Shape-Dependent Toxicity of Silver Nanoparticles on Freshwater Cnidarians
Abstract
:1. Introduction
2. Materials and Methods
2.1. Hydra vulgaris and Maintenance Conditions
2.2. Nanoparticles and Reagents
2.3. Transmission Electron Microscopy (TEM) Image Analysis
2.4. Acute and Chronic Toxicity Assay
2.5. Statistical Analysis
3. Results
3.1. Characterization of Nanoparticles Geometry
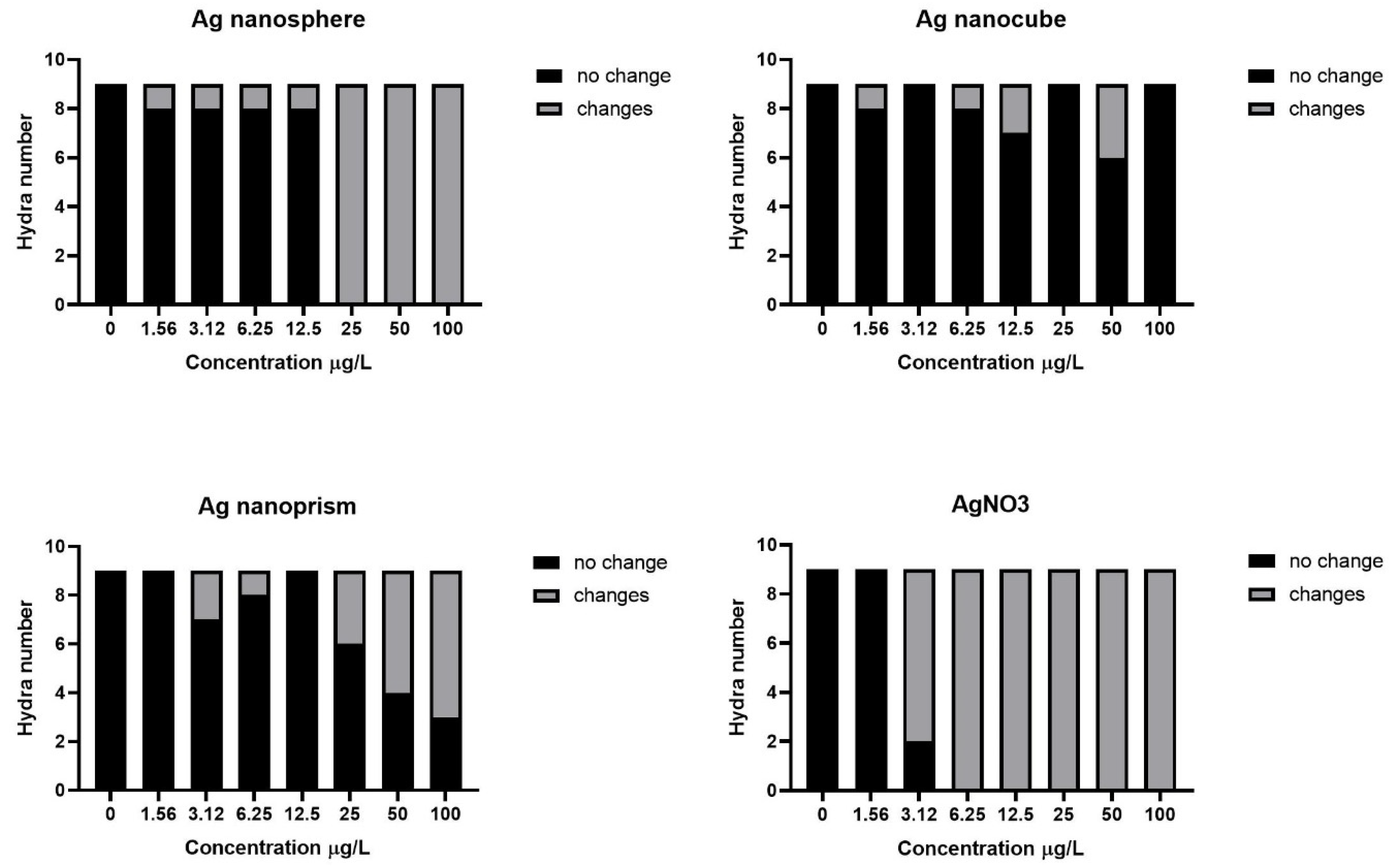
3.2. Silver Nanoparticles Toxicity of Different Shapes
4. Discussion
5. Conclusions
Supplementary Materials
Author Contributions
Funding
Institutional Review Board Statement
Informed Consent Statement
Data Availability Statement
Acknowledgments
Conflicts of Interest
References
- Gatoo, M.A.; Naseem, S.; Arfat, M.Y.; Mahmood Dar, A.; Qasim, K.; Zubair, S. Physicochemical Properties of Nanomaterials: Implication in Associated Toxic Manifestations. Biomed Res. Int. 2014, 2014, 498420. [Google Scholar] [CrossRef] [PubMed]
- Kopanja, L.; Lončar, B.; Žunić, D.; Tadić, M. Nanoparticle Shapes: Quantification by Elongation, Convexity and Circularity Measures. J. Electr. Eng. 2019, 70, 44–50. [Google Scholar] [CrossRef]
- Nemati, Z.; Alonso, J.; Rodrigo, I.; Das, R.; Garaio, E.; García, J.Á.; Orue, I.; Phan, M.-H.; Srikanth, H. Improving the Heating Efficiency of Iron Oxide Nanoparticles by Tuning Their Shape and Size. J. Phys. Chem. C 2018, 122, 2367–2381. [Google Scholar] [CrossRef]
- Robinson, R.; Gerlach, W.; Ghandehari, H. Comparative Effect of Gold Nanorods and Nanocages for Prostate Tumor Hyperthermia. J. Control. Release 2015, 220, 245–252. [Google Scholar] [CrossRef]
- Truong, N.P.; Whittaker, M.R.; Mak, C.W.; Davis, T.P. The Importance of Nanoparticle Shape in Cancer Drug Delivery. Expert Opin. Drug Deliv. 2015, 12, 129–142. [Google Scholar] [CrossRef]
- Benn, T.; Cavanagh, B.; Hristovski, K.; Posner, J.D.; Westerhoff, P. The Release of Nanosilver from Consumer Products Used in the Home. J. Environ. Qual. 2010, 39, 1875–1882. [Google Scholar] [CrossRef]
- Hansen, S.F.; Hansen, O.F.H.; Nielsen, M.B. Advances and Challenges towards Consumerization of Nanomaterials. Nat. Nanotechnol. 2020, 15, 964–965. [Google Scholar] [CrossRef]
- Burdușel, A.-C.; Gherasim, O.; Grumezescu, A.M.; Mogoantă, L.; Ficai, A.; Andronescu, E. Biomedical Applications of Silver Nanoparticles: An Up-to-Date Overview. Nanomaterials 2018, 8, 681. [Google Scholar] [CrossRef] [PubMed]
