.T.; Herricks, T.; Xia, Y. Uniform silver nanowires synthesis by reducing AgNO3 with ethylene glycol in the presence of seeds and poly (vinyl pyrrolidone). Chem. Mater. 2002, 14, 4736–4745. [Google Scholar] [CrossRef]
- Sun, Y.; Xia, Y. Large-scale synthesis of uniform silver nanowires through a soft, self-seeding, polyol process. Adv. Mater. 2002, 14, 833–837. [Google Scholar] [CrossRef]
- Zhu, J.J.; Kan, C.X.; Wan, J.G.; Han, M.; Wang, G.H. High-yield synthesis of uniform Ag nanowires with high aspect ratios by introducing the long-chain PVP in an improved polyol process. J. Nanomater. 2011, 2011, 982547. [Google Scholar] [CrossRef]
- Liu, C.H.; Yu, X. Silver nanowire-based transparent, flexible, and conductive thin film. Nanoscale Res. Lett. 2011, 6, 75. [Google Scholar] [CrossRef]
- Chen, C.; Wang, L.; Jiang, G.; Yang, Q.; Wang, J.; Yu, H.; Chen, X. The influence of seeding conditions and shielding gas atmosphere on the synthesis of silver nanowires through the polyol process. Nanotechnology 2005, 17, 466. [Google Scholar] [CrossRef]
- Wiley, B.; Herricks, T.; Sun, Y.; Xia, Y. Polyol synthesis of silver nanoparticles: Use of chloride and oxygen to promote the formation of single-crystal, truncated cubes and tetrahedrons. Nano Lett. 2004, 4, 1733–1739. [Google Scholar] [CrossRef]
- Wiley, B.; Sun, Y.; Xia, Y. Polyol synthesis of silver nanostructures: Control of product morphology with Fe (II) or Fe (III) species. Langmuir 2005, 21, 8077–8080. [Google Scholar] [CrossRef]
- Sun, Y.; Mayers, B.; Herricks, T.; Xia, Y. Polyol synthesis of uniform silver nanowires: A plausible growth mechanism and the supporting evidence. Nano Lett. 2003, 3, 955–960. [Google Scholar] [CrossRef]
- Wiley, B.; Sun, Y.; Mayers, B.; Xia, Y. Shape-controlled synthesis of metal nanostructures: The case of silver. Chem. Eur. J. 2005, 11, 454–463. [Google Scholar] [CrossRef]
- Sau, T.K.; Murphy, C.J. Room temperature, high-yield synthesis of multiple shapes of gold nanoparticles in aqueous solution. J. Am. Chem. Soc. 2004, 126, 8648–8649. [Google Scholar] [CrossRef] [PubMed]
- Pileni, M.P. The role of soft colloidal templates in controlling the size and shape of inorganic nanocrystals. Nat. Mater. 2003, 2, 145–150. [Google Scholar] [CrossRef]
- Im, S.H.; Lee, Y.T.; Wiley, B.; Xia, Y. Large-scale synthesis of silver nanocubes: The role of HCl in promoting cube perfection and monodispersity. Angew. Chem. 2005, 44, 2154–2157. [Google Scholar] [CrossRef] [PubMed]
- Galkina, O.L.; Vinogradov, V.V.; Vinogradov, A.V.; Agafonov, A.V. Development of the low-temperature sol-gel synthesis of TiO2 to provide self-cleaning effect on the textile materials. Nanotechnol. Russ. 2012, 7, 604–614. [Google Scholar] [CrossRef]
- Hu, L.; Hecht, D.S.; Grüner, G. Percolation in transparent and conducting carbon nanotube networks. Nano Lett. 2004, 4, 2513–2517. [Google Scholar] [CrossRef]
- Lyons, P.E.; De, S.; Elias, J.; Schamel, M.; Philippe, L.; Bellew, A.T.; Coleman, J.N. High-performance transparent conductors from networks of gold nanowires. J. Phys. Chem. Lett. 2011, 2, 3058–3062. [Google Scholar] [CrossRef]
- Maxwell, J.C. A treatise on Electricity and Magnetism. Art 1891, 1, 431. [Google Scholar]
- Sillers, R.W. The properties of a dielectric containing semiconducting particles of various shapes. J. Inst. Electr. Eng. 1936, 80, 378–394. [Google Scholar]
- Caswell, K.K.; Bender, C.M.; Murphy, C.J. Seedless, surfactantless wet chemical synthesis of silver nanowires. Nano Lett. 2003, 3, 667–669. [Google Scholar] [CrossRef]












| Element, wt (%) | Ag_NW | Ag_NW_MW |
|---|---|---|
| Ag | 93.38 | 98.16 |
| O | 6.62 | 1.84 |
| Sum | 100 | 100 |
Publisher’s Note: MDPI stays neutral with regard to jurisdictional claims in published maps and institutional affiliations. |
© 2022 by the authors. Licensee MDPI, Basel, Switzerland. This article is an open access article distributed under the terms and conditions of the Creative Commons Attribution (CC BY) license (https://creativecommons.org/licenses/by/4.0/).
Share and Cite
Borilo, L.; Kozik, V.; Vorozhtsov, A.; Klimenko, V.; Khalipova, O.; Agafonov, A.; Kusova, T.; Kraev, A.; Dubkova, Y. The Low-Temperature Sol-Gel Synthesis of Metal-Oxide Films on Polymer Substrates and the Determination of Their Optical and Dielectric Properties. Nanomaterials 2022, 12, 4333. https://doi.org/10.3390/nano12234333
Borilo L, Kozik V, Vorozhtsov A, Klimenko V, Khalipova O, Agafonov A, Kusova T, Kraev A, Dubkova Y. The Low-Temperature Sol-Gel Synthesis of Metal-Oxide Films on Polymer Substrates and the Determination of Their Optical and Dielectric Properties. Nanomaterials. 2022; 12(23):4333. https://doi.org/10.3390/nano12234333
Chicago/Turabian StyleBorilo, Lyudmila, Vladimir Kozik, Alexander Vorozhtsov, Viktor Klimenko, Olga Khalipova, Alexander Agafonov, Tatiana Kusova, Anton Kraev, and Yana Dubkova. 2022. "The Low-Temperature Sol-Gel Synthesis of Metal-Oxide Films on Polymer Substrates and the Determination of Their Optical and Dielectric Properties" Nanomaterials 12, no. 23: 4333. https://doi.org/10.3390/nano12234333
APA StyleBorilo, L., Kozik, V., Vorozhtsov, A., Klimenko, V., Khalipova, O., Agafonov, A., Kusova, T., Kraev, A., & Dubkova, Y. (2022). The Low-Temperature Sol-Gel Synthesis of Metal-Oxide Films on Polymer Substrates and the Determination of Their Optical and Dielectric Properties. Nanomaterials, 12(23), 4333. https://doi.org/10.3390/nano12234333

