A Comparative Study of the Band-Edge Exciton Fine Structure in Zinc Blende and Wurtzite CdSe Nanocrystals
Abstract
1. Introduction
2. Materials and Methods
2.1. Samples Synthesis
2.1.1. zb-CdSe NCs Synthesis
2.1.2. wz-CdSe NCs Synthesis
2.2. Methods
3. Experimental Results
3.1. Bright–Dark Splitting Measured by FLN and PLE
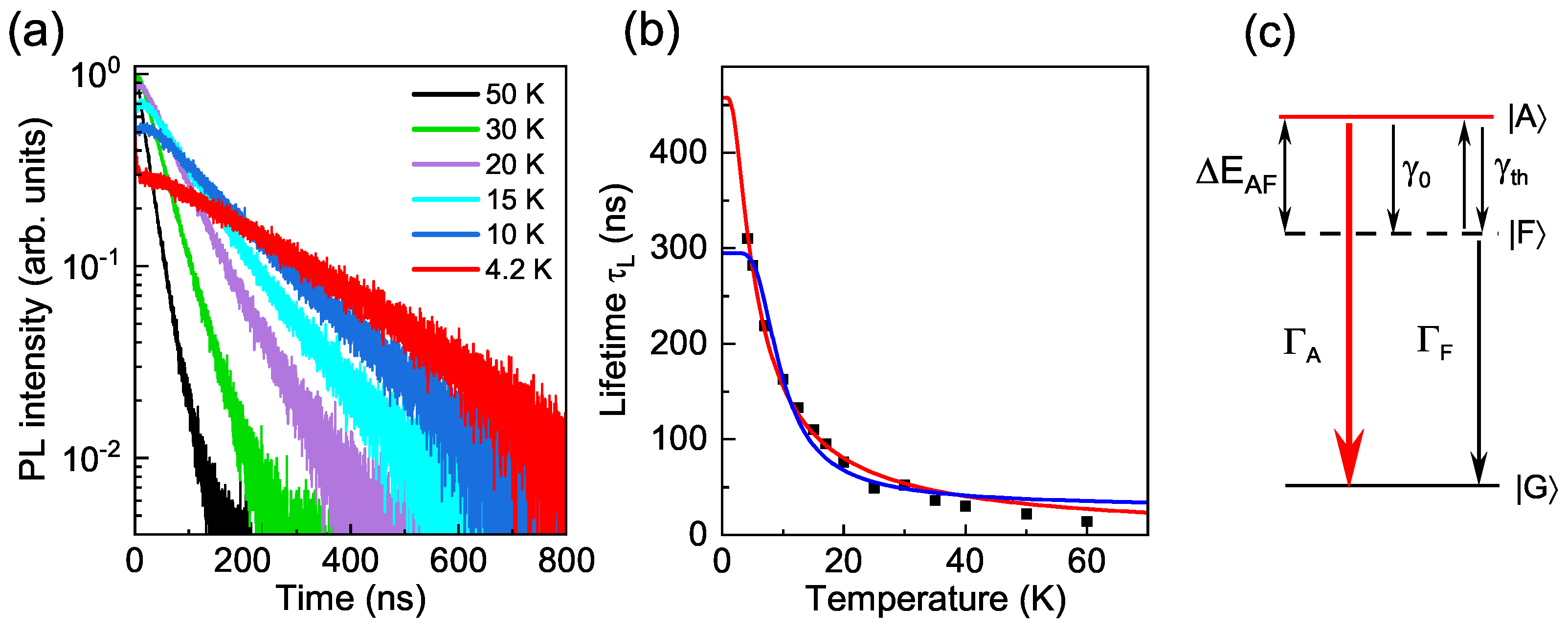
3.2. Bright–Dark Splitting Evaluated from Temperature-Dependent PL Decay
4. Theoretical Modeling
4.1. Alternative Modeling of the Temperature-Dependent PL Decay
4.2. Theory of the FLN Spectra with Account for the Nanocrystal Shape Dispersion
5. Discussion
6. Conclusions
Supplementary Materials
Author Contributions
Funding
Institutional Review Board Statement
Informed Consent Statement
Data Availability Statement
Acknowledgments
Conflicts of Interest
References
- Ekimov, A.I.; Onushchenko, A.A. Quantum size effect in three–dimensional microscopic semiconductor crystals. JETP Lett. 1981, 34, 345–349. [Google Scholar]
- Efros, A.L.; Efros, A.L. Interband absorption of light in a semiconductor sphere. Sov. Phys. Semicond. 1982, 16, 772–775. [Google Scholar]
- Brus, L.E. Electron-electron and electron-hole interactions in small semiconductor crystallites: The size dependance of the low-est excited electronic state. J. Chem. Phys. 1984, 80, 4403. [Google Scholar] [CrossRef]
- Garcia de Arquer, F.P.; Talapin, D.V.; Klimov, V.I.; Arakawa, Y.; Bayer, M.; Sargent, E.H. Semiconductor quantum dots: Technological progress and future challenges. Science 2021, 373, eaaz8541. [Google Scholar] [CrossRef]
- Bayer, M. Bridging two worlds: Colloidal versus epitaxial quantum dots. Ann. Phys. 2019, 531, 1900039. [Google Scholar] [CrossRef]
- Kovalenko, M.V.; Manna, L.; Cabot, A.; Hens, Z.; Talapin, D.V.; Kagan, C.R.; Klimov, V.I.; Rogach, A.L.; Reiss, P.; Milliron, D.J.; et al. Prospects of nanoscience with nanocrystals. ACS Nano 2015, 9, 1012–1057. [Google Scholar] [CrossRef]
- Efros, A.L.; Brus, L.E. Nanocrystal quantum dots: From discovery to modern development. ACS Nano 2021, 15, 6192–6210. [Google Scholar] [CrossRef]
- Kovalenko, M.V.; Protesescu, L.; Bodnarchuk, M.I. Properties and potential optoelectronic applications of lead halide perovskite nanocrystals. Science 2017, 358, 745–750. [Google Scholar] [CrossRef]
- Dey, A.; Ye, J.; De, A.; Debroye, E.; Kyun Ha, S.; Bladt, E.; Kshirsagar, A.S.; Wang, Z.; Yin, J.; Wang, Y.; et al. State of the art and prospects for halide perovskite nanocrystals. ACS Nano 2021, 15, 10775–10981. [Google Scholar] [CrossRef]
- Ragazzon, G.; Cadranel, A.; Ushakova, E.V.; Wang, Y.; Guldi, D.M.; Rogach, A.L.; Kotov, N.A.; Prato, M. Optical processes in carbon nanocolloids. Chem 2021, 7, 606–628. [Google Scholar] [CrossRef]