- Sánchez-López, E.; Gomes, D.; Esteruelas, G.; Bonilla, L.; Lopez-Machado, A.L.; Galindo, R.; Cano, A.; Espina, M.; Ettcheto, M.; Camins, A.; et al. Metal-Based Nanoparticles as Antimicrobial Agents: An Overview. Nanomaterials 2020, 10, 292. [Google Scholar] [CrossRef]
- Fernandes, I.J.; Aroche, A.F.; Schuck, A.; Lamberty, P.; Peter, C.R.; Hasenkamp, W.; Rocha, T.L.A.C. Silver Nanoparticle Conductive Inks: Synthesis, Characterization, and Fabrication of Inkjet-Printed Flexible Electrodes. Sci. Rep. 2020, 10, 8878. [Google Scholar] [CrossRef] [PubMed]
- Rajan, K.; Chiolerio, A.; Roppolo, I.; Chiappone, A.; Bocchini, S.; Perrone, D. Silver Nanoparticle Ink Technology: State of the Art. Nanotechnol. Sci. Appl. 2016, 9, 1–13. [Google Scholar]
- Rao, V.K.R.; Abhinav, V.K.; Karthik, P.S.; Singh, S.P. Conductive Silver Inks and Their Applications in Printed and Flexible Electronics. RSC Adv. 2015, 5, 77760–77790. [Google Scholar]
- Levard, C.; Hotze, E.M.; Lowry, G.V.; Brown, G.E. Environmental Transformations of Silver Nanoparticles: Impact on Stability and Toxicity. Environ. Sci. Technol. 2012, 46, 6900–6914. [Google Scholar] [CrossRef]
- McGillicuddy, E.; Murray, I.; Kavanagh, S.; Morrison, L.; Fogarty, A.; Cormican, M.; Dockery, P.; Prendergast, M.; Rowan, N.; Morris, D. Silver Nanoparticles in the Environment: Sources, Detection and Ecotoxicology. Sci. Total Environ. 2017, 575, 231–246. [Google Scholar] [CrossRef]
- Reidy, B.; Haase, A.; Luch, A.; Dawson, K.A.; Lynch, I. Mechanisms of Silver Nanoparticle Release, Transformation and Toxicity: A Critical Review of Current Knowledge and Recommendations for Future Studies and Applications. Materials 2013, 6, 2295–2350. [Google Scholar] [CrossRef]
- Akter, M.; Sikder, M.T.; Rahman, M.M.; Ullah, A.K.M.A.; Hossain, K.F.B.; Banik, S.; Hosokawa, T.; Saito, T.; Kurasaki, M. A Systematic Review on Silver Nanoparticles-Induced Cytotoxicity: Physicochemical Properties and Perspectives. J. Adv. Res. 2018, 9, 1–16. [Google Scholar] [CrossRef]
- Maurer, L.L.; Meyer, J.N. A Systematic Review of Evidence for Silver Nanoparticle-Induced Mitochondrial Toxicity. Environ. Sci. Nano 2016, 3, 311–322. [Google Scholar] [CrossRef]
- McShan, D.; Ray, P.C.; Yu, H. Molecular Toxicity Mechanism of Nanosilver. J. Food Drug Anal. 2014, 22, 116–127. [Google Scholar] [CrossRef]
- Tortella, G.R.; Rubilar, O.; Durán, N.; Diez, M.C.; Martínez, M.; Parada, J.; Seabra, A.B. Silver Nanoparticles: Toxicity in Model Organisms as an Overview of Its Hazard for Human Health and the Environment. J. Hazard. Mater. 2020, 390, 121974. [Google Scholar] [CrossRef] [PubMed]
