Development of Ag-Doped ZnO Thin Films and Thermoluminescence (TLD) Characteristics for Radiation Technology
Abstract
:1. Introduction
2. Experimental Section
2.1. Materials
2.2. Preparation of Ag-Doped ZnO Thin Films and Measurements
2.3. Thermoluminescence Measurments
3. Results and Discussion
3.1. Structural, Morphological, and Chemical Composition Investigations
3.2. Optical Properties Studies
3.3. Dosimetry Characteristics
3.3.1. Sample Optimization
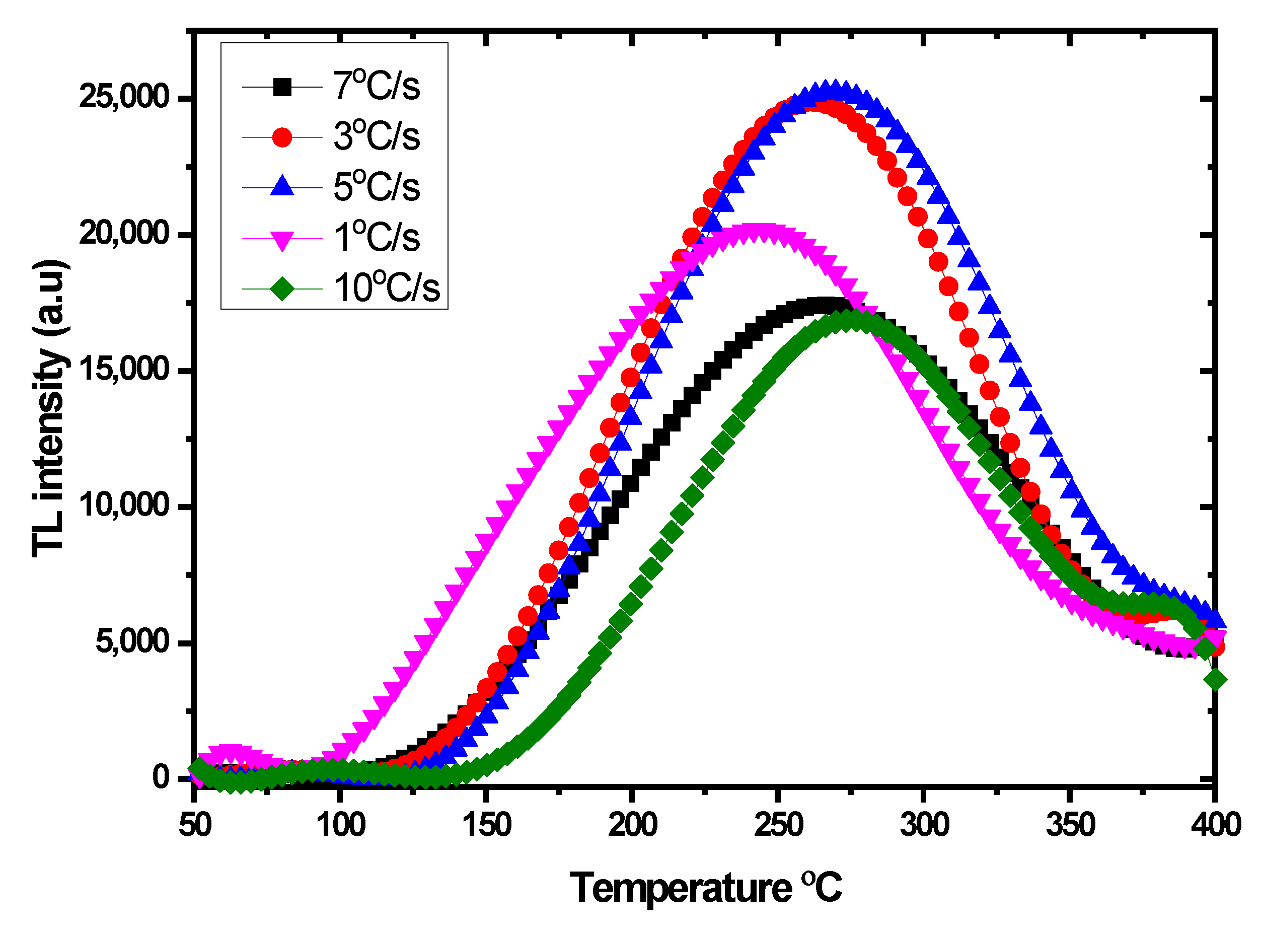
3.3.2. Heating Rate
3.3.3. Annealing Procedures
3.3.4. Dose-Response
3.3.5. Sensitivity
3.3.6. Reproducibility
3.3.7. Thermal Fading
3.3.8. Optical Fading
3.3.9. Minimum Detectable Dose (MDD)
3.3.10. Percentage Depth Doses (PDD)
4. Conclusions
Author Contributions
Funding
Data Availability Statement
Acknowledgments
Conflicts of Interest
References
- Sinclair, S.; Pech-Canul, M. Development feasibility of TLD phosphors and thermoluminescent composite materials for potential applications in dosimetry: A review. Chem. Eng. J. 2022, 443, 136522. [Google Scholar] [CrossRef]
- Bhatt, B.C.; Kulkarni, M. Thermoluminescent phosphors for radiation dosimetry. In Defect and Diffusion Forum; Trans Tech Publishing: Geneva, Switzerland, 2014; pp. 179–227. [Google Scholar]
- Omanwar, S.; Koparkar, K.; Virk, H.S. Recent advances and opportunities in tld materials: A review. In Defect and Diffusion Forum; Trans Tech Publishing: Geneva, Switzerland, 2014; pp. 75–110. [Google Scholar]
- Kry, S.F.; Alvarez, P.; Cygler, J.E.; DeWerd, L.A.; Howell, R.M.; Meeks, S.; O'Daniel, J.; Reft, C.; Sawakuchi, G.; Yukihara, E.G. AAPM TG 191: Clinical use of luminescent dosimeters: TLDs and OSLDs. Med. Phys. 2020, 47, e19–e51. [Google Scholar] [CrossRef] [PubMed]
- Salah, N. Nanocrystalline materials for the dosimetry of heavy charged particles: A review. Radiat. Phys. Chem. 2011, 80, 1–10. [Google Scholar] [CrossRef]
- Olko, P. Advantages and disadvantages of luminescence dosimetry. Radiat. Meas. 2010, 45, 506–511. [Google Scholar] [CrossRef]
- Mohammed, B.; Jaafar, M.S.; Wagiran, H. Effect of Cu 2 O on the thermoluminescence properties of ZnO-B 2 O 3 –SiO 2 glass sample. J. Lumin. 2017, 190, 228–233. [Google Scholar] [CrossRef]
- Alanazi, A. A Study of Novel Forms of Thermoluminescent Media for Clinical Dosimetry; University of Surrey: Surrey, UK, 2020. [Google Scholar]
- Parauha, Y.R.; Dhoble, S.J. Synthesis and luminescence characterization of Eu(3+) doped Ca7 Mg2 (PO4 )6 phosphor for eco-friendly white LEDs and TL Dosimetric applications. Luminescence 2021, 36, 1837–1846. [Google Scholar]