- Lv, L.; Liu, S.; Li, J.; Lei, H.; Qin, H.; Peng, X. Synthesis of weakly confined, cube-shaped, and monodisperse cadmium chalcogenide nanocrystals with unexpected photophysical properties. J. Am. Chem. Soc. 2022, 144, 16872–16882. [Google Scholar] [CrossRef] [PubMed]
- Jasieniak, J.; Bullen, C.; Van Embden, J.; Mulvaney, P. Phosphine-free synthesis of CdSe nanocrystals. J. Phys. Chem. B 2005, 109, 20665–20668. [Google Scholar] [CrossRef] [PubMed]
- Mohamed, M.B.; Tonti, D.; Al-Salman, A.; Chemseddine, A.; Chergui, M. Synthesis of high quality zinc blende CdSe nanocrystals. J. Phys. Chem. B 2005, 109, 10533–10537. [Google Scholar] [CrossRef] [PubMed]
- Wu, F.; Zhang, Z.; Zhu, Z.; Li, M.; Lu, W.; Chen, M.; Xu, E.; Wang, L.; Jiang, Y. Fine-tuning the crystal structure of CdSe quantum dots by varying the dynamic characteristics of primary alkylamine ligands. CrystEngComm 2018, 20, 4492–4498. [Google Scholar] [CrossRef]
- Aubert, T.; Golovatenko, A.A.; Samoli, M.; Lermusiaux, L.; Zinn, T.; Abécassis, B.; Rodina, A.V.; Hens, Z. General expression for the size-dependent optical properties of quantum dots. Nano Lett. 2022, 22, 1778–1785. [Google Scholar] [CrossRef]
- Efros, A.L.; Rosen, M.; Kuno, M.; Nirmal, M.; Norris, D.J.; Bawendi, M. Band-edge exciton in quantum dots of semiconductors with a degenerate valence band: Dark and bright exciton states. Phys. Rev. B 1996, 54, 4843. [Google Scholar] [CrossRef]
- Gupalov, S.V.; Ivchenko, E.L. The fine structure of excitonic levels in CdSe nanocrystals. Phys. Solid State 2000, 42, 2030–2038. [Google Scholar] [CrossRef]
- Sercel, P.C.; Efros, A.L. Band-edge exciton in CdSe and other II–VI and III–V compound semiconductor nanocrystals—Revisited. Nano Lett. 2018, 18, 4061–4068. [Google Scholar] [CrossRef]
- Franceschetti, A.; Fu, H.; Wang, L.; Zunger, A. Many-body pseudopotential theory of excitons in InP and CdSe quantum dots. Phys. Rev. B 1999, 60, 1819. [Google Scholar] [CrossRef]
- Bui, H.; Karpulevich, A.; Bester, G. Excitonic fine structure of zinc-blende and wurtzite colloidal CdSe nanocrystals and comparison to effective mass results. Phys. Rev. B 2020, 101, 115414. [Google Scholar] [CrossRef]
- Leung, K.; Pokrant, S.; Whaley, K.B. Exciton fine structure in CdSe nanoclusters. Phys. Rev. B 1998, 57, 12291. [Google Scholar] [CrossRef]
- Rodina, A.V.; Efros, A.L. Radiative recombination from dark excitons in nanocrystals: Activation mechanisms and polarization properties. Phys. Rev. B 2016, 93, 155427. [Google Scholar] [CrossRef]
