Impact of Interfaces, and Nanostructure on the Performance of Conjugated Polymer Photocatalysts for Hydrogen Production from Water
Abstract
1. Introduction
2. Mechanism of Photocatalytic Water Splitting
3. Effect of Interfaces in Polymer Photocatalysis with Conjugated Polymers
4. Strategies for Increased Wettability in Linear Conjugated Polymer Photocatalysts
4.1. Polar Core Units for Increased Wettability
4.2. Polymer Photocatalysts with Polar Side-Chains
4.3. Polymer Photocatalysts with Polar, Non-Conjugated Segments in the Backbone
4.4. Plasma Enhancement as a Post-Synthetic Technique to Increase Wettability
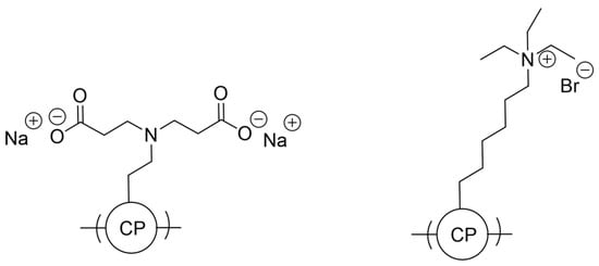
4.5. Conjugated Polyelectrolytes
5. Increased Water Accessible Surface Areas
5.1. Conjugated Microporous Polymers
5.2. Covalent Organic Frameworks
6. Increased External Surface Area
6.1. Polymer Photocatalyst Nanoparticles
6.2. Nanocomposites of Polymer Photocatalysts
6.3. Polymer Dots
6.4. Polymer Nanosheets
7. Interface between Polymer and Metal Co-Catalyst
8. Conclusions
9. Outlook
9.1. Materials
9.2. Quantification
9.3. Measurements
9.4. Sustainability
Author Contributions
Funding
Acknowledgments
Conflicts of Interest
References
- Yanagida, S.; Kabumoto, A.; Mizumoto, K.; Pac, C.; Yoshino, K. Poly(p-Phenylene)-Catalysed Photoreduction of Water to Hydrogen. J. Chem. Soc. Chem. Commun. 1985, 0, 474–475. [Google Scholar] [CrossRef]
- Wang, X.; Maeda, K.; Thomas, A.; Takanabe, K.; Xin, G.; Carlsson, J.M.; Domen, K.; Antonietti, M. A Metal-Free Polymeric Photocatalyst for Hydrogen Production from Water under Visible Light. Nat. Mater. 2009, 8, 76–80. [Google Scholar] [CrossRef] [PubMed]
- Lin, L.; Lin, Z.; Zhang, J.; Cai, X.; Lin, W.; Yu, Z.; Wang, X. Molecular-Level Insights on the Reactive Facet of Carbon Nitride Single Crystals Photocatalysing Overall Water Splitting. Nat. Catal. 2020, 3, 649–655. [Google Scholar] [CrossRef]
- Schwab, M.G.; Hamburger, M.; Feng, X.; Shu, J.; Spiess, H.W.; Wang, X.; Antonietti, M.; Müllen, K. Photocatalytic Hydrogen Evolution through Fully Conjugated Poly(Azomethine) Networks. Chem. Commun. 2010, 46, 8932. [Google Scholar] [CrossRef]
- Sprick, R.S.; Jiang, J.X.; Bonillo, B.; Ren, S.; Ratvijitvech, T.; Guiglion, P.; Zwijnenburg, M.A.; Adams, D.J.; Cooper, A.I. Tunable Organic Photocatalysts for Visible-Light-Driven Hydrogen Evolution. J. Am. Chem. Soc. 2015, 137, 3265–3270. [Google Scholar] [CrossRef]
- Bai, Y.; Hippalgaonkar, K.; Sprick, R.S. Organic Materials as Photocatalysts for Water Splitting. J. Mater. Chem. A 2021, 9, 16222–16232. [Google Scholar] [CrossRef]
- Darmanin, T.; Guittard, F. Wettability of Conducting Polymers: From Superhydrophilicity to Superoleophobicity. Prog. Polym. Sci. 2014, 39, 656–682. [Google Scholar] [CrossRef]
- Wang, Y.; Vogel, A.; Sachs, M.; Sprick, R.S.; Wilbraham, L.; Moniz, S.J.A.; Godin, R.; Zwijnenburg, M.A.; Durrant, J.R.; Cooper, A.I.; et al. Current Understanding and Challenges of Solar-Driven Hydrogen Generation Using Polymeric Photocatalysts. Nat. Energy 2019, 4, 746–760. [Google Scholar] [CrossRef]
- Meier, C.B.; Clowes, R.; Berardo, E.; Jelfs, K.E.; Zwijnenburg, M.A.; Sprick, R.S.; Cooper, A.I. Structurally Diverse Covalent Triazine-Based Framework Materials for Photocatalytic Hydrogen Evolution from Water. Chem. Mater. 2019, 31, 8830–8838. [Google Scholar] [CrossRef]
- Bai, Y.; Wilbraham, L.; Slater, B.J.; Zwijnenburg, M.A.; Sprick, R.S.; Cooper, A.I. Accelerated Discovery of Organic Polymer Photocatalysts for Hydrogen Evolution from Water through the Integration of Experiment and Theory. J. Am. Chem. Soc. 2019, 141, 9063–9071. [Google Scholar] [CrossRef]
- Aitchison, C.M.; Sachs, M.; Little, M.A.; Wilbraham, L.; Brownbill, N.J.; Kane, C.M.; Blanc, F.; Zwijnenburg, M.A.; Durrant, J.R.; Sprick, R.S.; et al. Structure–Activity Relationships in Well-Defined Conjugated Oligomer Photocatalysts for Hydrogen Production from Water. Chem. Sci. 2020, 11, 8744–8756. [Google Scholar] [CrossRef]
- Liu, L.; Kochman, M.A.; Xu, Y.; Zwijnenburg, M.A.; Cooper, A.I.; Sprick, R.S. Acetylene-Linked Conjugated Polymers for Sacrificial Photocatalytic Hydrogen Evolution from Water. J. Mater. Chem. A 2021, 9, 17242–17248. [Google Scholar] [CrossRef]
- Wang, L.; Wan, Y.; Ding, Y.; Wu, S.; Zhang, Y.; Zhang, X.; Zhang, G.; Xiong, Y.; Wu, X.; Yang, J.; et al. Conjugated Microporous Polymer Nanosheets for Overall Water Splitting Using Visible Light. Adv. Mater. 2017, 29, 1702428. [Google Scholar] [CrossRef] [PubMed]
- Mohamed, M.G.; Elsayed, M.H.; Elewa, A.M.; EL-Mahdy, A.F.M.; Yang, C.-H.; Mohammed, A.A.K.; Chou, H.-H.; Kuo, S.-W. Pyrene-Containing Conjugated Organic Microporous Polymers for Photocatalytic Hydrogen Evolution from Water. Catal. Sci. Technol. 2021, 11, 2229–2241. [Google Scholar] [CrossRef]
- Sprick, R.S.; Aitchison, C.M.; Berardo, E.; Turcani, L.; Wilbraham, L.; Alston, B.M.; Jelfs, K.E.; Zwijnenburg, M.A.; Cooper, A.I. Maximising the Hydrogen Evolution Activity in Organic Photocatalysts by Co-Polymerisation. J. Mater. Chem. A 2018, 6, 11994–12003. [Google Scholar] [CrossRef]
- Cheng, J.-Z.; Tan, Z.-R.; Xing, Y.-Q.; Shen, Z.-Q.; Zhang, Y.-J.; Liu, L.-L.; Yang, K.; Chen, L.; Liu, S.-Y. Exfoliated Conjugated Porous Polymer Nanosheets for Highly Efficient Photocatalytic Hydrogen Evolution. J. Mater. Chem. A 2021, 9, 5787–5795. [Google Scholar] [CrossRef]
- Kosco, J.; Sachs, M.; Godin, R.; Kirkus, M.; Francas, L.; Bidwell, M.; Qureshi, M.; Anjum, D.; Durrant, J.R.; McCulloch, I. The Effect of Residual Palladium Catalyst Contamination on the Photocatalytic Hydrogen Evolution Activity of Conjugated Polymers. Adv. Energy Mater. 2018, 8, 1802181. [Google Scholar] [CrossRef]
- Sachs, M.; Cha, H.; Kosco, J.; Aitchison, C.M.; Francàs, L.; Corby, S.; Chiang, C.-L.; Wilson, A.A.; Godin, R.; Fahey-Williams, A.; et al. Tracking Charge Transfer to Residual Metal Clusters in Conjugated Polymers for Photocatalytic Hydrogen Evolution. J. Am. Chem. Soc. 2020, 142, 14574–14587. [Google Scholar] [CrossRef]
- Bai, Y.; Li, C.; Liu, L.; Yamaguchi, Y.; Bahri, M.; Yang, H.; Gardner, A.; Zwijnenburg, M.A.; Browning, N.D.; Cowan, A.J.; et al. Photocatalytic Overall Water Splitting Under Visible Light Enabled by a Particulate Conjugated Polymer Loaded with Palladium and Iridium. Angew. Chem. Int. Ed. 2022, 61, e202201299. [Google Scholar] [CrossRef]
- Maeda, K.; Teramura, K.; Lu, D.; Saito, N.; Inoue, Y.; Domen, K. Noble-Metal/Cr2O3 Core/Shell Nanoparticles as a Cocatalyst for Photocatalytic Overall Water Splitting. Angew. Chem. Int. Ed. 2006, 45, 7806–7809. [Google Scholar] [CrossRef]
- Kong, D.; Han, X.; Xie, J.; Ruan, Q.; Windle, C.D. Tunable Covalent Triazine-Based Frameworks (CTF-0) for Visible Light-Driven Hydrogen and Oxygen Generation from Water Splitting. ACS Catal. 2019, 9, 7697–7707. [Google Scholar] [CrossRef] [PubMed]
- Kuecken, S.; Acharjya, A.; Zhi, L.; Schwarze, M.; Schomäcker, R.; Thomas, A. Fast Tuning of Covalent Triazine Frameworks for Photocatalytic Hydrogen Evolution. Chem. Commun. 2017, 53, 5854–5857. [Google Scholar] [CrossRef] [PubMed]
- Aitchison, C.M.; Sprick, R.S. Conjugated Nanomaterials for Solar Fuel Production. Nanoscale 2021, 13, 634–646. [Google Scholar] [CrossRef]
- Sprick, R.S.; Little, M.A.; Cooper, A.I. Organic Heterojunctions for Direct Solar Fuel Generation. Commun. Chem. 2020, 3, 40. [Google Scholar] [CrossRef]
- Bai, Y.; Sprick, R.S. Conjugated Porphyrin Materials for Solar Fuel Generation. Curr. Org. Chem. 2022, 26, 596–605. [Google Scholar] [CrossRef]
