Luminescence of SiO2-BaF2:Tb3+, Eu3+ Nano-Glass-Ceramics Made from Sol–Gel Method at Low Temperature
Abstract
:1. Introduction
2. Materials and Methods
(OC2H5)n(OH)(3-n)Si–O–Si(OC2H5)n(OH)(3–n) + H2O,
(OC2H5)n(OH)(3–n)Si–O–Si(OC2H5)n(OH)(3–n) + C2H5OH,
3. Results and Discussion
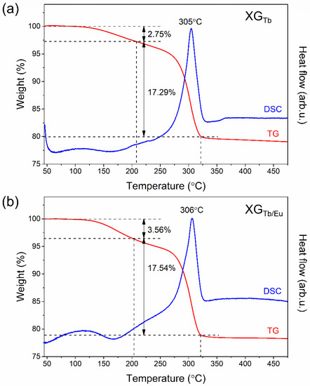
3.1. Thermal Behavior of Synthesized Xerogels
3.2. Structural Characterization by XRD, TEM, and ATR-IR
3.3. Luminescence of Amorphous Silicate Xerogels
3.4. Luminescence of SiO2-BaF2 Nano-Glass-Ceramics
4. Conclusions
Author Contributions
Funding
Institutional Review Board Statement
Informed Consent Statement
Data Availability Statement
Conflicts of Interest
References
- Bender, C.M.; Burlitch, J.M.; Barber, D.; Pollock, C. Synthesis and fluorescence of neodymium-doped barium fluoride nanoparticles. Chem. Mater. 2000, 12, 1969–1976. [Google Scholar] [CrossRef]
- Xie, T.; Li, S.; Peng, Q.; Li, Y. Monodisperse BaF2 Nanocrystals: Phases, Size Transitions, and Self-Assembly. Angew. Chem. Int. Ed. 2009, 48, 196–200. [Google Scholar] [CrossRef]
- Bocker, C.; Rüssel, C. Self-organized nano-crystallisation of BaF2 from Na2O/K2O/BaF2/Al2O3/SiO2 glasses. J. Eur. Ceram. Soc. 2009, 29, 1221–1225. [Google Scholar] [CrossRef]
- Bocker, C.; Bhattacharyya, S.; Höche, T.; Rüssel, C. Size distribution of BaF2 nanocrystallites in transparent glass ceramics. Acta Mater. 2009, 57, 5956–5963. [Google Scholar] [CrossRef]
- Sharma, R.K.; Nigam, S.; Chouryal, Y.N.; Nema, S.; Bera, S.P.; Bhargava, Y.; Ghosh, P. Eu-Doped BaF2 Nanoparticles for Bioimaging Applications. ACS Appl. Nano Mater. 2019, 2, 927–936. [Google Scholar] [CrossRef]
- Huang, L.; Jia, S.; Li, Y.; Zhao, S.; Deng, D.; Wanh, H.; Jia, G.; Hua, W.; Xu, S. Enhanced emissions in Tb3+-doped oxyfluoride scintillating glass ceramics containing BaF2 nanocrystals. Nucl. Instrum. Methods Phys. Res. Sect. A 2015, 788, 111–115. [Google Scholar] [CrossRef]
- Zhang, W.-J.; Chen, Q.-J.; Qian, Q.; Zhang, Q.-Y. The 1.2 and 2.0 µm emission from Ho3+ in glass ceramics containing BaF2 nanocrystals. J. Am. Ceram. Soc. 2012, 95, 663–669. [Google Scholar] [CrossRef]
- Zhao, Z.; Liu, C.; Xia, M.; Yin, Q.; Zhao, X.; Han, J. Intense ~1.2 µm emission from Ho3+/Y3+ ions co-doped oxyfluoride glass-ceramics containing BaF2 nanocrystals. J. Alloys Compd. 2017, 701, 392–398. [Google Scholar] [CrossRef]
- Li, C.; Xu, S.; Ye, R.; Deng, D.; Hua, Y.; Zhao, S.; Zhuang, S. White up-conversion emission in Ho3+/Tm3+/Yb3+ tri-doped glass ceramics embedding BaF2 nanocrystals. Phys. B 2011, 406, 1698–1701. [Google Scholar] [CrossRef]
- Zhao, Z.; Ai, B.; Liu, C.; Yin, Q.; Xia, M.; Zhao, X.; Jiang, Y. Er3+ Ions-Doped Germano-Gallate Oxyfluoride Glass-Ceramics Containing BaF2 Nanocrystals. J. Am. Ceram. Soc. 2015, 98, 2117–2121. [Google Scholar] [CrossRef]
- Lesniak, M.; Zmojda, J.; Kochanowicz, M.; Miluski, P.; Baranowska, A.; Mach, G.; Kuwik, M.; Pisarska, J.; Pisarski, W.A.; Dorosz, D. Spectroscopic Properties of Erbium-Doped Oxyfluoride Phospho-Tellurite Glass and Transparent Glass-Ceramic Containing BaF2 Nanocrystals. Materials 2019, 12, 3429. [Google Scholar] [CrossRef] [Green Version]