- Norris, D.; Efros, A.L.; Rosen, M.; Bawendi, M. Size dependence of exciton fine structure in CdSe quantum dots. Phys. Rev. B 1996, 53, 16347. [Google Scholar] [CrossRef] [PubMed]
- Chamarro, M.; Gourdon, C.; Lavallard, P.; Lublinskaya, O.; Ekimov, A.I. Enhancement of electron-hole exchange interaction in CdSe nanocrystals: A quantum confinement effect. Phys. Rev. B 1996, 53, 1336. [Google Scholar] [CrossRef] [PubMed]
- Kuno, M.; Lee, J.-K.; Dabbousi, B.O.; Mikulec, F.V.; Bawendi, M.G. The band edge luminescence of surface modified CdSe nanocrystallites: Probing the luminescing state. J. Chem. Phys. 1997, 106, 9869. [Google Scholar] [CrossRef]
- Woggon, U.; Gindele, F.; Wind, O.; Klingshirn, C. Exchange interaction and phonon confinement in CdSe quantum dots. Phys. Rev. B 1996, 54, 1506. [Google Scholar] [CrossRef]
- Qiang, G.; Golovatenko, A.A.; Shornikova, E.V.; Yakovlev, D.R.; Rodina, A.V.; Zhukov, E.A.; Kalitukha, I.V.; Sapega, V.F.; Kaibyshev, V.K.; Prosnikov, M.A.; et al. Polarized emission of CdSe nanocrystals in magnetic field: The role of phonon-assisted recombination of the dark exciton. Nanoscale 2021, 13, 790–800. [Google Scholar] [CrossRef]
- Biadala, L.; Shornikova, E.V.; Rodina, A.V.; Yakovlev, D.R.; Siebers, B.; Aubert, T.; Nasilowski, M.; Hens, Z.; Dubertet, B.; Efros, A.L.; et al. Magnetic polaron on dangling bond spins in CdSe colloidal nanocrystals. Nat. Nanotechnol. 2017, 12, 569–574. [Google Scholar] [CrossRef]
- Crooker, S.A.; Barrick, T.; Hollingsworth, J.A.; Klimov, V.I. Multiple temperature regimes of radiative decay in CdSe nanocrystal quantum dots: Intrinsic limits to the dark-exciton lifetime. Appl. Phys. Lett. 2003, 82, 2793. [Google Scholar] [CrossRef]
- De Mello Donegá, C.; Bode, M.; Meijerink, A. Size- and temperature-dependence of exciton lifetimes in CdSe quantum dots. Phys. Rev. B 2006, 74, 085320. [Google Scholar] [CrossRef]
- Moreels, I.; Rainó, G.; Gomes, R.; Hens, Z.; Stöferle, T.; Mahrt, R.F. Band-edge exciton fine structure of small, nearly spherical colloidal CdSe/ZnS quantum dots. ACS Nano 2011, 5, 8033–8039. [Google Scholar] [CrossRef] [PubMed]
- Labeau, O.; Tamarat, P.; Lounis, B. Temperature dependence of the luminescence lifetime of single CdSe/ZnS quantum dots. Phys. Rev. Lett. 2003, 90, 257404. [Google Scholar] [CrossRef] [PubMed]
- Biadala, L.; Louyer, Y.; Tamarat, P.; Lounis, B. Direct observation of the two lowest exciton zero-phonon lines in single CdSe/ZnS nanocrystals. Phys. Rev. Lett. 2009, 103, 037404. [Google Scholar] [CrossRef] [PubMed]
- Fernée, M.J.; Littleton, B.N.; Rubinsztein-Dunlop, H. Detection of bright trion states using the fine structure emission of single CdSe/ZnS colloidal quantum dots. ACS Nano 2009, 3, 3762–3768. [Google Scholar] [CrossRef] [PubMed]