- Côté, A.P.; Benin, A.I.; Ockwig, N.W.; O’Keeffe, M.; Matzger, A.J.; Yaghi, O.M. Porous, Crystalline, Covalent Organic Frameworks. Science 2005, 310, 1166–1170. [Google Scholar] [CrossRef]
- Vyas, V.S.; Haase, F.; Stegbauer, L.; Savasci, G.; Podjaski, F.; Ochsenfeld, C.; Lotsch, B. V A Tunable Azine Covalent Organic Framework Platform for Visible Light-Induced Hydrogen Generation. Nat. Commun. 2015, 6, 8508. [Google Scholar] [CrossRef] [PubMed]
- Zhang, W.; Chen, L.; Dai, S.; Zhao, C.; Ma, C.; Wei, L.; Zhu, M.; Chong, S.Y.; Yang, H.; Liu, L.; et al. Reconstructed Covalent Organic Frameworks. Nature 2022, 604, 72–79. [Google Scholar] [CrossRef] [PubMed]
- Meier, C.B.; Sprick, R.S.; Monti, A.; Guiglion, P.; Lee, J.-S.M.; Zwijnenburg, M.A.; Cooper, A.I. Structure-Property Relationships for Covalent Triazine-Based Frameworks: The Effect of Spacer Length on Photocatalytic Hydrogen Evolution from Water. Polymer 2017, 126, 283–290. [Google Scholar] [CrossRef]
- Kosco, J.; Bidwell, M.; Cha, H.; Martin, T.; Howells, C.T.; Sachs, M.; Anjum, D.H.; Gonzalez Lopez, S.; Zou, L.; Wadsworth, A.; et al. Enhanced Photocatalytic Hydrogen Evolution from Organic Semiconductor Heterojunction Nanoparticles. Nat. Mater. 2020, 19, 559–565. [Google Scholar] [CrossRef]
- Kosco, J.; Gonzalez-Carrero, S.; Howells, C.T.; Zhang, W.; Moser, M.; Sheelamanthula, R.; Zhao, L.; Willner, B.; Hidalgo, T.C.; Faber, H.; et al. Oligoethylene Glycol Sidechains Increase Charge Generation in Organic Semiconductor Nanoparticles for Enhanced Photocatalytic Hydrogen Evolution. Adv. Mater. 2021, 34, 2105007. [Google Scholar] [CrossRef] [PubMed]
- Yang, H.; Amari, H.; Liu, L.; Zhao, C.; Gao, H.; He, A.; Browning, N.; Little, M.A.; Sprick, R.S.; Cooper, A. Nano-Assemblies of a Soluble Conjugated Organic Polymer and an Inorganic Semiconductor for Sacrificial Photocatalytic Hydrogen Production from Water. Nanoscale 2020, 12, 24488–24494. [Google Scholar] [CrossRef] [PubMed]
- Yang, H.; Li, X.; Sprick, R.S.; Cooper, A.I. Conjugated Polymer Donor-Molecular Acceptor Nanohybrids for Photocatalytic Hydrogen Evolution. Chem. Commun. 2020, 56, 6790–6793. [Google Scholar] [CrossRef] [PubMed]
- Piercy, V.L.; Saeed, K.H.; Prentice, A.W.; Neri, G.; Li, C.; Gardner, A.M.; Bai, Y.; Sprick, R.S.; Sazanovich, I.V.; Cooper, A.I.; et al. Time-Resolved Raman Spectroscopy of Polaron Formation in a Polymer Photocatalyst. J. Phys. Chem. Lett. 2021, 12, 10899–10905. [Google Scholar] [CrossRef]
- Vogel, A.; Forster, M.; Wilbraham, L.; Smith, C.L.; Cowan, A.J.; Zwijnenburg, M.A.; Sprick, R.S.; Cooper, A.I. Photocatalytically Active Ladder Polymers. Faraday Discuss. 2019, 215, 84–97. [Google Scholar] [CrossRef]
- Wang, L.; Fernández-Terán, R.; Zhang, L.; Fernandes, D.L.A.; Tian, L.; Chen, H.; Tian, H. Organic Polymer Dots as Photocatalysts for Visible Light-Driven Hydrogen Generation. Angew. Chem. Int. Ed. 2016, 55, 12306–12310. [Google Scholar] [CrossRef]
- Sprick, R.S.; Bai, Y.; Guilbert, A.A.Y.; Zbiri, M.; Aitchison, C.M.; Wilbraham, L.; Yan, Y.; Woods, D.J.; Zwijnenburg, M.A.; Cooper, A.I. Photocatalytic Hydrogen Evolution from Water Using Fluorene and Dibenzothiophene Sulfone-Conjugated Microporous and Linear Polymers. Chem. Mater. 2019, 31, 305–313. [Google Scholar] [CrossRef]
- Zhang, G.; Lan, Z.-A.; Wang, X. Conjugated Polymers: Catalysts for Photocatalytic Hydrogen Evolution. Angew. Chem. Int. Ed. 2016, 55, 15712–15727. [Google Scholar] [CrossRef]
- Wang, H.; Wang, H.; Wang, Z.; Tang, L.; Zeng, G.; Xu, P.; Chen, M.; Xiong, T.; Zhou, C.; Li, X.; et al. Covalent Organic Framework Photocatalysts: Structures and Applications. Chem. Soc. Rev. 2020, 49, 4135–4165. [Google Scholar] [CrossRef]
- Yang, Q.; Luo, M.; Liu, K.; Cao, H.; Yan, H. Covalent Organic Frameworks for Photocatalytic Applications. Appl. Catal. B Environ. 2020, 276, 119174. [Google Scholar] [CrossRef]
- Banerjee, T.; Gottschling, K.; Savasci, G.; Ochsenfeld, C.; Lotsch, B.V. H2 Evolution with Covalent Organic Framework Photocatalysts. ACS Energy Lett. 2018, 3, 400–409. [Google Scholar] [CrossRef] [PubMed]
- Wang, G.-B.; Li, S.; Yan, C.-X.; Zhu, F.-C.; Lin, Q.-Q.; Xie, K.-H.; Geng, Y.; Dong, Y.-B. Covalent Organic Frameworks: Emerging High-Performance Platforms for Efficient Photocatalytic Applications. J. Mater. Chem. A 2020, 8, 6957–6983. [Google Scholar] [CrossRef]
- Rahman, M.; Tian, H.; Edvinsson, T. Revisiting the Limiting Factors for Overall Water-Splitting on Organic Photocatalysts. Angew. Chem. Int. Ed. 2020, 59, 16278–16293. [Google Scholar] [CrossRef]
- Dai, C.; Liu, B. Conjugated Polymers for Visible-Light-Driven Photocatalysis. Energy Environ. Sci. 2020, 13, 24–52. [Google Scholar] [CrossRef]
- Aiga, N.; Jia, Q.; Watanabe, K.; Kudo, A.; Sugimoto, T.; Matsumoto, Y. Electron-Phonon Coupling Dynamics at Oxygen Evolution Sites of Visible-Light-Driven Photocatalyst: Bismuth Vanadate. J. Phys. Chem. C 2013, 117, 9881–9886. [Google Scholar] [CrossRef]
- Pan, Z.; Hisatomi, T.; Wang, Q.; Nakabayashi, M.; Shibata, N.; Pan, C.; Takata, T.; Domen, K. Application of LaMg1/3Ta2/3O2N as a Hydrogen Evolution Photocatalyst of a Photocatalyst Sheet for Z-Scheme Water Splitting. Appl. Catal. A Gen. 2016, 521, 26–33. [Google Scholar] [CrossRef]
- Maeda, K. Z-Scheme Water Splitting Using Two Different Semiconductor Photocatalysts. ACS Catal. 2013, 3, 1486–1503. [Google Scholar] [CrossRef]
- Sachs, M.; Sprick, R.S.; Pearce, D.; Hillman, S.A.J.; Monti, A.; Guilbert, A.A.Y.; Brownbill, N.J.; Dimitrov, S.; Shi, X.; Blanc, F.; et al. Understanding Structure-Activity Relationships in Linear Polymer Photocatalysts for Hydrogen Evolution. Nat. Commun. 2018, 9, 1–11. [Google Scholar] [CrossRef]
- Pellegrin, Y.; Odobel, F. Sacrificial Electron Donor Reagents for Solar Fuel Production. Comptes Rendus Chim. 2017, 20, 283–295. [Google Scholar] [CrossRef]
- Jafari, T.; Moharreri, E.; Amin, A.S.; Miao, R.; Song, W.; Suib, S.L. Photocatalytic Water Splitting - The Untamed Dream: A Review of Recent Advances. Molecules 2016, 21, 900. [Google Scholar] [CrossRef]
- Giovambattista, N.; Debenedetti, P.G.; Rossky, P.J. Effect of Surface Polarity on Water Contact Angle and Interfacial Hydration Structure. J. Phys. Chem. B 2007, 111, 9581–9587. [Google Scholar] [CrossRef] [PubMed]
- Sprick, R.S.; Bonillo, B.; Sachs, M.; Clowes, R.; Durrant, J.R.; Adams, D.J.; Cooper, A.I. Extended Conjugated Microporous Polymers for Photocatalytic Hydrogen Evolution from Water. Chem. Commun. 2016, 52, 10008–10011. [Google Scholar] [CrossRef] [PubMed]
- Yang, C.; Ma, B.C.; Zhang, L.; Lin, S.; Ghasimi, S.; Landfester, K.; Zhang, K.A.I.; Wang, X. Molecular Engineering of Conjugated Polybenzothiadiazoles for Enhanced Hydrogen Production by Photosynthesis. Angew. Chem. Int. Ed. 2016, 55, 9202–9206. [Google Scholar] [CrossRef]
- Modak, A.; Yamanaka, K.; Goto, Y.; Inagaki, S. Photocatalytic H 2 Evolution by Pt-Loaded 9,9′-Spirobifluorene-Based Conjugated Microporous Polymers under Visible-Light Irradiation. Bull. Chem. Soc. Jpn. 2016, 89, 887–891. [Google Scholar] [CrossRef]
- Cheng, J.Z.; Liu, L.L.; Liao, G.; Shen, Z.Q.; Tan, Z.R.; Xing, Y.Q.; Li, X.X.; Yang, K.; Chen, L.; Liu, S.Y. Achieving an Unprecedented Hydrogen Evolution Rate by Solvent-Exfoliated CPP-Based Photocatalysts. J. Mater. Chem. A 2020, 8, 5890–5899. [Google Scholar] [CrossRef]
- Sprick, R.S.; Bonillo, B.; Clowes, R.; Guiglion, P.; Brownbill, N.J.; Slater, B.J.; Blanc, F.; Zwijnenburg, M.A.; Adams, D.J.; Cooper, A.I. Visible-Light-Driven Hydrogen Evolution Using Planarized Conjugated Polymer Photocatalysts. Angew. Chem. Int. Ed. 2016, 55, 1792–1796. [Google Scholar] [CrossRef]