- Zhang, W.; Xiao, B.; Fang, T. Chemical Transformation of Silver Nanoparticles in Aquatic Environments: Mechanism, Morphology and Toxicity. Chemosphere 2018, 191, 324–334. [Google Scholar] [CrossRef] [PubMed]
- Abramenko, N.B.; Demidova, T.B.; Abkhalimov, E.V.; Ershov, B.G.; Krysanov, E.Y.; Kustov, L.M. Ecotoxicity of Different-Shaped Silver Nanoparticles: Case of Zebrafish Embryos. J. Hazard. Mater. 2018, 347, 89–94. [Google Scholar] [CrossRef] [PubMed]
- Cui, R.; Chae, Y.; An, Y.-J. Dimension-Dependent Toxicity of Silver Nanomaterials on the Cladocerans Daphnia Magna and Daphnia Galeata. Chemosphere 2017, 185, 205–212. [Google Scholar] [CrossRef]
- George, S.; Lin, S.; Ji, Z.; Thomas, C.R.; Li, L.; Mecklenburg, M.; Meng, H.; Wang, X.; Zhang, H.; Xia, T.; et al. Surface Defects on Plate-Shaped Silver Nanoparticles Contribute to Its Hazard Potential in a Fish Gill Cell Line and Zebrafish Embryos. ACS Nano 2012, 6, 3745–3759. [Google Scholar] [CrossRef] [PubMed]
- Nam, S.-H.; An, Y.-J. Size- and Shape-Dependent Toxicity of Silver Nanomaterials in Green Alga Chlorococcum Infusionum. Ecotoxicol. Environ. Saf. 2019, 168, 388–393. [Google Scholar] [CrossRef]
- Sohn, E.K.; Johari, S.A.; Kim, T.G.; Kim, J.K.; Kim, E.; Lee, J.H.; Chung, Y.S.; Yu, I.J. Aquatic Toxicity Comparison of Silver Nanoparticles and Silver Nanowires. Biomed Res. Int. 2015, 2015, 893049. [Google Scholar] [CrossRef]
- Auclair, J.; Peyrot, C.; Wilkinson, K.J.; Gagné, F. The Geometry of the Toxicity of Silver Nanoparticles to Freshwater Mussels. Comp. Biochem. Physiol. C Toxicol. Pharmacol. 2021, 239, 108841. [Google Scholar] [CrossRef]
- Gorka, D.E.; Osterberg, J.S.; Gwin, C.A.; Colman, B.P.; Meyer, J.N.; Bernhardt, E.S.; Gunsch, C.K.; DiGulio, R.T.; Liu, J. Reducing Environmental Toxicity of Silver Nanoparticles through Shape Control. Environ. Sci. Technol. 2015, 49, 10093–10098. [Google Scholar] [CrossRef] [PubMed]
- Schwartz, S.S.; Hann, B.J.; Hebert, P.D.N. The Feeding Ecology of Hydra and Possible Implications in the Structuring of Pond Zooplankton Communities. Biol. Bull. 1983, 164, 136–142. [Google Scholar] [CrossRef]
- Slobodkin, L.B.; Bossert, P.E. Chapter 5—Cnidaria. In Ecology and Classification of North American Freshwater Invertebrates, 3rd ed.; Thorp, J.H., Covich, A.P., Eds.; Academic Press: San Diego, CA, USA, 2010; pp. 125–142. [Google Scholar]
- Blaise, C.; Gagné, F.; Férard, J.F.; Eullaffroy, P. Ecotoxicity of Selected Nano-Materials to Aquatic Organisms. Environ. Toxicol. 2008, 23, 591–598. [Google Scholar] [CrossRef]