- Qiao, X.; Fan, X.; Wang, M.; Zhang, X. Spectroscopic properties of Er3+–Yb3+ co-doped glass ceramics containing BaF2 nanocrystals. J. Non-Cryst. Solids 2008, 354, 3273–3277. [Google Scholar] [CrossRef]
- Dan, H.K.; Zhou, D.; Wang, R.; Jiao, Q.; Yang, Z.; Song, Z.; Yu, X.; Qiu, J. Effects of gold nanoparticles on the enhancement of upconversion and near-infrared emission in Er3+/Yb3+ co-doped transparent glass–ceramics containing BaF2 nanocrystals. Ceram. Int. 2015, 41, 2648–2653. [Google Scholar] [CrossRef]
- Qiao, X.; Luo, Q.; Fan, X.; Wang, M. Local vibration around rare earth ions in alkaline earth fluorosilicate transparent glass and glass ceramics using Eu3+ probe. J. Rare Earths 2008, 26, 883–888. [Google Scholar] [CrossRef]
- Luo, Q.; Fan, X.; Qiao, X.; Yang, H.; Wang, M.; Zhang, X. Eu2+-doped glass ceramics containing BaF2 nanocrystals as a potential blue phosphor for UV-LED. J. Am. Ceram. Soc. 2009, 92, 942–944. [Google Scholar] [CrossRef]
- Wang, C.; Chen, X.; Luo, X.; Zhao, J.; Qiao, X.; Liu, Y.; Fan, X.; Qian, G.; Zhang, X.; Han, G. Stabilization of divalent Eu2+ in fluorosilicate glass-ceramics via lattice site substitution. RSC Adv. 2018, 8, 34536–34542. [Google Scholar] [CrossRef] [Green Version]
- Chen, D.; Wang, Y.; Yu, Y.; Ma, E.; Zhou, L. Microstructure and luminescence of transparent glass ceramics containing Er3+:BaF2 nano-crystals. J. Solid State Chem. 2006, 179, 532–537. [Google Scholar] [CrossRef]
- Secu, C.E.; Secu, M.; Ghica, C.; Mihut, L. Rare-earth doped sol-gel derived oxyfluoride glass-ceramics: Structural and optical characterization. Opt. Mater. 2011, 33, 1770–1774. [Google Scholar] [CrossRef]
- Secu, C.E.; Bartha, C.; Polosan, S.; Secu, M. Thermally activated conversion of a silicate gel to an oxyfluoride glass ceramics: Optical study using Eu3+ probe ion. J. Lumin. 2014, 146, 539–543. [Google Scholar] [CrossRef]
- Hu, M.; Yang, Y.; Min, X.; Liu, B.; Wu, Y.; Wu, Y.; Yu, L. Rare earth ion (RE = Tb/Eu/Dy) doped nanocrystalline oxyfluoride glass-ceramic 5BaF2−95SiO2. J. Am. Ceram. Soc. 2021, 104, 5317–5327. [Google Scholar] [CrossRef]
- Secu, M.; Secu, C.; Bartha, C. Optical Properties of Transparent Rare-Earth Doped Sol-Gel Derived Nano-Glass Ceramics. Materials 2021, 14, 6871. [Google Scholar] [CrossRef]
- Pawlik, N.; Szpikowska-Sroka, B.; Pisarska, J.; Goryczka, T.; Pisarski, W.A. Reddish-Orange Luminescence from BaF2:Eu3+ Fluoride Nanocrystals Dispersed in Sol-Gel Materials. Materials 2019, 12, 3735. [Google Scholar] [CrossRef] [Green Version]
- Danks, A.E.; Hall, S.R.; Schnepp, Z. The evolution of ‘sol–gel’ chemistry as a technique for materials synthesis. Mater. Horiz. 2016, 3, 91–112. [Google Scholar] [CrossRef] [Green Version]
- Mosiadz, M.; Juda, K.L.; Hopkins, S.C.; Soloducho, J.; Glowacki, B.A. An in-depth in situ IR study of the thermal decomposition of yttrium trifluoroacetate hydrate. J. Therm. Anal. Calorim. 2012, 107, 681–691. [Google Scholar] [CrossRef]