- Schwarz, C.; Tscheuschner, S.; Frisch, J.; Winkler, S.; Koch, N.; Bässler, H.; Köhler, A. Role of the Effective Mass and Interfacial Dipoles on Exciton Dissociation in Organic Donor-Acceptor Solar Cells. Phys. Rev. B Condens. Matter Mater. Phys. 2013, 87, 1–13. [Google Scholar] [CrossRef]
- Zhang, W.; Smith, J.; Hamilton, R.; Heeney, M.; Kirkpatrick, J.; Song, K.; Watkins, S.E.; Anthopoulos, T.; McCulloch, I. Systematic Improvement in Charge Carrier Mobility of Air Stable Triarylamine Copolymers. J. Am. Chem. Soc. 2009, 131, 10814–10815. [Google Scholar] [CrossRef]
- Li, L.; Cai, Z.; Wu, Q.; Lo, W.Y.; Zhang, N.; Chen, L.X.; Yu, L. Rational Design of Porous Conjugated Polymers and Roles of Residual Palladium for Photocatalytic Hydrogen Production. J. Am. Chem. Soc. 2016, 138, 7681–7686. [Google Scholar] [CrossRef]
- Li, L.; Lo, W.; Cai, Z.; Zhang, N.; Yu, L. Donor–Acceptor Porous Conjugated Polymers for Photocatalytic Hydrogen Production: The Importance of Acceptor Comonomer. Macromolecules 2016, 49, 6903–6909. [Google Scholar] [CrossRef]
- Sprick, R.S.; Wilbraham, L.; Bai, Y.; Guiglion, P.; Monti, A.; Clowes, R.; Cooper, A.I.; Zwijnenburg, M.A. Nitrogen Containing Linear Poly(Phenylene) Derivatives for Photo-Catalytic Hydrogen Evolution from Water. Chem. Mater. 2018, 30, 5733–5742. [Google Scholar] [CrossRef]
- Bi, J.; Fang, W.; Li, L.; Wang, J.; Liang, S.; He, Y.; Liu, M.; Wu, L. Covalent Triazine-Based Frameworks as Visible Light Photocatalysts for the Splitting of Water. Macromol. Rapid Commun. 2015, 36, 1799–1805. [Google Scholar] [CrossRef] [PubMed]
- Wang, W.-H.; Ting, L.-Y.; Jayakumar, J.; Chang, C.-L.; Lin, W.-C.; Chung, C.-C.; Elsayed, M.H.; Lu, C.-Y.; Elewa, A.M.; Chou, H.-H. Design and Synthesis of Phenylphosphine Oxide-Based Polymer Photocatalysts for Highly Efficient Visible-Light-Driven Hydrogen Evolution. Sustain. Energy Fuels 2020, 4, 5264–5270. [Google Scholar] [CrossRef]
- Bai, Y.; Woods, D.J.; Wilbraham, L.; Aitchison, C.M.; Zwijnenburg, M.A.; Sprick, R.S.; Cooper, A.I. Hydrogen Evolution from Water Using Heteroatom Substituted Fluorene Conjugated Co-Polymers. J. Mater. Chem. A 2020, 8, 8700–8705. [Google Scholar] [CrossRef]
- Chi, X.; Chen, Q.; Lan, Z.-A.; Zhang, X.; Chen, X.; Wang, X. Structure-Property Relationship of Cyano-Functionalized Conjugated Polymers for Photocatalytic Hydrogen Production. Chem.-A Eur. J. 2022, e202202734. [Google Scholar] [CrossRef] [PubMed]
- Shu, C.; Han, C.; Yang, X.; Zhang, C.; Chen, Y.; Ren, S.; Wang, F.; Huang, F.; Jiang, J. Boosting the Photocatalytic Hydrogen Evolution Activity for D–π–A Conjugated Microporous Polymers by Statistical Copolymerization. Adv. Mater. 2021, 33, 2008498. [Google Scholar] [CrossRef] [PubMed]
- Hillman, S.A.J.; Sprick, R.S.; Pearce, D.; Woods, D.J.; Sit, W.-Y.; Shi, X.; Cooper, A.I.; Durrant, J.R.; Nelson, J. Why Do Sulfone-Containing Polymer Photocatalysts Work So Well for Sacrificial Hydrogen Evolution from Water? J. Am. Chem. Soc. 2022, 144, 19382–19395. [Google Scholar] [CrossRef]
- Shu, G.; Wang, Y.; Li, Y.; Zhang, S.; Jiang, J.-X.; Wang, F. A High Performance and Low Cost Poly(Dibenzothiophene-S,S -Dioxide)@TiO2 Composite with Hydrogen Evolution Rate up to 51.5 Mmol h −1 g −1. J. Mater. Chem. A 2020, 8, 18292–18301. [Google Scholar] [CrossRef]
- Fang, S.; Dai, M.; Chen, R.; He, Z.; Zhang, G.; Ding, Y. Diaza-Substitution on Dibenzothiophene Sulfone-Based Linear Conjugated Polymers for Highly Efficient Visible-Light Photo-Catalytic Hydrogen Evolution via Substituted-Position Optimization. Dye. Pigment. 2022, 206, 110645. [Google Scholar] [CrossRef]
- Liu, L.; Kochman, M.A.; Zhao, W.; Zwijnenburg, M.A.; Sprick, R.S. Linear Conjugated Polymer Photocatalysts with Various Linker Units for Photocatalytic Hydrogen Evolution from Water. Chem. Commun. 2022, 58, 10639–10642. [Google Scholar] [CrossRef]
- Hu, X.; Zhao, J.; Wang, Z.; Li, H.; Cai, P.; Si, J.; Yao, X.; Ai, Q.; Liu, Z. Nonaromatic Amine Containing Dibenzo[b,d]Thiophene Donor for D-A Type Visible-Light-Driven Fluorescence Turn-on Diarylethenes. Dye. Pigment. 2022, 205, 110571. [Google Scholar] [CrossRef]
- Xiao, J.; Liu, X.; Gao, X.; Hu, J.; Pan, L.; Shi, C.; Zhang, X.; Zou, J.-J. Controllable Construction of Alkynyl Defective Dibenzo[b,d]Thiophene-Sulfone-Based Conjugated Microporous Polymers for Enhanced Photocatalytic Performance. J. Catal. 2022, 414, 155–162. [Google Scholar] [CrossRef]
- Ye, H.; Wang, Z.; Yang, Z.; Zhang, S.; Gong, X.; Hua, J. Bandgap Engineering of Novel Peryleno[1,12-Bcd]Thiophene Sulfone-Based Conjugated Co-Polymers for Significantly Enhanced Hydrogen Evolution without Co-Catalyst. J. Mater. Chem. A 2020, 8, 20062–20071. [Google Scholar] [CrossRef]
- Sheng, Q.; Du, Y.; Dong, Y.; Zhao, J.; Zhong, X.; Xie, Y. The Introduction of Dual Pyridinic N Atoms into Dibenzo[b,d]Thiophene Sulfone Containing Conjugated Polymers for Improved Hydrogen Evolution: Experimental and Theoretical Study. Appl. Surf. Sci. 2022, 603, 154425. [Google Scholar] [CrossRef]
- Wang, J.; Ouyang, G.; Wang, Y.; Qiao, X.; Li, W.-S.; Li, H. 1,3,5-Triazine and Dibenzo[b,d]Thiophene Sulfone Based Conjugated Porous Polymers for Highly Efficient Photocatalytic Hydrogen Evolution. Chem. Commun. 2020, 56, 1601–1604. [Google Scholar] [CrossRef] [PubMed]
- Lan, Z.; Zhang, G.; Chen, X.; Zhang, Y.; Zhang, K.A.I.; Wang, X. Reducing the Exciton Binding Energy of Donor–Acceptor-Based Conjugated Polymers to Promote Charge-Induced Reactions. Angew. Chem. Int. Ed. 2019, 58, 10236–10240. [Google Scholar] [CrossRef]
- Lan, Z.A.; Ren, W.; Chen, X.; Zhang, Y.; Wang, X. Conjugated Donor-Acceptor Polymer Photocatalysts with Electron-Output “Tentacles” for Efficient Hydrogen Evolution. Appl. Catal. B Environ. 2019, 245, 596–603. [Google Scholar] [CrossRef]
- Li, G.; Xie, Z.; Wang, Q.; Chen, X.; Zhang, Y.; Wang, X. Asymmetric Acceptor–Donor–Acceptor Polymers with Fast Charge Carrier Transfer for Solar Hydrogen Production. Chem.-A Eur. J. 2021, 27, 939–943. [Google Scholar] [CrossRef]
- Cheng, C.; Wang, X.; Wang, F. Pyrene-Alt-Dibenzothiophene-S,S-Dioxide Copolymers for Highly Efficient Photocatalytic Hydrogen Production: The Role of Linking Pattern. Appl. Surf. Sci. 2019, 495, 143537. [Google Scholar] [CrossRef]
- Tan, Z.-R.; Xing, Y.-Q.; Cheng, J.-Z.; Zhang, G.; Shen, Z.-Q.; Zhang, Y.-J.; Liao, G.; Chen, L.; Liu, S.-Y. EDOT-Based Conjugated Polymers Accessed via C–H Direct Arylation for Efficient Photocatalytic Hydrogen Production. Chem. Sci. 2022, 13, 1725–1733. [Google Scholar] [CrossRef]
- Han, C.; Xiang, S.; Jin, S.; Luo, L.-W.; Zhang, C.; Yan, C.; Jiang, J.-X. Linear Multiple-Thiophene-Containing Conjugated Polymer Photocatalysts with Narrow Band Gaps for Achieving Ultrahigh Photocatalytic Hydrogen Evolution Activity under Visible Light. J. Mater. Chem. A 2022, 10, 5255–5261. [Google Scholar] [CrossRef]
- Han, C.; Dong, P.; Tang, H.; Zheng, P.; Zhang, C.; Wang, F.; Huang, F.; Jiang, J.-X. Realizing High Hydrogen Evolution Activity under Visible Light Using Narrow Band Gap Organic Photocatalysts. Chem. Sci. 2021, 12, 1796–1802. [Google Scholar] [CrossRef] [PubMed]
- Ye, D.-N.; Zhang, Y.-J.; Tan, Z.-R.; Xing, Y.-Q.; Chen, Z.; Qiu, J.-B.; Liu, S.-Y. Tunable Cyano Substituents in D–A Conjugated Polymers Accessed via Direct Arylation for Photocatalytic Hydrogen Production. Chem. Commun. 2022, 58, 12680–12683. [Google Scholar] [CrossRef] [PubMed]