- McKinley, K.; McLellan, I.; Gagné, F.; Quinn, B. The Toxicity of Potentially Toxic Elements (Cu, Fe, Mn, Zn and Ni) to the Cnidarian Hydra Attenuata at Environmentally Relevant Concentrations. Sci. Total Environ. 2019, 665, 848–854. [Google Scholar] [CrossRef]
- Blaise, C.; Gagné, F.; Harwood, M.; Quinn, B.; Hanana, H. Ecotoxicity Responses of the Freshwater Cnidarian Hydra Attenuata to 11 Rare Earth Elements. Ecotoxicol. Environ. Saf. 2018, 163, 486–491. [Google Scholar] [CrossRef]
- de Jong, L.; Pech, N.; de Aragão Umbuzeiro, G.; Moreau, X. Multi-Scale Biomarker Evaluation of the Toxicity of a Commercial Azo Dye (Disperse Red 1) in an Animal Model, the Freshwater Cnidarian Hydra Attenuata. Water Res. 2016, 96, 62–73. [Google Scholar] [CrossRef]
- Murphy, F.; Quinn, B. The Effects of Microplastic on Freshwater Hydra Attenuata Feeding, Morphology & Reproduction. Environ. Pollut. 2018, 234, 487–494. [Google Scholar] [PubMed]
- Quinn, B.; Gagné, F.; Blaise, C. Hydra, a Model System for Environmental Studies. Int. J. Dev. Biol. 2012, 56, 613–625. [Google Scholar] [CrossRef]
- Trottier, S.; Blaise, C.; Kusui, T.; Johnson, E.M. Acute Toxicity Assessment of Aqueous Samples Using a Microplate-Based Hydra Attenuata Assay. Environ. Toxicol. Water Qual. 1997, 12, 265–271. [Google Scholar] [CrossRef]
- Koczkur, K.M.; Mourdikoudis, S.; Polavarapu, L.; Skrabalak, S.E. Polyvinylpyrrolidone (PVP) in Nanoparticle Synthesis. Dalton Trans. 2015, 44, 17883–17905. [Google Scholar] [CrossRef]
- Newton, K.M.; Puppala, H.L.; Kitchens, C.L.; Colvin, V.L.; Klaine, S.J. Silver Nanoparticle Toxicity to Daphnia Magna Is a Function of Dissolved Silver Concentration. Environ. Toxicol. Chem. 2013, 32, 2356–2364. [Google Scholar] [CrossRef]
- Zhao, C.-M.; Wang, W.-X. Importance of Surface Coatings and Soluble Silver in Silver Nanoparticles Toxicity to Daphnia Magna. Nanotoxicology 2012, 6, 361–370. [Google Scholar] [CrossRef]
- Auclair, J.; Turcotte, P.; Gagnon, C.; Peyrot, C.; Wilkinson, K.J.; Gagné, F. The influence of surface coatings on the toxicity of silver nanoparticle in rainbow trout. Comp. Biochem. Physiol. Toxicol. Pharmacol. 2019, 226C, 108623. [Google Scholar] [CrossRef] [PubMed]
- Schneider, C.A.; Rasband, W.S.; Eliceiri, K.W. NIH Image to ImageJ: 25 Years of Image Analysis. Nat. Methods 2012, 9, 671–675. [Google Scholar] [CrossRef]
- Ferreira, T.; Rasband, W. ImageJ User Guide-IJ 1.46r. Available online: http://imagej.nih.gov/ij/docs/guide. (accessed on 30 August 2022).