- Yoshimura, Y.; Ohara, K. Thermochemical studies on the lanthanoid complexes of trifluoroacetic acid. J. Alloys Compd. 2006, 408–412, 573–576. [Google Scholar] [CrossRef]
- Kemnitz, E.; Noack, J. The non-aqueous fluorolytic sol–gel synthesis of nanoscaled metal fluorides. Dalton Trans. 2015, 44, 19411–19431. [Google Scholar] [CrossRef] [Green Version]
- Sun, X.; Zhang, Y.W.; Du, Y.P.; Yan, Z.G.; Si, R.; You, L.P.; Yan, C.H. From Trifluoroacetate Complex precursors to Monodisperse Rare-Earth Fluoride and Oxyfluoride Nanocrystals with Diverse Shapes through Controlled Fluorination in Solution Phase. Chem. Eur. J. 2007, 13, 2320–2332. [Google Scholar] [CrossRef]
- Farjas, J.; Camps, J.; Roura, P.; Ricart, S.; Puig, T.; Obradors, X. The thermal decomposition of barium trifluoroacetate. Thermochim. Acta 2012, 544, 77–83. [Google Scholar] [CrossRef]
- Khan, A.F.; Yadav, R.; Singh, S.; Dutta, V.; Chawla, S. Eu3+ doped silica xerogel luminescent layer having antireflection and spectrum modifying properties suitable for solar cell applications. Mater. Res. Bull. 2010, 45, 1562–1566. [Google Scholar] [CrossRef]
- De Pablos-Martín, A.; Mather, G.C.; Muñoz, F.; Bhattacharyya, S.; Höche, T.; Jinschek, J.R.; Heil, T.; Durán, A.; Pascual, M.J. Design of oxy-fluoride glass-ceramics containing NaLaF4 nano-crystals. J. Non-Cryst. Solids 2010, 356, 3071–3079. [Google Scholar] [CrossRef]
- Holder, C.F.; Schaak, R.E. Tutorial on Powder X-ray Diffraction for Characterizing Nanoscale Materials. ACS Nano 2019, 13, 7359–7365. [Google Scholar] [CrossRef] [Green Version]
- Qin, D.; Tang, W. Energy transfer and multicolor emission in single-phase Na5Ln(WO4)4-z(MoO4)z:Tb3+,Eu3+ (Ln = La, Y, Gd) phosphors. RSC Adv. 2016, 6, 45376–45385. [Google Scholar] [CrossRef]
- Hameed, A.S.H.; Karthikeyan, C.; Sasikumar, S.; Kumar, V.S.; Kumaresan, S.; Ravi, G. Impact of alkaline metal ions Mg2+, Ca2+, Sr2+ and Ba2+ on the structural, optical, thermal and antibacterial properties of ZnO nanoparticles prepared by the co-precipitation method. J. Mater. Chem. B 2013, 1, 5950–5962. [Google Scholar] [CrossRef]
- Gorni, G.; Velázquez, J.J.; Mosa, J.; Mather, G.C.; Serrano, A.; Vila, M.; Castro, G.R.; Bravo, D.; Balda, R.; Fernández, J.; et al. Transparent Sol-Gel Oxyfluoride Glass-Ceramics with High Crystalline Fraction and Study of RE Incorporation. Nanomaterials 2019, 9, 530. [Google Scholar] [CrossRef] [Green Version]
- Innocenzi, P. Infrared spectroscopy of sol-gel derived silica-based films: A spectra-microstructure overview. J. Non-Cryst. Solid. 2003, 316, 309–319. [Google Scholar] [CrossRef]
- Aguiar, H.; Serra, J.; González, P.; León, B. Structural study of sol-gel silicate glasses by IR and Raman spectroscopies. J. Non-Cryst. Solid. 2009, 355, 475–480. [Google Scholar] [CrossRef]