- Xu, J.; Li, W.; Liu, W.; Jing, J.; Zhang, K.; Liu, L.; Yang, J.; Zhu, E.; Li, J.; Zhu, Y. Efficient Photocatalytic Hydrogen and Oxygen Evolution by Side-Group Engineered Benzodiimidazole Oligomers with Strong Built-in Electric Fields and Short-Range Crystallinity. Angew. Chem. Int. Ed. 2022, 61, e202212243. [Google Scholar] [CrossRef] [PubMed]
- Lin, W.-C.; Jayakumar, J.; Chang, C.-L.; Ting, L.-Y.; Huang, T.-F.; Elsayed, M.H.; Elewa, A.; Lin, Y.-T.; Liu, J.-J.; Tseng, Y.-T.; et al. Sulfide Oxidation Tuning in 4,8-Bis(5-(2-Ethylhexyl)Thiophen-2-Yl)Benzo[1,2-b:4,5-b’]Dithiophene Based Dual Acceptor Copolymers for Highly Efficient Photocatalytic Hydrogen Evolution. J. Mater. Chem. A 2022, 10, 6641–6648. [Google Scholar] [CrossRef]
- Zhang, S.; Cheng, G.; Guo, L.; Wang, N.; Tan, B.; Jin, S. Strong-Base-Assisted Synthesis of a Crystalline Covalent Triazine Framework with High Hydrophilicity via Benzylamine Monomer for Photocatalytic Water Splitting. Angew. Chem. 2020, 59, 6007–6014. [Google Scholar] [CrossRef]
- Chen, H.; Gardner, A.M.; Lin, G.; Zhao, W.; Bahri, M.; Browning, N.D.; Sprick, R.S.; Li, X.; Xu, X.; Cooper, A.I. Covalent Triazine-Based Frameworks with Cobalt-Loading for Visible Light-Driven Photocatalytic Water Oxidation. Catal. Sci. Technol. 2022, 12, 5442–5452. [Google Scholar] [CrossRef]
- Sprick, R.S.; Chen, Z.; Cowan, A.J.; Bai, Y.; Aitchison, C.M.; Fang, Y.; Zwijnenburg, M.A.; Cooper, A.I.; Wang, X. Water Oxidation with Cobalt-Loaded Linear Conjugated Polymer Photocatalysts. Angew. Chem. Int. Ed. 2020, 132, 18854–18859. [Google Scholar] [CrossRef]
- Wang, L.; Wan, Y.; Ding, Y.; Niu, Y.; Xiong, Y.; Wu, X.; Xu, H. Photocatalytic Oxygen Evolution from Low-Bandgap Conjugated Microporous Polymer Nanosheets: A Combined First-Principles Calculation and Experimental Study. Nanoscale 2017, 9, 4090–4096. [Google Scholar] [CrossRef]
- Bai, Y.; Nakagawa, K.; Cowan, A.J.; Aitchison, C.M.; Yamaguchi, Y.; Zwijnenburg, M.A.; Kudo, A.; Sprick, R.S.; Cooper, A.I. Photocatalyst Z-Scheme System Composed of a Linear Conjugated Polymer and BiVO 4 for Overall Water Splitting under Visible Light. J. Mater. Chem. A 2020, 8, 16283–16290. [Google Scholar] [CrossRef]
- Ye, H.; Wang, Z.; Hu, K.; Wu, W.; Gong, X.; Hua, J. FeOOH Photo-Deposited Perylene Linear Polymer with Accelerated Charge Separation for Photocatalytic Overall Water Splitting. Sci. China Chem. 2022, 65, 170–181. [Google Scholar] [CrossRef]
- Wang, L.; Zheng, X.; Chen, L.; Xiong, Y.; Xu, H. Van Der Waals Heterostructures Comprised of Ultrathin Polymer Nanosheets for Efficient Z-Scheme Overall Water Splitting. Angew. Chem. 2018, 130, 3512–3516. [Google Scholar] [CrossRef]
- Woods, D.J.; Sprick, R.S.; Smith, C.L.; Cowan, A.J.; Cooper, A.I. A Solution-Processable Polymer Photocatalyst for Hydrogen Evolution from Water. Adv. Energy Mater. 2017, 7, 1700479. [Google Scholar] [CrossRef]
- Hu, Z.; Wang, Z.; Zhang, X.; Tang, H.; Liu, X.; Huang, F.; Cao, Y. Conjugated Polymers with Oligoethylene Glycol Side Chains for Improved Photocatalytic Hydrogen Evolution. iScience 2019, 13, 33–42. [Google Scholar] [CrossRef]
- Woods, D.J.; Hillman, S.A.J.; Pearce, D.; Wilbraham, L.; Flagg, L.Q.; Duffy, W.; McCulloch, I.; Durrant, J.R.; Guilbert, A.A.Y.; Zwijnenburg, M.A.; et al. Side-Chain Tuning in Conjugated Polymer Photocatalysts for Improved Hydrogen Production from Water. Energy Environ. Sci. 2020, 13, 1843–1855. [Google Scholar] [CrossRef]
- Diao, R.; Ye, H.; Yang, Z.; Zhang, S.; Kong, K.; Hua, J. Significant Improvement of Photocatalytic Hydrogen Evolution of Diketopyrrolopyrrole-Based Donor–Acceptor Conjugated Polymers through Side-Chain Engineering. Polym. Chem. 2019, 10, 6473–6480. [Google Scholar] [CrossRef]
- Yu, M.; Zhang, W.; Guo, Z.; Wu, Y.; Zhu, W. Engineering Nanoparticulate Organic Photocatalysts via a Scalable Flash Nanoprecipitation Process for Efficient Hydrogen Production. Angew. Chem. Int. Ed. 2021, 60, 15590–15597. [Google Scholar] [CrossRef]
- Li, R.; Zhang, C.; Cui, C.-X.; Hou, Y.; Niu, H.; Tan, C.-H.; Yang, X.; Huang, F.; Jiang, J.-X.; Zhang, Y. Side-Chain Engineering on Conjugated Porous Polymer Photocatalyst with Adenine Groups Enables High-Performance Hydrogen Evolution from Water. Polymer 2022, 240, 124509. [Google Scholar] [CrossRef]
- Li, R.; Zhang, X.; Zhang, C.; Lu, J.; Wang, J.-C.; Cui, C.-X.; Yang, X.; Huang, F.; Jiang, J.-X.; Zhang, Y. Adenine-Functionalized Conjugated Polymer as an Efficient Photocatalyst for Hydrogen Evolution from Water. Int. J. Hydrog. Energy 2022, 47, 29771–29780. [Google Scholar] [CrossRef]
- Chang, C.-L.; Lin, W.-C.; Ting, L.-Y.; Shih, C.-H.; Chen, S.-Y.; Huang, T.-F.; Tateno, H.; Jayakumar, J.; Jao, W.-Y.; Tai, C.-W.; et al. Main-Chain Engineering of Polymer Photocatalysts with Hydrophilic Non-Conjugated Segments for Visible-Light-Driven Hydrogen Evolution. Nat. Commun. 2022, 13, 5460. [Google Scholar] [CrossRef]
- Sprick, R.S.; Cheetham, K.J.; Bai, Y.; Alves Fernandes, J.; Barnes, M.; Bradley, J.W.; Cooper, A.I. Polymer Photocatalysts with Plasma-Enhanced Activity. J. Mater. Chem. A 2020, 8, 7125–7129. [Google Scholar] [CrossRef]
- Wang, M.; Yang, Y.; Shen, J.; Jiang, J.; Sun, L. Visible-Light-Absorbing Semiconductor/Molecular Catalyst Hybrid Photoelectrodes for H 2 or O 2 Evolution: Recent Advances and Challenges. Sustain. Energy Fuels 2017, 1, 1641–1663. [Google Scholar] [CrossRef]
- Liang, X.; Cao, X.; Sun, W.; Ding, Y. Recent Progress in Visible Light Driven Water Oxidation Using Semiconductors Coupled with Molecular Catalysts. ChemCatChem 2019, 11, 6190–6202. [Google Scholar] [CrossRef]
- Nakada, A.; Kumagai, H.; Robert, M.; Ishitani, O.; Maeda, K. Molecule/Semiconductor Hybrid Materials for Visible-Light CO2Reduction: Design Principles and Interfacial Engineering. Acc. Mater. Res. 2021, 2, 458–470. [Google Scholar] [CrossRef]
- Dhayal, M.; Alexander, M.R.; Bradley, J.W. The Surface Chemistry Resulting from Low-Pressure Plasma Treatment of Polystyrene: The Effect of Residual Vessel Bound Oxygen. Appl. Surf. Sci. 2006, 252, 7957–7963. [Google Scholar] [CrossRef]
- France, R.M.; Short, R.D. Plasma Treatment of Polymers Effects of Energy Transfer from an Argon Plasma on the Surface Chemistry of Poly(Styrene), Low Density Poly(Ethylene), Poly(Propylene) and Poly(Ethylene Terephthalate). J. Chem. Soc.-Faraday Trans. 1997, 93, 3173–3178. [Google Scholar] [CrossRef]
- Jiang, H.; Taranekar, P.; Reynolds, J.R.; Schanze, K.S. Conjugated Polyelectrolytes: Synthesis, Photophysics, and Applications. Angew. Chem. Int. Ed. 2009, 48, 4300–4316. [Google Scholar] [CrossRef]
- Lu, H.; Hu, R.; Bai, H.; Chen, H.; Lv, F.; Liu, L.; Wang, S.; Tian, H. Efficient Conjugated Polymer–Methyl Viologen Electron Transfer System for Controlled Photo-Driven Hydrogen Evolution. ACS Appl. Mater. Interfaces 2017, 9, 10355–10359. [Google Scholar] [CrossRef]
- Dai, C.; Panahandeh-Fard, M.; Gong, X.; Xue, C.; Liu, B. Water-Dispersed Conjugated Polyelectrolyte for Visible-Light Hydrogen Production. Sol. RRL 2019, 3, 1800255. [Google Scholar] [CrossRef]
- Dai, C.; Pan, Y.; Liu, B. Conjugated Polymer Nanomaterials for Solar Water Splitting. Adv. Energy Mater. 2020, 10, 1–8. [Google Scholar] [CrossRef]
- Wu, Y.; Zhang, X.; Xing, Y.; Hu, Z.; Tang, H.; Luo, W.; Huang, F.; Cao, Y. Substituent Regulation Improves Photocatalytic Hydrogen Evolution of Conjugated Polyelectrolytes. ACS Mater. Lett. 2019, 1, 620–627. [Google Scholar] [CrossRef]
- Hu, Z.; Zhang, X.; Yin, Q.; Liu, X.; Jiang, X.; Chen, Z.; Yang, X.; Huang, F.; Cao, Y. Highly Efficient Photocatalytic Hydrogen Evolution from Water-Soluble Conjugated Polyelectrolytes. Nano Energy 2019, 60, 775–783. [Google Scholar] [CrossRef]