- Louyer, Y.; Biadala, L.; Trebbia, J.-B.; Fernée, M.J.; Tamarat, P.; Lounis, B. Efficient biexciton emission in elongated CdSe/ZnS nanocrystals. Nano Lett. 2011, 11, 4370–4375. [Google Scholar] [CrossRef] [PubMed]
- Oron, D.; Aharoni, A.; De Mello Donega, C.; Van Rijssel, J.; Meijerink, A.; Banin, U. Universal role of discrete acoustic phonons in the low-temperature optical emission of colloidal quantum dots. Phys. Rev. Lett. 2009, 102, 177402. [Google Scholar] [CrossRef]
- Rodina, A.V.; Efros, A.L. Magnetic properties of nonmagnetic nanostructures: Dangling bond magnetic polaron in CdSe nanocrystals. Nano Lett. 2015, 15, 4214–4222. [Google Scholar] [CrossRef]
- Fernée, M.J.; Sinito, C.; Louyer, C.; Potzner, C.; Nguyen, T.-L.; Mulvaney, P.; Tamarat, P.; Lounis, B. Magneto-optical properties of trions in non-blinking charged nanocrystals reveal an acoustic phonon bottleneck. Nat. Commun. 2012, 3, 1287. [Google Scholar] [CrossRef]
- Sinito, C.; Fernée, M.J.; Goupalov, S.V.; Mulvaney, P.; Tamarat, P.; Lounis, B. Tailoring the exciton fine structure of cadmium selenide nanocrystals with shape anisotropy and magnetic field. ACS Nano 2014, 8, 11651–11656. [Google Scholar] [CrossRef]
- Carbone, L.; Nobile, C.; De Giorgi, M.; Sala, F.D.; Morello, G.; Pompa, P.; Hytch, M.; Snoeck, E.; Fiore, A.; Franchini, I.R.; et al. Synthesis and micrometer-scale assembly of colloidal CdSe/CdS nanorods prepared by a seeded growth approach. Nano Lett. 2007, 7, 2942–2950. [Google Scholar] [CrossRef]
- Flamee, S.; Cirillo, M.; Abe, S.; De Nolf, K.; Gomes, R.; Aubert, T.; Hens, Z. Fast, high yield, and high solid loading synthesis of metal selenide nanocrystals. Chem. Mater. 2013, 25, 2476–2483. [Google Scholar] [CrossRef]
- Qiang, G.Q.; Zhukov, E.A.; Evers, E.; Yakovlev, D.R.; Golovatenko, A.A.; Rodina, A.V.; Onushchenko, A.; Bayer, M. Electron spin coherence in CdSe nanocrystals in a glass matrix. ACS Nano 2022, 16, 18838–18848. [Google Scholar] [CrossRef] [PubMed]
- Kuno, M.K. Band Edge Spectroscopy of CdSe Quantum Dots. Ph.D. Dissertation, Massachusetts Institute of Technology, Cambridge, UK, 1998. [Google Scholar]
- Fumani, A.K.; Berezovsky, J. Magnetic-field-dependent spin decoherence and dephasing in room-temperature CdSe nanocrystal quantum dots. Phys. Rev. B. 2013, 88, 155316. [Google Scholar] [CrossRef]
- Shornikova, E.V.; Biadala, L.; Yakovlev, D.R.; Sapega, V.F.; Kusrayev, Y.G.; Mitioglu, A.A.; Ballottin, M.V.; Christianen, P.C.M.; Belykh, V.V.; Kochiev, M.V.; et al. Addressing the exciton fine structure in colloidal nanocrystals: The case of CdSe nanoplatelets. Nanoscale 2018, 10, 646–656. [Google Scholar] [CrossRef]