- Yamasaki, S.; Sakuma, W.; Yasui, H.; Daicho, K.; Saito, T.; Fujisawa, S.; Isogai, A.; Kanamori, K. Nanocellulose Xerogels With High Porosities and Large Specific Surface Areas. Front. Chem. 2019, 7, 316. [Google Scholar] [CrossRef] [Green Version]
- Richman, I. Longitudinal Optical Phonons in CaF2, SrF2, and BaF2. J. Chem. Phys. 1964, 41, 2836–2837. [Google Scholar] [CrossRef]
- Gorni, G.; Pascual, J.M.; Caballero, A.; Velázquez, J.J.; Mosa, J.; Castro, Y.; Durán, A. Crystallization mechanism in sol-gel oxyfluoride glass-ceramics. J. Non-Cryst. Solids 2018, 501, 145–152. [Google Scholar] [CrossRef]
- Pisarska, J.; Kos, A.; Sołtys, M.; Żur, L.; Pisarski, W.A. Energy transfer from Tb3+ to Eu3+ in lead borate glass. J. Non-Cryst. Solids 2014, 388, 1–5. [Google Scholar] [CrossRef]
- Shinozaki, K.; Honma, T.; Komatsu, T. High quantum yield and low concentration quenching of Eu3+ emission in oxyfluoride glass with high BaF2 and Al2O3 contents. Opt. Mater. 2014, 36, 1384–1389. [Google Scholar] [CrossRef]
- Deng, C.-B.; Zhang, M.; Lan, T.; Zhou, M.-J.; Wen, Y.; Zhong, J.; Sun, X.-Y. Spectroscopic investigation on Eu3+-doped TeO2−Lu2O3−WO3 optical glasses. J. Non-Cryst. Solids 2021, 554, 120565. [Google Scholar] [CrossRef]
- Xie, F.; Li, J.; Dong, Z.; Wen, D.; Shi, J.; Yan, J.; Wu, M. Energy transfer and luminescent properties of Ca8MgLu(PO4)7:Tb3+/Eu3+ as a green-to-red color tunable phosphor under NUV excitation. RSC Adv. 2015, 5, 59830–59836. [Google Scholar] [CrossRef]
- Wang, J.; Peng, X.; Cheng, D.; Zheng, Z.; Guo, H. Tunable luminescence and energy transfer in Y2BaAl4SiO12:Tb3+,Eu3+ phosphors for solid-state lighting. J. Rare Earths 2021, 39, 284–290. [Google Scholar] [CrossRef]
- Gopi, S.; Jose, S.K.; Sreeja, E.; Manasa, P.; Unnikrishnan, N.V.; Joseph, C.; Biju, P.R. Tunable green to red emission via Tb sensitized energy transfer in Tb/Eu co-doped alkali fluoroborate glass. J. Lumin. 2017, 192, 1288–1294. [Google Scholar] [CrossRef]
- Back, M.; Marin, R.; Franceschin, M.; Hancha, N.S.; Enrichi, F.; Trave, E.; Polizzi, S. Energy transfer in color-tunable water-dispersible Tb-Eu codoped CaF2 nanocrystals. J. Mater. Chem. C 2016, 4, 1906–1913. [Google Scholar] [CrossRef] [Green Version]
- Kłonkowski, A.M.; Wiczk, W.; Ryl, J.; Szczodrowski, K.; Wileńska, D. A white phosphor based on oxyfluoride nano-glass-ceramics co-doped with Eu3+ and Tb3+: Energy transfer study. J. Alloys Compd. 2017, 724, 649–658. [Google Scholar] [CrossRef]
- Li, X.; Peng, Y.; Wei, X.; Yuan, S.; Zhu, Y.; Chen, D. Energy transfer behaviors and tunable luminescence in Tb3+/Eu3+ codoped oxyfluoride glass ceramics containing cubic/hexagonal NaYF4 nanocrystals. J. Lumin. 2019, 210, 182–188. [Google Scholar] [CrossRef]
- Binnemans, K. Interpretation of europium(III) spectra. Coord. Chem. Rev. 2015, 295, 1–45. [Google Scholar] [CrossRef] [Green Version]
- Wang, X.; Chen, J.; Li, J.; Guo, H. Preparation and luminescent properties of Eu-doped transparent glass-ceramics containing SrF2 nanocrystals. J. Non-Cryst. Solids 2011, 357, 2290–2293. [Google Scholar] [CrossRef]