- Rafiq, M.; Chen, Z.; Tang, H.; Hu, Z.; Zhang, X.; Xing, Y.; Li, Y.; Huang, F. Water–Alcohol-Soluble Hyperbranched Polyelectrolytes and Their Application in Polymer Solar Cells and Photocatalysis. ACS Appl. Polym. Mater. 2020, 2, 12–18. [Google Scholar] [CrossRef]
- Rafiq, M.; Jing, J.; Liang, Y.; Hu, Z.; Zhang, X.; Tang, H.; Tian, L.; Li, Y.; Huang, F. A Pyridinium-Pended Conjugated Polyelectrolyte for Efficient Photocatalytic Hydrogen Evolution and Organic Solar Cells. Polym. Chem. 2021, 12, 1498–1506. [Google Scholar] [CrossRef]
- Zhao, X.; Zhang, X.; Liang, Y.; Hu, Z.; Huang, F. Porphyrin-Based Conjugated Polyelectrolytes for Efficient Photocatalytic Hydrogen Evolution. Macromolecules 2021, 54, 4902–4909. [Google Scholar] [CrossRef]
- Hu, Y.; Liu, Y.; Wu, J.; Li, Y.; Jiang, J.; Wang, F. A Case Study on a Soluble Dibenzothiophene-S,S-Dioxide-Based Conjugated Polyelectrolyte for Photocatalytic Hydrogen Production: The Film versus the Bulk Material. ACS Appl. Mater. Interfaces 2021, 13, 42753–42762. [Google Scholar] [CrossRef]
- Cui, Y.; Zhang, J.; Zhang, G.; Huang, J.; Liu, P.; Antonietti, M.; Wang, X. Synthesis of Bulk and Nanoporous Carbon Nitride Polymers from Ammonium Thiocyanate for Photocatalytic Hydrogen Evolution. J. Mater. Chem. A 2011, 21, 13032. [Google Scholar] [CrossRef]
- Jiang, J.X.; Su, F.; Trewin, A.; Wood, C.D.; Campbell, N.L.; Niu, H.; Dickinson, C.; Ganin, A.Y.; Rosseinsky, M.J.; Khimyak, Y.Z.; et al. Conjugated Microporous Poly(Aryleneethynylene) Networks. Angew. Chem. Int. Ed. 2007, 46, 8574–8578. [Google Scholar] [CrossRef]
- Cooper, A.I. Conjugated Microporous Polymers. Adv. Mater. 2009, 21, 1291–1295. [Google Scholar] [CrossRef]
- Zhang, W.; Zuo, H.; Cheng, Z.; Shi, Y.; Guo, Z.; Meng, N.; Thomas, A.; Liao, Y. Macroscale Conjugated Microporous Polymers: Controlling Versatile Functionalities Over Several Dimensions. Adv. Mater. 2022, 34, 2104952. [Google Scholar] [CrossRef]
- Brownbill, N.J.; Sprick, R.S.; Bonillo, B.; Pawsey, S.; Aussenac, F.; Fielding, A.J.; Cooper, A.I.; Blanc, F. Structural Elucidation of Amorphous Photocatalytic Polymers from Dynamic Nuclear Polarization Enhanced Solid State NMR. Macromolecules 2018, 51, 3088–3096. [Google Scholar] [CrossRef]
- Uptmoor, A.C.; Ilyas, R.; Elbert, S.M.; Wacker, I.; Schroder, R.R.; Mastalerz, M.; Freudenberg, J.; Bunz, U.H.F. Optical Properties and Sequence Information of Tin-Centered Conjugated Microporous Polymers. Chem.-A Eur. J. 2018, 24, 1674–1680. [Google Scholar] [CrossRef] [PubMed]
- Kailasam, K.; Schmidt, J.; Bildirir, H.; Zhang, G.; Blechert, S.; Wang, X.; Thomas, A. Room Temperature Synthesis of Heptazine-Based Microporous Polymer Networks as Photocatalysts for Hydrogen Evolution. Macromol. Rapid Commun. 2013, 34, 1008–1013. [Google Scholar] [CrossRef] [PubMed]
- Kailasam, K.; Mesch, M.B.; Möhlmann, L.; Baar, M.; Blechert, S.; Schwarze, M.; Schröder, M.; Schomäcker, R.; Senker, J.; Thomas, A. Donor-Acceptor-Type Heptazine-Based Polymer Networks for Photocatalytic Hydrogen Evolution. Energy Technol. 2016, 4, 744–750. [Google Scholar] [CrossRef]
- Kochergin, Y.S.; Schwarz, D.; Acharjya, A.; Ichangi, A.; Kulkarni, R.; Eliášová, P.; Vacek, J.; Schmidt, J.; Thomas, A.; Bojdys, M.J. Exploring the “Goldilocks Zone” of Semiconducting Polymer Photocatalysts by Donor-Acceptor Interactions. Angew. Chem. Int. Ed. 2018, 57, 14188–14192. [Google Scholar] [CrossRef] [PubMed]
- Lin, K.; Wang, Z.; Hu, Z.; Luo, P.; Yang, X.; Zhang, X.; Rafiq, M.; Huang, F.; Cao, Y. Amino-Functionalised Conjugated Porous Polymers for Improved Photocatalytic Hydrogen Evolution. J. Mater. Chem. A 2019, 7, 19087–19093. [Google Scholar] [CrossRef]
- Wang, Z.; Yang, X.; Yang, T.; Zhao, Y.; Wang, F.; Chen, Y.; Zeng, J.H.; Yan, C.; Huang, F.; Jiang, J.X. Dibenzothiophene Dioxide Based Conjugated Microporous Polymers for Visible-Light-Driven Hydrogen Production. ACS Catal. 2018, 8, 8590–8596. [Google Scholar] [CrossRef]
- Kotp, M.G.; Elewa, A.M.; El-mahdy, A.F.M.; Chou, H.; Kuo, S. Tunable Pyridyl-Based Conjugated Microporous Polymers for Visible Light-Driven Hydrogen Evolution. ACS Appl. Energy Mater. 2021, 4, 13140–13151. [Google Scholar] [CrossRef]
- Saber, A.F.; Elewa, A.M.; Chou, H.-H.; EL-Mahdy, A.F.M. Donor-Acceptor Carbazole-Based Conjugated Microporous Polymers as Photocatalysts for Visible-Light-Driven H2 and O2 Evolution from Water Splitting. Appl. Catal. B Environ. 2022, 316, 121624. [Google Scholar] [CrossRef]
- Schukraft, G.E.M.; Itskou, I.; Woodward, R.T.; Van Der Linden, B.; Petit, C.; Urakawa, A. Evaluation of CO2 and H2O Adsorption on a Porous Polymer Using DFT and In Situ DRIFT Spectroscopy. J. Phys. Chem. B 2022, 126, 8048–8057. [Google Scholar] [CrossRef]
- Guilbert, A.A.Y.; Bai, Y.; Aitchison, C.M.; Sprick, R.S.; Zbiri, M. Impact of Chemical Structure on the Dynamics of Mass Transfer of Water in Conjugated Microporous Polymers: A Neutron Spectroscopy Study. ACS Appl. Polym. Mater. 2021, 3, 765–776. [Google Scholar] [CrossRef] [PubMed]
- Bai, Y.; Wilbraham, L.; Gao, H.; Clowes, R.; Yang, H.; Zwijnenburg, M.; Cooper, A.; Sprick, R.S. Photocatalytic Polymers of Intrinsic Microporosity for Hydrogen Production from Water. J. Mater. Chem. A 2021, 121. [Google Scholar] [CrossRef]
- Banerjee, T.; Podjaski, F.; Kröger, J.; Biswal, B.P.; Lotsch, B.V. Polymer Photocatalysts for Solar-to-Chemical Energy Conversion. Nat. Rev. Mater. 2021, 6, 168–190. [Google Scholar] [CrossRef]
- Stegbauer, L.; Schwinghammer, K.; Lotsch, B.V. A Hydrazone-Based Covalent Organic Framework for Photocatalytic Hydrogen Production. Chem. Sci. 2014, 5, 2789–2793. [Google Scholar] [CrossRef]
- Côté, A.P.; El-Kaderi, H.M.; Furukawa, H.; Hunt, J.R.; Yaghi, O.M. Reticular Synthesis of Microporous and Mesoporous 2D Covalent Organic Frameworks. J. Am. Chem. Soc. 2007, 129, 12914–12915. [Google Scholar] [CrossRef] [PubMed]
- Elewa, A.M.; EL-Mahdy, A.F.M.; Hassan, A.E.; Wen, Z.; Jayakumar, J.; Lee, T.-L.; Ting, L.-Y.; Mekhemer, I.M.A.; Huang, T.-F.; Elsayed, M.H.; et al. Solvent Polarity Tuning to Enhance the Crystallinity of 2D-Covalent Organic Frameworks for Visible-Light-Driven Hydrogen Generation. J. Mater. Chem. A 2022, 10, 12378–12390. [Google Scholar] [CrossRef]
- Pachfule, P.; Acharjya, A.; Roeser, J.; Langenhahn, T.; Schwarze, M.; Schomäcker, R.; Thomas, A.; Schmidt, J. Diacetylene Functionalized Covalent Organic Framework (COF) for Photocatalytic Hydrogen Generation. J. Am. Chem. Soc. 2018, 140, 1423–1427. [Google Scholar] [CrossRef] [PubMed]
- Sheng, J.; Dong, H.; Meng, X.; Tang, H.; Yao, Y.; Liu, D.; Bai, L.; Zhang, F.; Wei, J.; Sun, X. Effect of Different Functional Groups on Photocatalytic Hydrogen Evolution in Covalent-Organic Frameworks. ChemCatChem 2019, 11, 2313–2319. [Google Scholar] [CrossRef]
- Chen, W.; Wang, L.; Mo, D.; He, F.; Wen, Z.; Wu, X.; Xu, H.; Chen, L. Modulating Benzothiadiazole-Based Covalent Organic Frameworks via Halogenation for Enhanced Photocatalytic Water Splitting. Angew. Chem. 2020, 132, 17050–17057. [Google Scholar] [CrossRef]
- Chen, R.; Wang, Y.; Ma, Y.; Mal, A.; Gao, X.-Y.; Gao, L.; Qiao, L.; Li, X.-B.; Wu, L.-Z.; Wang, C. Rational Design of Isostructural 2D Porphyrin-Based Covalent Organic Frameworks for Tunable Photocatalytic Hydrogen Evolution. Nat. Commun. 2021, 12, 1354. [Google Scholar] [CrossRef] [PubMed]
- Mi, Z.; Zhou, T.; Weng, W.; Unruangsri, J.; Hu, K.; Yang, W.; Wang, C.; Zhang, K.A.I.; Guo, J. Covalent Organic Frameworks Enabling Site Isolation of Viologen-Derived Electron-Transfer Mediators for Stable Photocatalytic Hydrogen Evolution. Angew. Chem. Int. Ed. 2021, 60, 9642–9649. [Google Scholar] [CrossRef]