- Varsou, D.-D.; Afantitis, A.; Tsoumanis, A.; Papadiamantis, A.; Valsami-Jones, E.; Lynch, I.; Melagraki, G. Zeta-Potential Read-Across Model Utilizing Nanodescriptors Extracted via the NanoXtract Image Analysis Tool Available on the Enalos Nanoinformatics Cloud Platform. Small 2020, 16, 1906588. [Google Scholar] [CrossRef]
- Wirth, M.A. Shape Analysis and Measurement; CIS, 6320; University of Guelph: Guelph, ON, Canada, 2004. [Google Scholar]
- Khan, A.U.; Zhao, S.; Liu, G. Key Parameter Controlling the Sensitivity of Plasmonic Metal Nanoparticles: Aspect Ratio. J. Phys. Chem. C 2016, 120, 19353–19364. [Google Scholar] [CrossRef]
- Bode, H.R.; Flick, K.M. Distribution and Dynamics of Nematocyte Populations in Hydra Attenuata. J. Cell Sci. 1976, 21, 15–34. [Google Scholar] [CrossRef]
- David, C.N.; Campbell, R.D. Cell Cycle Kinetics and Development of Hydra Attenuata: I. Epithelial Cells. J. Cell Sci. 1972, 11, 557–568. [Google Scholar] [CrossRef] [PubMed]
- Tortiglione, C.; Quarta, A.; Malvindi, M.A.; Tino, A.; Pellegrino, T. Fluorescent Nanocrystals Reveal Regulated Portals of Entry into and Between the Cells of Hydra. PLoS ONE 2009, 4, e7698. [Google Scholar] [CrossRef]
- Wilby, O.K. The Hydra Regeneration Assay. In Proceedings of the Workshop Organised by Association Francaise de Teratologie, Royaumont, France, 3 June 1988; Volume 108, p. 124. [Google Scholar]
- Odziomek, K.; Ushizima, D.; Oberbek, P.; Kurzydłowski, K.J.; Puzyn, T.; Haranczyk, M. Scanning electron microscopy image representativeness: Morphological data on nanoparticles. J. Microsc. 2017, 265, 34–50. [Google Scholar] [CrossRef] [PubMed]
- Khodashenas, B.; Ghorbani, H.R. Synthesis of Silver Nanoparticles with Different Shapes. Arab. J. Chem. 2019, 12, 1823–1838. [Google Scholar] [CrossRef]
- Ahn, J.-M.; Eom, H.-J.; Yang, X.; Meyer, J.N.; Choi, J. Comparative Toxicity of Silver Nanoparticles on Oxidative Stress and DNA Damage in the Nematode, Caenorhabditis Elegans. Chemosphere 2014, 108, 343–352. [Google Scholar] [CrossRef]
- Hou, J.; Zhou, Y.; Wang, C.; Li, S.; Wang, X. Toxic Effects and Molecular Mechanism of Different Types of Silver Nanoparticles to the Aquatic Crustacean Daphnia Magna. Environ. Sci. Technol. 2017, 51, 12868–12878. [Google Scholar] [CrossRef]
- Carnovale, C.; Bryant, G.; Shukla, R.; Bansal, V. Identifying Trends in Gold Nanoparticle Toxicity and Uptake: Size, Shape, Capping Ligand, and Biological Corona. ACS Omega 2019, 4, 242–256. [Google Scholar] [CrossRef]
- Murphy, F.; Dekkers, S.; Braakhuis, H.; Ma-Hock, L.; Johnston, H.; Janer, G.; di Cristo, L.; Sabella, S.; Jacobsen, N.R.; Oomen, A.G.; et al. An Integrated Approach to Testing and Assessment of High Aspect Ratio Nanomaterials and Its Application for Grouping Based on a Common Mesothelioma Hazard. NanoImpact 2021, 22, 100314. [Google Scholar] [CrossRef] [PubMed]
- Pastoriza-Santos, I.; Liz-Marzán, L.M. Colloidal Silver Nanoplates. State of the Art and Future Challenges. J. Mater. Chem. 2008, 18, 1724. [Google Scholar] [CrossRef]