- Yanes, A.C.; Santana-Alonso, A.; Méndez-Ramos, J.; del-Castillo, J.; Rodríguez, V.D. Novel Sol-Gel Nano-Glass-Ceramics Comprising Ln3+-Doped YF3 Nanocrystals: Structure and High Efficient UV Up-Conversion. Adv. Funct. Mater. 2011, 21, 3136–3142. [Google Scholar] [CrossRef]
- Velázquez, J.J.; Mosa, J.; Gorni, G.; Balda, R.; Fernández, J.; Pascual, L.; Durán, A.; Castro, Y. Transparent SiO2-GdF3 sol-gel nano-glass ceramics for optical applications. J. Sol-Gel Sci. Technol. 2019, 89, 322–332. [Google Scholar] [CrossRef]
- Bao, W.; Yu, X.; Wang, T.; Zhang, H.; Su, C. Tb3+/Eu3+ co-doped Al2O3-B2O3-SrO glass ceramics: Preparation, structure and luminescence properties. Opt. Mater. 2021, 122, 111772. [Google Scholar] [CrossRef]
- Ritter, B.; Haida, P.; Fink, F.; Krahl, T.; Gawlitza, K.; Rurack, K.; Scholz, G.; Kemnitz, E. Novel and easy access to highly luminescent Eu and Tb doped ultra-small CaF2, SrF2 and BaF2 nanoparticles—structure and luminescence. Dalton Trans. 2017, 46, 2925–2936. [Google Scholar] [CrossRef]
- Chen, D.; Wang, Z.; Zhou, Y.; Huang, P.; Ji, Z. Tb3+/Eu3+:YF3 nanophase embedded glass ceramics: Structural characterization, tunable luminescence and temperature sensing behavior. J. Alloys Compd. 2015, 646, 339–344. [Google Scholar] [CrossRef]






| Sample | Number of Degradation Steps | Temperature Range (°C) | Weight Loss (%) |
|---|---|---|---|
| XGTb | 1st | 45–208 | 2.75 |
| 2nd | 208–322 | 17.56 | |
| XGTb/Eu | 1st | 45–204 | 3.56 |
| 2nd | 204–321 | 17.54 |
| Sample | Peak Maximum (°C) | Exchanged Heat (J/g) |
|---|---|---|
| XGTb | 305 | −118.3 |
| XGTb/Eu | 306 | −117.9 |
Publisher’s Note: MDPI stays neutral with regard to jurisdictional claims in published maps and institutional affiliations. |
© 2022 by the authors. Licensee MDPI, Basel, Switzerland. This article is an open access article distributed under the terms and conditions of the Creative Commons Attribution (CC BY) license (https://creativecommons.org/licenses/by/4.0/).
Share and Cite
Pawlik, N.; Szpikowska-Sroka, B.; Goryczka, T.; Pietrasik, E.; Pisarski, W.A. Luminescence of SiO2-BaF2:Tb3+, Eu3+ Nano-Glass-Ceramics Made from Sol–Gel Method at Low Temperature. Nanomaterials 2022, 12, 259. https://doi.org/10.3390/nano12020259
Pawlik N, Szpikowska-Sroka B, Goryczka T, Pietrasik E, Pisarski WA. Luminescence of SiO2-BaF2:Tb3+, Eu3+ Nano-Glass-Ceramics Made from Sol–Gel Method at Low Temperature. Nanomaterials. 2022; 12(2):259. https://doi.org/10.3390/nano12020259
Chicago/Turabian StylePawlik, Natalia, Barbara Szpikowska-Sroka, Tomasz Goryczka, Ewa Pietrasik, and Wojciech A. Pisarski. 2022. "Luminescence of SiO2-BaF2:Tb3+, Eu3+ Nano-Glass-Ceramics Made from Sol–Gel Method at Low Temperature" Nanomaterials 12, no. 2: 259. https://doi.org/10.3390/nano12020259
APA StylePawlik, N., Szpikowska-Sroka, B., Goryczka, T., Pietrasik, E., & Pisarski, W. A. (2022). Luminescence of SiO2-BaF2:Tb3+, Eu3+ Nano-Glass-Ceramics Made from Sol–Gel Method at Low Temperature. Nanomaterials, 12(2), 259. https://doi.org/10.3390/nano12020259