- Stegbauer, L.; Zech, S.; Savasci, G.; Banerjee, T.; Podjaski, F.; Schwinghammer, K.; Ochsenfeld, C.; Lotsch, B.V. Tailor-Made Photoconductive Pyrene-Based Covalent Organic Frameworks for Visible-Light Driven Hydrogen Generation. Adv. Energy Mater. 2018, 8, 1703278. [Google Scholar] [CrossRef]
- Wang, X.; Chen, L.; Chong, S.Y.; Little, M.A.; Wu, Y.; Zhu, W.H.; Clowes, R.; Yan, Y.; Zwijnenburg, M.A.; Sprick, R.S.; et al. Sulfone-Containing Covalent Organic Frameworks for Photocatalytic Hydrogen Evolution from Water. Nat. Chem. 2018, 10, 1180–1189. [Google Scholar] [CrossRef]
- Banerjee, T.; Lotsch, B.V. The Wetter the Better. Nat. Chem. 2018, 10, 1175–1177. [Google Scholar] [CrossRef] [PubMed]
- Jin, E.; Lan, Z.; Jiang, Q.; Geng, K.; Li, G.; Wang, X.; Jiang, D. 2D Sp2 Carbon-Conjugated Covalent Organic Frameworks for Photocatalytic Hydrogen Production from Water. Chem 2019, 5, 1632–1647. [Google Scholar] [CrossRef]
- Xu, J.; Yang, C.; Bi, S.; Wang, W.; He, Y.; Wu, D.; Liang, Q.; Wang, X.; Zhang, F. Vinylene-Linked Covalent Organic Frameworks (COFs) with Symmetry-Tuned Polarity and Photocatalytic Activity. Angewewandte Chem. Int. Ed. 2020, 59, 23845–23853. [Google Scholar] [CrossRef]
- Mo, C.; Yang, M.; Sun, F.; Jian, J.; Zhong, L.; Fang, Z.; Feng, J.; Yu, D. Alkene-Linked Covalent Organic Frameworks Boosting Photocatalytic Hydrogen Evolution by Efficient Charge Separation and Transfer in the Presence of Sacrificial Electron Donors. Adv. Sci. 2020, 7, 1902988. [Google Scholar] [CrossRef]
- Ma, S.; Deng, T.; Li, Z.; Zhang, Z.; Jia, J.; Wu, G.; Xia, H.; Yang, S.; Liu, X. Photocatalytic Hydrogen Production on a Sp2-Carbon-Linked Covalent Organic Framework. Angew. Chem. Int. Ed. 2022, 61. [Google Scholar] [CrossRef] [PubMed]
- Wang, Y.; Hao, W.; Liu, H.; Chen, R.; Pan, Q.; Li, Z.; Zhao, Y. Facile Construction of Fully Sp2-Carbon Conjugated Two-Dimensional Covalent Organic Frameworks Containing Benzobisthiazole Units. Nat. Commun. 2022, 13, 100. [Google Scholar] [CrossRef] [PubMed]
- Huang, W.; Hu, Y.; Qin, Z.; Ji, Y.; Zhao, X.; Wu, Y.; He, Q.; Li, Y.; Zhang, C.; Lu, J.; et al. Highly Crystalline and Water-Wettable Benzobisthiazole-Based Covalent Organic Frameworks for Enhanced Photocatalytic Hydrogen Production. Natl. Sci. Rev. 2022, nwac171. [Google Scholar] [CrossRef]
- Bruno, A.; Reynolds, L.X.; Dyer-Smith, C.; Nelson, J.; Haque, S.A. Determining the Exciton Diffusion Length in a Polyfluorene from Ultrafast Fluorescence Measurements of Polymer/Fullerene Blend Films. J. Phys. Chem. C 2013, 117, 19832–19838. [Google Scholar] [CrossRef]
- Shaw, P.E.; Ruseckas, A.; Samuel, I.D.W. Exciton Diffusion Measurements in Poly(3-Hexylthiophene). Adv. Mater. 2008, 20, 3516–3520. [Google Scholar] [CrossRef]
- Schwinghammer, K.; Mesch, M.B.; Duppel, V.; Ziegler, C.; Senker, J.; Lotsch, B.V. Crystalline Carbon Nitride Nanosheets for Improved Visible-Light Hydrogen Evolution. J. Am. Chem. Soc. 2014, 136, 1730–1733. [Google Scholar] [CrossRef] [PubMed]
- Wang, S.; Li, Y.; Wang, X.; Zi, G.; Zhou, C.; Liu, B.; Liu, G.; Wang, L.; Huang, W. One-Step Supramolecular Preorganization Constructed Crinkly Graphitic Carbon Nitride Nanosheets with Enhanced Photocatalytic Activity. J. Mater. Sci. Technol. 2022, 104, 155–162. [Google Scholar] [CrossRef]
- Achilleos, D.S.; Yang, W.; Kasap, H.; Savateev, A.; Markushyna, Y.; Durrant, J.R.; Reisner, E. Solar Reforming of Biomass with Homogeneous Carbon Dots. Angew. Chem. Int. Ed. 2020, 59, 18184–18188. [Google Scholar] [CrossRef]
- Aitchison, C.M.; Sprick, R.S.; Cooper, A.I. Emulsion Polymerization Derived Organic Photocatalysts for Improved Light-Driven Hydrogen Evolution. J. Mater. Chem. A 2019, 7, 2490–2496. [Google Scholar] [CrossRef]
- Pavliuk, M.V.; Wrede, S.; Liu, A.; Brnovic, A.; Wang, S.; Axelsson, M.; Tian, H. Preparation, Characterization, Evaluation and Mechanistic Study of Organic Polymer Nano-Photocatalysts for Solar Fuel Production. Chem. Soc. Rev. 2022, 51, 6909–6935. [Google Scholar] [CrossRef]
- Cho, N.; Schlenker, C.W.; Knesting, K.M.; Koelsch, P.; Yip, H.-L.; Ginger, D.S.; Jen, A.K.-Y. High-Dielectric Constant Side-Chain Polymers Show Reduced Non-Geminate Recombination in Heterojunction Solar Cells. Adv. Energy Mater. 2014, 4, 1301857. [Google Scholar] [CrossRef]
- Pati, P.B.; Damas, G.; Tian, L.; Fernandes, D.L.A.; Zhang, L.; Pehlivan, I.B.; Edvinsson, T.; Araujo, C.M.; Tian, H. An Experimental and Theoretical Study of an Efficient Polymer Nano-Photocatalyst for Hydrogen Evolution. Energy Environ. Sci. 2017, 10, 1372–1376. [Google Scholar] [CrossRef]
- Liu, A.; Gedda, L.; Axelsson, M.; Pavliuk, M.; Edwards, K.; Hammarström, L.; Tian, H. Panchromatic Ternary Polymer Dots Involving Sub-Picosecond Energy and Charge Transfer for Efficient and Stable Photocatalytic Hydrogen Evolution. J. Am. Chem. Soc. 2021, 143, 2875–2885. [Google Scholar] [CrossRef]
- Zhang, Y.; Baran Pati, P.; Tian, H. Preparation of Polymer Nano-Photocatalysts by Using Triton X-100 to Improve Performance of Photocatalytic Hydrogen Generation. Adv. Mater. Lett. 2018, 9, 326–330. [Google Scholar] [CrossRef]
- Liu, A.; Tai, C.W.; Holá, K.; Tian, H. Hollow Polymer Dots: Nature-Mimicking Architecture for Efficient Photocatalytic Hydrogen Evolution Reaction. J. Mater. Chem. A 2019, 7, 4797–4803. [Google Scholar] [CrossRef]
- Elsayed, M.H.; Abdellah, M.; Hung, Y.-H.; Jayakumar, J.; Ting, L.-Y.; Elewa, A.M.; Chang, C.-L.; Lin, W.-C.; Wang, K.-L.; Abdel-Hafiez, M.; et al. Hydrophobic and Hydrophilic Conjugated Polymer Dots as Binary Photocatalysts for Enhanced Visible-Light-Driven Hydrogen Evolution through Förster Resonance Energy Transfer. ACS Appl. Mater. Interfaces 2021. [Google Scholar] [CrossRef]
- Pavliuk, M.V.; Lorenzi, M.; Morado, D.R.; Gedda, L.; Wrede, S.; Mejias, S.H.; Liu, A.; Senger, M.; Glover, S.; Edwards, K.; et al. Polymer Dots as Photoactive Membrane Vesicles for [FeFe]-Hydrogenase Self-Assembly and Solar-Driven Hydrogen Evolution. J. Am. Chem. Soc. 2022, 144, 13600–13611. [Google Scholar] [CrossRef]
- Zhang, X.L.; Wang, L.; Chen, L.; Ma, X.Y.; Xu, H.X. Ultrathin 2D Conjugated Polymer Nanosheets for Solar Fuel Generation. Chin. J. Polym. Sci. 2019, 37, 101–114. [Google Scholar] [CrossRef]
- Zhang, G.; Lan, Z.-A.; Lin, L.; Lin, S.; Wang, X. Overall Water Splitting by Pt/g-C3N4 Photocatalysts without Using Sacrificial Agents. Chem. Sci. 2016, 7, 3062–3066. [Google Scholar] [CrossRef] [PubMed]
- Marquard, A.N.; Slaymaker, L.E.; Hamers, R.J.; Goldsmith, R.H. Investigation of Activity, Stability, and Degradation Mechanism of Surface-Supported Pd-PEPPSI Complexes for Suzuki-Miyaura Coupling. Mol. Catal. 2017, 429, 10–17. [Google Scholar] [CrossRef]
- Ge, L.; Zuo, F.; Liu, J.; Ma, Q.; Wang, C.; Sun, D.; Bartels, L.; Feng, P. Synthesis and Efficient Visible Light Photocatalytic Hydrogen Evolution of Polymeric G-C3N4 Coupled with CdS Quantum Dots. J. Phys. Chem. C 2012, 116, 13708–13714. [Google Scholar] [CrossRef]
- Cao, S.; Shen, B.; Huang, Q.; Chen, Z. Effect of Sacrificial Agents on the Dispersion of Metal Cocatalysts for Photocatalytic Hydrogen Evolution. Appl. Surf. Sci. 2018, 442, 361–367. [Google Scholar] [CrossRef]
- Baba, R.; Nakabayashi, S.; Fujishima, A.; Honda, K. Investigation of the Mechanism of Hydrogen Evolution during Photocatalytic Water Decomposition on Metal-Loaded Semiconductor Powders. J. Phys. Chem. 1985, 89, 1902–1905. [Google Scholar] [CrossRef]
- Wang, S.; Lu, A.; Zhong, C.-J. Hydrogen Production from Water Electrolysis: Role of Catalysts. Nano Converg. 2021, 8, 4. [Google Scholar] [CrossRef] [PubMed]