- Zhang, Q.; Ge, J.; Pham, T.; Goebl, J.; Hu, Y.; Lu, Z.; Yin, Y. Reconstruction of Silver Nanoplates by UV Irradiation: Tailored Optical Properties and Enhanced Stability. Angew. Chem. 2009, 121, 3568–3571. [Google Scholar] [CrossRef]
- Bauer, L.A.; Birenbaum, N.S.; Meyer, G.J. Biological Applications of High Aspect Ratio Nanoparticles. J. Mater. Chem. 2004, 14, 517–526. [Google Scholar] [CrossRef]
- Fratila, R.M.; Rivera-Fernández, S.; de la Fuente, J.M. Shape Matters: Synthesis and Biomedical Applications of High Aspect Ratio Magnetic Nanomaterials. Nanoscale 2015, 7, 8233–8260. [Google Scholar] [CrossRef]
- Graf, C.; Nordmeyer, D.; Sengstock, C.; Ahlberg, S.; Diendorf, J.; Raabe, J.; Epple, M.; Köller, M.; Lademann, J.; Vogt, A.; et al. Shape-Dependent Dissolution and Cellular Uptake of Silver Nanoparticles. Langmuir 2018, 34, 1506–1519. [Google Scholar] [CrossRef] [PubMed]
- Liu, X.; Wu, F.; Tian, Y.; Wu, M.; Zhou, Q.; Jiang, S.; Niu, Z. Size Dependent Cellular Uptake of Rod-like Bionanoparticles with Different Aspect Ratios. Sci. Rep. 2016, 6, 24567. [Google Scholar] [CrossRef]
- Wang, W.; Gaus, K.; Tilley, R.D.; Gooding, J.J. The Impact of Nanoparticle Shape on Cellular Internalisation and Transport: What Do the Different Analysis Methods Tell Us? Mater. Horiz. 2019, 6, 1538–1547. [Google Scholar] [CrossRef]
- Jana, N.R. Shape Effect in Nanoparticle Self-Assembly. Angew. Chem. 2004, 116, 1562–1566. [Google Scholar] [CrossRef]
- Helmlinger, J.; Sengstock, C.; Groß-Heitfeld, C.; Mayer, C.; Schildhauer, T.A.; Köller, M.; Epple, M. Silver Nanoparticles with Different Size and Shape: Equal Cytotoxicity, but Different Antibacterial Effects. RSC Adv. 2016, 6, 18490–18501. [Google Scholar] [CrossRef]
- Li, Y.; Kröger, M.; Liu, W.K. Shape Effect in Cellular Uptake of PEGylated Nanoparticles: Comparison between Sphere, Rod, Cube and Disk. Nanoscale 2015, 7, 16631–16646. [Google Scholar] [CrossRef] [PubMed]
- Dobias, J.; Bernier-Latmani, R. Silver Release from Silver Nanoparticles in Natural Waters. Environ. Sci. Technol. 2013, 47, 4140–4146. [Google Scholar] [CrossRef] [Green Version]
- Zhang, C.; Hu, Z.; Deng, B. Silver Nanoparticles in Aquatic Environments: Physiochemical Behavior and Antimicrobial Mechanisms. Water Res. 2016, 88, 403–427. [Google Scholar] [CrossRef]
- Buchman, J.T.; Hudson-Smith, N.V.; Landy, K.M.; Haynes, C.L. Understanding Nanoparticle Toxicity Mechanisms To Inform Redesign Strategies To Reduce Environmental Impact. Acc. Chem. Res. 2019, 52, 1632–1642. [Google Scholar] [CrossRef]
- Bell, I.R.; Ives, J.A.; Wayne, B.J. Nonlinear Effects of Nanoparticles: Biological Variability from Hormetic Doses, Small Particle Sizes, and Dynamic Adaptive Interactions. Dose-Response 2014, 12, 202–232. [Google Scholar] [CrossRef] [PubMed]