- Murray, C.B.; Norris, D.J.; Bawendi, M.G. Synthesis and characterization of nearly monodisperse CdE (E = S, Se, Te) semiconductor nanocrystallites. J. Am. Chem. Soc. 1993, 115, 8706–8715. [Google Scholar] [CrossRef]
- Lavallard, P.; Chamarro, M.; Pérez-Conde, J.; Bhattacharjee, A.K.; Goupalov, S.V.; Lipovskii, A.A. Exchange interaction and acoustical phonon modes in CdTe nanocrystals. Solid State Commun. 2003, 127, 439–442. [Google Scholar] [CrossRef]
- Zhong, H.; Nagy, M.; Jones, M.; Scholes, G.D. Electronic states and exciton fine structure in colloidal CdTe nanocrystals. J. Phys. Chem. C 2009, 113, 10465–10470. [Google Scholar] [CrossRef]






Publisher’s Note: MDPI stays neutral with regard to jurisdictional claims in published maps and institutional affiliations. |
© 2022 by the authors. Licensee MDPI, Basel, Switzerland. This article is an open access article distributed under the terms and conditions of the Creative Commons Attribution (CC BY) license (https://creativecommons.org/licenses/by/4.0/).
Share and Cite
Golovatenko, A.A.; Kalitukha, I.V.; Dimitriev, G.S.; Sapega, V.F.; Rakhlin, M.V.; Galimov, A.I.; Shubina, T.V.; Shornikova, E.V.; Qiang, G.; Yakovlev, D.R.; et al. A Comparative Study of the Band-Edge Exciton Fine Structure in Zinc Blende and Wurtzite CdSe Nanocrystals. Nanomaterials 2022, 12, 4269. https://doi.org/10.3390/nano12234269
Golovatenko AA, Kalitukha IV, Dimitriev GS, Sapega VF, Rakhlin MV, Galimov AI, Shubina TV, Shornikova EV, Qiang G, Yakovlev DR, et al. A Comparative Study of the Band-Edge Exciton Fine Structure in Zinc Blende and Wurtzite CdSe Nanocrystals. Nanomaterials. 2022; 12(23):4269. https://doi.org/10.3390/nano12234269
Chicago/Turabian StyleGolovatenko, Aleksandr A., Ina V. Kalitukha, Grigorii S. Dimitriev, Victor F. Sapega, Maxim V. Rakhlin, Aidar I. Galimov, Tatiana V. Shubina, Elena V. Shornikova, Gang Qiang, Dmitri R. Yakovlev, and et al. 2022. "A Comparative Study of the Band-Edge Exciton Fine Structure in Zinc Blende and Wurtzite CdSe Nanocrystals" Nanomaterials 12, no. 23: 4269. https://doi.org/10.3390/nano12234269
APA StyleGolovatenko, A. A., Kalitukha, I. V., Dimitriev, G. S., Sapega, V. F., Rakhlin, M. V., Galimov, A. I., Shubina, T. V., Shornikova, E. V., Qiang, G., Yakovlev, D. R., Bayer, M., Biermann, A., Hoffmann, A., Aubert, T., Hens, Z., & Rodina, A. V. (2022). A Comparative Study of the Band-Edge Exciton Fine Structure in Zinc Blende and Wurtzite CdSe Nanocrystals. Nanomaterials, 12(23), 4269. https://doi.org/10.3390/nano12234269