- Joo, J.B.; Dillon, R.; Lee, I.; Yin, Y.; Bardeen, C.J.; Zaera, F. Promotion of Atomic Hydrogen Recombination as an Alternative to Electron Trapping for the Role of Metals in the Photocatalytic Production of H2. Proc. Natl. Acad. Sci. USA 2014, 111, 7942–7947. [Google Scholar] [CrossRef] [PubMed]
- Reid, S.M.; Boyle, R.C.; Mague, J.T.; Fink, M.J. A Dicoordinate Palladium(0) Complex with an Unusual Intramolecular η-Arene Coordination. J. Am. Chem. Soc. 2003, 125, 7816–7817. [Google Scholar] [CrossRef] [PubMed]
- Nielsen, K.T.; Bechgaard, K.; Krebs, F.C. Removal of Palladium Nanoparticles from Polymer Materials. Macromolecules 2005, 38, 658–659. [Google Scholar] [CrossRef]
- Sprick, R.S.; Hoyos, M.; Morrison, J.J.; Grace, I.M.; Lambert, C.; Navarro, O.; Turner, M.L. Triarylamine Polymers of Bridged Phenylenes by (N-Heterocyclic Carbene)-Palladium Catalysed C–N Coupling. J. Mater. Chem. C 2013, 1, 3327. [Google Scholar] [CrossRef]
- Hasell, T.; Wood, C.D.; Clowes, R.; Jones, J.T.A.; Khimyak, Y.Z.; Adams, D.J.; Cooper, A.I. Palladium Nanoparticle Incorporation in Conjugated Microporous Polymers by Supercritical Fluid Processing. Chem. Mater. 2010, 22, 557–564. [Google Scholar] [CrossRef]
- Sheng, X.; Shi, H.; You, D.; Ding, X.; Peng, M.; Shao, P.; Yang, L.; Wang, H.; Luo, X.; Luo, S. Specific Πδ+–Πδ- Interaction Enables Conjugated Microporous Polymers for Highly Selective Capture of Pd(II). Chem. Eng. J. 2022, 437, 135367. [Google Scholar] [CrossRef]
- Park, J.-E.; Park, S.-G.; Koukitu, A.; Hatozaki, O.; Oyama, N. Electrochemical and Chemical Interactions between Polyaniline and Palladium Nanoparticles. Synth. Met. 2004, 141, 265–269. [Google Scholar] [CrossRef]
- Jin, X.; Zhang, L.; Fan, X.; Tian, J.; Wang, M.; Shi, J. A Photo-Excited Electron Transfer Hyperchannel Constructed in Pt-Dispersed Pyrimidine-Modified Carbon Nitride for Remarkably Enhanced Water-Splitting Photocatalytic Activity. Appl. Catal. B Environ. 2018, 237, 888–894. [Google Scholar] [CrossRef]
- Ren, M.; Zhang, X.; Liu, Y.; Yang, G.; Qin, L.; Meng, J.; Guo, Y.; Yang, Y. Interlayer Palladium-Single-Atom-Coordinated Cyano-Group-Rich Graphitic Carbon Nitride for Enhanced Photocatalytic Hydrogen Production Performance. ACS Catal. 2022, 12, 5077–5093. [Google Scholar] [CrossRef]
- Shen, S.; Chen, J.; Wang, Y.; Dong, C.-L.; Meng, F.; Zhang, Q.; Huangfu, Y.; Lin, Z.; Huang, Y.-C.; Li, Y.; et al. Boosting Photocatalytic Hydrogen Production by Creating Isotype Heterojunctions and Single-Atom Active Sites in Highly-Crystallized Carbon Nitride. Sci. Bull. 2022, 67, 520–528. [Google Scholar] [CrossRef]
- Dong, P.; Wang, Y.; Zhang, A.; Cheng, T.; Xi, X.; Zhang, J. Platinum Single Atoms Anchored on a Covalent Organic Framework: Boosting Active Sites for Photocatalytic Hydrogen Evolution. ACS Catal. 2021, 11, 13266–13279. [Google Scholar] [CrossRef]
- Lin, Z.; Wang, Y.; Peng, Z.; Huang, Y.; Meng, F.; Chen, J.; Dong, C.; Zhang, Q.; Wang, R.; Zhao, D.; et al. Single-Metal Atoms and Ultra-Small Clusters Manipulating Charge Carrier Migration in Polymeric Perylene Diimide for Efficient Photocatalytic Oxygen Production. Adv. Energy Mater. 2022, 12, 2200716. [Google Scholar] [CrossRef]
- Li, L.; Hadt, R.G.; Yao, S.; Lo, W.Y.; Cai, Z.; Wu, Q.; Pandit, B.; Chen, L.X.; Yu, L. Photocatalysts Based on Cobalt-Chelating Conjugated Polymers for Hydrogen Evolution from Water. Chem. Mater. 2016, 28, 5394–5399. [Google Scholar] [CrossRef]
- Lin, W.-C.; Elsayed, M.H.; Jayakumar, J.; Ting, L.-Y.; Chang, C.-L.; Elewa, A.M.; Wang, W.-S.; Chung, C.-C.; Lu, C.-Y.; Chou, H.-H. Design and Synthesis of Cyclometalated Iridium-Based Polymer Dots as Photocatalysts for Visible Light-Driven Hydrogen Evolution. Int. J. Hydrog. Energy 2020. [Google Scholar] [CrossRef]
- Chang, C.-L.; Lin, W.-C.; Jia, C.-Y.; Ting, L.-Y.; Jayakumar, J.; Elsayed, M.H.; Yang, Y.-Q.; Chan, Y.-H.; Wang, W.-S.; Lu, C.-Y.; et al. Low-Toxic Cycloplatinated Polymer Dots with Rational Design of Acceptor Co-Monomers for Enhanced Photocatalytic Efficiency and Stability. Appl. Catal. B Environ. 2020, 268, 118436. [Google Scholar] [CrossRef]
- Xiao, Z.; Xiao, J.; Sun, Q.; Wang, Y.; Pan, L.; Shi, C.; Zhang, X.; Zou, J. Interface Engineering of Conjugated Polymer-Based Composites for Photocatalysis. Chem. A Eur. J. 2022. [Google Scholar] [CrossRef]
- Saunders, B.; Wilbraham, L.; Prentice, A.W.; Sprick, R.S.; Zwijnenburg, M.A. The Potential Scarcity, or Not, of Polymeric Overall Water Splitting Photocatalysts. Sustain. Energy Fuels 2022, 6, 2233–2242. [Google Scholar] [CrossRef]
- Takata, T.; Jiang, J.; Sakata, Y.; Nakabayashi, M.; Shibata, N.; Nandal, V.; Seki, K.; Hisatomi, T.; Domen, K. Photocatalytic Water Splitting with a Quantum Efficiency of Almost Unity. Nature 2020, 581, 411–414. [Google Scholar] [CrossRef]
- Ohno, T.; Bai, L.; Hisatomi, T.; Maeda, K.; Domen, K. Photocatalytic Water Splitting Using Modified GaN:ZnO Solid Solution under Visible Light: Long-Time Operation and Regeneration of Activity. J. Am. Chem. Soc. 2012, 134, 8254–8259. [Google Scholar] [CrossRef]
- Schwarze, M.; Stellmach, D.; Schröder, M.; Kailasam, K.; Reske, R.; Thomas, A.; Schomäcker, R. Quantification of Photocatalytic Hydrogen Evolution. Phys. Chem. Chem. Phys. 2013, 15, 3466. [Google Scholar] [CrossRef] [PubMed]
- Wang, Z.; Hisatomi, T.; Li, R.; Sayama, K.; Liu, G.; Domen, K.; Li, C.; Wang, L. Efficiency Accreditation and Testing Protocols for Particulate Photocatalysts toward Solar Fuel Production. Joule 2021, 5, 344–359. [Google Scholar] [CrossRef]
- Bukowski, B.C.; Bates, J.S.; Gounder, R.; Greeley, J. Defect-Mediated Ordering of Condensed Water Structures in Microporous Zeolites. Angew. Chem. Int. Ed. 2019, 58, 16422–16426. [Google Scholar] [CrossRef] [PubMed]
- Moon, H.; Collanton, R.P.; Monroe, J.I.; Casey, T.M.; Shell, M.S.; Han, S.; Scott, S.L. Evidence for Entropically Controlled Interfacial Hydration in Mesoporous Organosilicas. J. Am. Chem. Soc. 2022, 144, 1766–1777. [Google Scholar] [CrossRef]
- Rosenberg, D.J.; Alayoglu, S.; Kostecki, R.; Ahmed, M. Synthesis of Microporous Silica Nanoparticles to Study Water Phase Transitions by Vibrational Spectroscopy. Nanoscale Adv. 2019, 1, 4878–4887. [Google Scholar] [CrossRef]
- Pütz, A.M.; Terban, M.W.; Bette, S.; Haase, F.; Dinnebier, R.E.; Lotsch, B.V. Total Scattering Reveals the Hidden Stacking Disorder in a 2D Covalent Organic Framework. Chem. Sci. 2020, 11, 12647–12654. [Google Scholar] [CrossRef]
- Evans, A.M.; Parent, L.R.; Flanders, N.C.; Bisbey, R.P.; Vitaku, E.; Kirschner, M.S.; Schaller, R.D.; Chen, L.X.; Gianneschi, N.C.; Dichtel, W.R. Seeded Growth of Single-Crystal Two-Dimensional Covalent Organic Frameworks. Science 2018, 361, 52–57. [Google Scholar] [CrossRef]
- Peng, L.; Guo, Q.; Song, C.; Ghosh, S.; Xu, H.; Wang, L.; Hu, D.; Shi, L.; Zhao, L.; Li, Q.; et al. Ultra-Fast Single-Crystal Polymerization of Large-Sized Covalent Organic Frameworks. Nat. Commun. 2021, 12, 5077. [Google Scholar] [CrossRef]
- Natraj, A.; Ji, W.; Xin, J.; Castano, I.; Burke, D.W.; Evans, A.M.; Strauss, M.J.; Ateia, M.; Hamachi, L.S.; Gianneschi, N.C.; et al. Single-Crystalline Imine-Linked Two-Dimensional Covalent Organic Frameworks Separate Benzene and Cyclohexane Efficiently. J. Am. Chem. Soc. 2022, 144, 19813–19824. [Google Scholar] [CrossRef]
- Kayser, L.V.; Hartigan, E.M.; Arndtsen, B.A. Multicomponent Coupling Approach to Cross-Conjugated Polymers from Vanillin-Based Monomers. ACS Sustain. Chem. Eng. 2016, 4, 6263–6267. [Google Scholar] [CrossRef]