- Beausoleil, C.; Ormsby, J.-N.; Gies, A.; Hass, U.; Heindel, J.J.; Holmer, M.L.; Nielsen, P.J.; Munn, S.; Schoenfelder, G. Low Dose Effects and Non-Monotonic Dose Responses for Endocrine Active Chemicals: Science to Practice Workshop: Workshop Summary. Chemosphere 2013, 93, 847–856. [Google Scholar] [CrossRef]
- Vandenberg, L.N.; Colborn, T.; Hayes, T.B.; Heindel, J.J.; Jacobs, D.R.; Lee, D.-H.; Shioda, T.; Soto, A.M.; vom Saal, F.S.; Welshons, W.V.; et al. Hormones and Endocrine-Disrupting Chemicals: Low-Dose Effects and Nonmonotonic Dose Responses. Endocr. Rev. 2012, 33, 378–455. [Google Scholar] [CrossRef] [PubMed]
- Villar-Pazos, S.; Martinez-Pinna, J.; Castellano-Muñoz, M.; Alonso-Magdalena, P.; Marroqui, L.; Quesada, I.; Gustafsson, J.-A.; Nadal, A. Molecular Mechanisms Involved in the Non-Monotonic Effect of Bisphenol-a on Ca2+ Entry in Mouse Pancreatic β-Cells. Sci. Rep. 2017, 7, 11770. [Google Scholar] [CrossRef] [PubMed]
- Xu, Z.; Liu, J.; Wu, X.; Huang, B.; Pan, X. Nonmonotonic Responses to Low Doses of Xenoestrogens: A Review. Environ. Res. 2017, 155, 199–207. [Google Scholar] [CrossRef]
- O’Doherty, C.; Keenan, J.; Horgan, K.; Murphy, R.; O’Sullivan, F.; Clynes, M. Copper-Induced Non-Monotonic Dose Response in Caco-2 Cells. In Vitro Cell. Dev. Biol. Anim. 2019, 55, 221–225. [Google Scholar] [CrossRef]
- Owen, S.C.; Doak, A.K.; Ganesh, A.N.; Nedyalkova, L.; McLaughlin, C.K.; Shoichet, B.K.; Shoichet, M.S. Colloidal Drug Formulations Can Explain “Bell-Shaped” Concentration–Response Curves. ACS Chem. Biol. 2014, 9, 777–784. [Google Scholar] [CrossRef] [PubMed]
- Borm, P.; Klaessig, F.C.; Landry, T.D.; Moudgil, B.; Pauluhn, J.; Thomas, K.; Trottier, R.; Wood, S. Research Strategies for Safety Evaluation of Nanomaterials, Part V: Role of Dissolution in Biological Fate and Effects of Nanoscale Particles. Toxicol. Sci. 2006, 90, 23–32. [Google Scholar] [CrossRef] [PubMed] [Green Version]
- Singh, K.; Raghav, A.; Jha, P.K.; Satapathi, S. Effect of Size and Charge Asymmetry on Aggregation Kinetics of Oppositely Charged Nanoparticles. Sci. Rep. 2019, 9, 3762. [Google Scholar] [CrossRef] [PubMed]
- Tan, S.F.; Raj, S.; Bisht, G.; Annadata, H.V.; Nijhuis, C.A.; Král, P.; Mirsaidov, U. Nanoparticle Interactions Guided by Shape-Dependent Hydrophobic Forces. Adv. Mater. 2018, 30, 1707077. [Google Scholar] [CrossRef]




| Nanodescriptor | Definition | Formula Reference |
|---|---|---|
| Surface area (SA) | The total surface area of a particle specific to a particular geometry | Classical geometry formulas |
| Surface-to-volume ratio (SA:V) | Ratio of the surface area of a particle by its volume | Classical geometry formulas |
| Aspect ratio (AR) | Ratio of the greatest to the least dimension of a particle | [45] |
| Circularity | Degree of similarity between a particle and a circle where a value of 1 corresponds to a circular shape. Value between 0 and 1 | [42] |
| Boxivity | Degree of similarity between a particle and a rectangle where a value of 1 corresponds to a rectangular shape. Value between 0 and 1 | [43] |
| Elongation | Ratio of the largest side and the shortest side of the minimum bounding rectangle. This ratio expresses the degree of elongation of a particle whose square and circular shapes tend towards a value of 1. Value between 0 and 1. | [44] |
| Nanodescriptor | Nanoparticle | ||
|---|---|---|---|
| Silver Nanosphere PVP-Coated | Silver Nanocube PVP-Coated | Silver Nanoprism PVP-Coated | |
| Size TEM (nm) | 76 ± 6 | 74 ± 7 | 86 ± 20 |
| Nominal Ag concentration in the exposure media 1 | 1 h: 76 ± 6% 96 h: 71 ± 3% | 1 h: 81 ± 6% 96 h: 69 ± 3% | 1 h: 77 ± 5% 96 h: 72 ± 4% |
| Zeta potential (mV) | −41 | −38 | ND |
| Surface area (nm2) | 16,742 | 32,856 | 8985 |
| Surface-to-volume ratio (nm2/nm3) | 0.0822 | 0.0811 | 0.2806 |
| Aspect ratio | 1 | 1 | 8.6 |
| Circularity | 0.776 ± 0.020 | 0.680 ± 0.051 | 0.363 ± 0.056 |
| Boxivity | 0.764 ± 0.026 | 0.901 ± 0.018 | 0.602 ± 0.055 |
| Elongation | 0.983 ± 0.069 | 0.955 ± 0.034 | 0.932 ± 0.025 |
| Silver Form | ||||
|---|---|---|---|---|
| Ag+ | Silver Nanosphere PVP-Coated | Silver Nanocube PVP-Coated | Silver Nanoprism PVP-Coated | |
| 24 h EC50 (CI) | 2.58 (2.13–3.13) | 16.93 (15.44–18.56) | ND | 51.89 (33.24–101.2) |
| 24 h LC50 (CI) | 11.14 (8.96–13.85) | 65.52 (48.47–89.67) | ND | >100 |
| 96 h EC50 (CI) | 2.59 (2.20–3.05) | 22.3 (17.9–27.7) | ND | 32.5 (22.6–48.5) |
| 96 h LC50 (CI) | 4.42 (3.12–6.25) | 56.1 (45.1–69.8) | ND | >100 |
| LC50/EC50 ratio 24 h | 4.3 | 3.8 | ND | >1.9 |
| LC50/EC50 ratio 96 h | 1.7 | 2.5 | ND | >3.1 |
| AgNPs Dissolution Rate | Surface Coating | Medium | Reference |
|---|---|---|---|
| Nanophere > Nanocube | PVP/PVP | ultra-pure water (pH 4.8) | [64] |
| Nanophere = Nanoprism | PVP/PVP | Holtfreter’s medium (pH 6.5–7) | [23] |
| Nanophere > Nanoprism | PVP/PVP | acetate buffer (pH 4) | [60] |
Publisher’s Note: MDPI stays neutral with regard to jurisdictional claims in published maps and institutional affiliations. |
© 2022 by the authors. Licensee MDPI, Basel, Switzerland. This article is an open access article distributed under the terms and conditions of the Creative Commons Attribution (CC BY) license (https://creativecommons.org/licenses/by/4.0/).
Share and Cite
Auclair, J.; Gagné, F. Shape-Dependent Toxicity of Silver Nanoparticles on Freshwater Cnidarians. Nanomaterials 2022, 12, 3107. https://doi.org/10.3390/nano12183107
Auclair J, Gagné F. Shape-Dependent Toxicity of Silver Nanoparticles on Freshwater Cnidarians. Nanomaterials. 2022; 12(18):3107. https://doi.org/10.3390/nano12183107
Chicago/Turabian StyleAuclair, Joelle, and François Gagné. 2022. "Shape-Dependent Toxicity of Silver Nanoparticles on Freshwater Cnidarians" Nanomaterials 12, no. 18: 3107. https://doi.org/10.3390/nano12183107
APA StyleAuclair, J., & Gagné, F. (2022). Shape-Dependent Toxicity of Silver Nanoparticles on Freshwater Cnidarians. Nanomaterials, 12(18), 3107. https://doi.org/10.3390/nano12183107