- Sassi, M.; Mattiello, S.; Beverina, L. Syntheses of Organic Semiconductors in Water. Recent Advancement in the Surfactants Enhanced Green Access to Polyconjugated Molecules: Syntheses of Organic Semiconductors in Water. Recent Advancement in the Surfactants Enhanced Green Access to Polyconjugated Molecules. Eur. J. Org. Chem. 2020, 2020, 3942–3953. [Google Scholar] [CrossRef]
- Calvo-Flores, F.G. Sustainable Chemistry Metrics. ChemSusChem 2009, 2, 905–919. [Google Scholar] [CrossRef] [PubMed]
- Pouliot, J.-R.; Grenier, F.; Blaskovits, J.T.; Beaupré, S.; Leclerc, M. Direct (Hetero)Arylation Polymerization: Simplicity for Conjugated Polymer Synthesis. Chem. Rev. 2016, 116, 14225–14274. [Google Scholar] [CrossRef] [PubMed]
- Sanzone, A.; Calascibetta, A.; Monti, M.; Mattiello, S.; Sassi, M.; Corsini, F.; Griffini, G.; Sommer, M.; Beverina, L. Synthesis of Conjugated Polymers by Sustainable Suzuki Polycondensation in Water and under Aerobic Conditions. ACS Macro Lett. 2020, 9, 1167–1171. [Google Scholar] [CrossRef]
- de Queiroz Corrêa, L.; Hellen de Souza Miranda, B.; de Amorim Soares, G.; Bagnis, D. From-Lab-to-Fab: Challenges and Vision for Sustainable Organic Electronics—Organic Photovoltaic Case. In Sustainable Strategies in Organic Electronics; Elsevier: Amsterdam, The Netherlands, 2022; pp. 521–560. ISBN 978-0-12-823147-0. [Google Scholar]
- Torricelli, F.; Alessandri, I.; Macchia, E.; Vassalini, I.; Maddaloni, M.; Torsi, L. Green Materials and Technologies for Sustainable Organic Transistors. Adv. Mater. Technol. 2022, 7, 2100445. [Google Scholar] [CrossRef]
- Bracciale, M.P. End-of-Life Organic Electronics: Which Sustainable Models? In Sustainable Strategies in Organic Electronics; Elsevier: Amsterdam, The Netherlands, 2022; pp. 507–519. ISBN 978-0-12-823147-0. [Google Scholar]
- Isaacson, C.W.; Kleber, M.; Field, J.A. Quantitative Analysis of Fullerene Nanomaterials in Environmental Systems: A Critical Review. Environ. Sci. Technol. 2009, 43, 6463–6474. [Google Scholar] [CrossRef]
- Rillig, M.C. Microplastic in Terrestrial Ecosystems and the Soil? Environ. Sci. Technol. 2012, 46, 6453–6454. [Google Scholar] [CrossRef]
- Manzetti, S. Polycyclic Aromatic Hydrocarbons in the Environment: Environmental Fate and Transformation. Polycycl. Aromat. Compd. 2013, 33, 311–330. [Google Scholar] [CrossRef]











































| Organic Photocatalyst | Experimental Conditions | Light Source | HER (μmol h−1 g−1) | EQE (%) | Ref. |
|---|---|---|---|---|---|
| P10 | 25 mg photocatalyst; 25 mL H2O, MeOH, TEA (1:1:1); Pd 0.4 wt. % | 300 W Xe, >420 nm filter | 3260 | 11.6 (at 420 nm) | [48] |
| PyDTDO-3 | 10 mg photocatalyst; 90 mL 1.0 M ascorbic acid at pH 2.53, 10 mL DMF; Pd 16 ppm | 300 W Xe, >420 nm filter | 16,320 | 3.70 (at 420 nm) | [82] |
| PBDTTS-1SO | 2 mg photocatalyst; 9 mL 1 M ascorbic acid at pH 4, 1 mL NMP; Pd 0.69 wt. % Pt 3 wt. % (b) | 350 W Xe, >380 nm filter | 97,120 | 13.5 (at 420 nm) | [85] |
| PDPP3B-O4 | 25 mg photocatalyst; 60 mL H2O, TEA (5:1); Pd 0.20 wt. % Pt 1 wt. % (b) | 300 W Xe, >400 nm filter | 5530 | 5.76 (at 450 nm) | [96] |
| FS-TEG | 25 mg photocatalyst; 22.5 mL H2O, MeOH, TEA (1:1:1); Pd 0.3 wt. % | 300 W Xe, >420 nm filter | 2900 | 10 (at 420 nm) | [95] |
| PBDTBT-7EO | 2.5 mg photocatalyst; 50 mL 0.2 M ascorbic acid at pH 4; Pt 3 wt. % (b) Residual Pd (a) | 300 W Xe, >420 nm filter | 12,800 | 0.3 (at 600 nm) | [94] |
| PF6A-DBTO2 | 5 mg photocatalyst; 50 mL H2O, MeOH, TEA (3:1:1); Pd 1.37 wt. % | 300 W Xe, >420 nm filter | 21,930 | 8.28 (at 405 nm) | [99] |
| P-HEG-10 | 5 mg photocatalyst; 10 mL H2O, MeOH, TEA (1:1:1); Pt 5 wt. % (c) Pd 0.024 wt. % | 300 W Xe, >380 nm filter | 10,800 | 18.19 (at 420 nm) | [100] |
| PFBr-PhCN | 2.5 mg photocatalyst; 50 mL 0.2 M ascorbic acid at pH 4; Pt 3 wt. % (b) Pd 1.32 wt. % | 300 W Xe, filter not specified | 15,320 | 0.42 (at 450 nm) | [111] |
| PSO-FNBr | 2.5 mg photocatalyst 100 mL H2O, 7.5 vol% TEOA Pt 3 wt. % (b) Pd 0.21 wt. % | Xe (d), >420 nm filter | 14,500 | 0.9 (at 450 nm) | [116] |
| Organic Photocatalyst | Experimental Conditions | Light Source | HER (μmol h−1 g−1) | EQE (%) | Ref. |
|---|---|---|---|---|---|
| SNP-BTT1 | 15 mg photocatalyst; 34 mL H2O, MeCN (1:1) at pH 7, 4 mL TEOA; Pd 0.61 wt. % Pt 3 wt. % (a) | 300 W Xe, >395 nm filter | 3158 | 4.5 (at 420 nm) | [125] |
| Tr-F3N | 10 mg photocatalyst; 50 mL H2O, ethylene glycol, TEOA (6:3:1); Pd 6.9 ppm% | 300 W Xe, >300 nm filter | 538 | N.A. | [126] |
| Cp-St | 6 mg photocatalyst; 30 mL 1 M ascorbic acid at pH 4, 6 mL NMP; Pd 0.739 wt. %, Sn 0.293 wt. % | 300 W Xe, >420 nm filter | 190,700 | 6.9 (at 550 nm) | [55] |
| S-CMP-3 | 25 mg photocatalyst; 25 mL H2O, MeOH, TEA (1:1:1); Pd 0.72 wt. % | 300 W Xe, >420 nm filter | 3106 | 13.2 (at 420 nm) | [37] |
| PTEPB | 20 mg photocatalyst; 50 mL H2O; Cu 0.02 wt. % | 300 W Xe, >420 nm filter | 218 | 10.3 (at 420 nm) | [13] |
| TFPT-COF | 10 mg photocatalyst; 10 mL H2O, TEOA (9:1); Pt 2.2 wt. % (a) | 300 W Xe, >420 nm filter | 1970 | 3.9 (at 500 nm) | [134] |
| FS-COF | 5 mg photocatalyst; 25 mL 0.1 M ascorbic acid at pH 2.6; 5 μL of 8 wt. % H2PtCl6 added (a) | 300 W Xe, >420 nm filter | 10,100 | 3.2 (at 420 nm) | [143] |
| Organic Photocatalyst | Experimental Conditions | Light Source | HER (μmol h−1 g−1) | EQE (%) | Ref. |
|---|---|---|---|---|---|
| P10-e | 325 μg photocatalyst; 25 mL aqueous [containing H2O and toluene (9:1), 10 mg mL−1 SDS and 3.5 mg mL−1 Na2CO3] MeOH, TEA (1:1:1) Pd 0.403 wt. % | 300 W Xe, >420 nm filter | 60,600 | 5.8 (at 420 nm) | [156] |
| PTB7-Th/ EH-IDTBR | 2 mg photocatalyst (30:70 PT7B-Th:EH-IDTBR and TEBS surfactant); 20 mL 0.2 M ascorbic acid (pH 2); Pd 3129 ppm Pt 10% (a) | 300 W Xe, >350 nm filter | 64,426 | 6.2 (at 700 nm) | [30] |
| PFODTBT/ PS-PEG-COOH | 13 μg mL−1 photocatalyst; 3 mL 0.2 M ascorbic acid (pH 4); Pd 0.1 w/w% | White LED light (17 W, 5000 K), >420 nm filter | 63,000 | 0.6 (at 550 nm) | [159] |
| D1,D2,ITIC/ PS-PEG- COOH | 62 μg photocatalyst (55 wt. % ITIC); 2 mL 0.8 M ascorbic acid (pH 4); Pt 6 wt. % (b) | White LED light (17 W, 5000 K), >420 nm filter | 60,800 | 7.1 (at 600 nm) | [160] |
Publisher’s Note: MDPI stays neutral with regard to jurisdictional claims in published maps and institutional affiliations. |
© 2022 by the authors. Licensee MDPI, Basel, Switzerland. This article is an open access article distributed under the terms and conditions of the Creative Commons Attribution (CC BY) license (https://creativecommons.org/licenses/by/4.0/).
Share and Cite
McQueen, E.; Bai, Y.; Sprick, R.S. Impact of Interfaces, and Nanostructure on the Performance of Conjugated Polymer Photocatalysts for Hydrogen Production from Water. Nanomaterials 2022, 12, 4299. https://doi.org/10.3390/nano12234299
McQueen E, Bai Y, Sprick RS. Impact of Interfaces, and Nanostructure on the Performance of Conjugated Polymer Photocatalysts for Hydrogen Production from Water. Nanomaterials. 2022; 12(23):4299. https://doi.org/10.3390/nano12234299
Chicago/Turabian StyleMcQueen, Ewan, Yang Bai, and Reiner Sebastian Sprick. 2022. "Impact of Interfaces, and Nanostructure on the Performance of Conjugated Polymer Photocatalysts for Hydrogen Production from Water" Nanomaterials 12, no. 23: 4299. https://doi.org/10.3390/nano12234299
APA StyleMcQueen, E., Bai, Y., & Sprick, R. S. (2022). Impact of Interfaces, and Nanostructure on the Performance of Conjugated Polymer Photocatalysts for Hydrogen Production from Water. Nanomaterials, 12(23), 4299. https://doi.org/10.3390/nano12234299