- Sadek, A.M.; Hassan, M.M.; Esmat, E.; Eissa, H.M. A new approach to the analysis of thermoluminescence glow-curve of TLD-600 dosimeters following Am-241 alpha particles irradiation. Radiat. Prot. Dosim. 2018, 178, 260–271. [Google Scholar] [CrossRef]
- Biro, B.; Fenyvesi, A.; Timar-Gabor, A.; Simon, V. Thermoluminescence properties of 30Y2O3.30P2O5.40SiO2 vitroceramics in mixed neutron-gamma fields. Appl. Radiat. Isot. 2018, 135, 224–231. [Google Scholar] [CrossRef]
- Al-Jawad, S.M.H.; Sabeeh, S.H.; Taha, A.A.; Jassim, H.A. Studying structural, morphological and optical properties of nanocrystalline ZnO:Ag films prepared by sol–gel method for antimicrobial activity. J. Sol.-Gel Sci. Technol. 2018, 87, 362–371. [Google Scholar] [CrossRef]
- Yukihara, E.G.; McKeever, S.W.; Andersen, C.E.; Bos, A.J.; Bailiff, I.K.; Yoshimura, E.M.; Sawakuchi, G.O.; Bossin, L.; Christensen, J.B. Luminescence dosimetry. Nat. Rev. Methods Primers 2022, 2, 1–21. [Google Scholar] [CrossRef]
- Grigorjeva, L.; Zolotarjovs, A.; Sokovnin, S.Y.; Millers, D.; Smits, K.; Il`ves, V.G. Radioluminescence, thermoluminescence and dosimetric properties of ZnO ceramics. Ceram. Int. 2017, 43, 6187–6191. [Google Scholar] [CrossRef]
- Reddy, G.K.; Reddy, A.J.; Krishna, R.H.; Nagabhushana, B.M.; Gopal, G.R. Luminescence and spectroscopic investigations on Gd3+ doped ZnO nanophosphor. J. Asian Ceram. Soc. 2018, 5, 350–356. [Google Scholar] [CrossRef]
- Singh, A.; Pandey, A.; Luthra, V. Modulating electrical, structural and thermoluminescence properties of γ- ray irradiated nanocrystalline Zn0.99M0.01O (M = Al/Gd). Radiat. Phys. Chem. 2018, 152, 69–74. [Google Scholar] [CrossRef]
- Guckan, V.; Altunal, V.; Ozdemir, A.; Tsiumra, V.; Zhydachevskyy, Y.; Yegingil, Z. Calcination effects on europium doped zinc oxide as a luminescent material synthesized via sol-gel and precipitation methods. J. Alloy. Compd. 2020, 823, 153878. [Google Scholar] [CrossRef]
- Thabit, H.A.; Kabir, N.A.; Ahmed, N.M. Synthesis & thermoluminescence characteristics & structural and optical studies of ZnO/Ag/ZnO system for dosimetric applications. J. Lumin. 2021, 236, 118097. [Google Scholar]
- Jayaramaiah, J.R.; Nagabhushana, K.R.; Lakshminarasappa, B.N. Role of Li ion on luminescence performance of yttrium oxide thin films. Dye. Pigment. 2015, 121, 221–226. [Google Scholar] [CrossRef]
- Montes-Gutiérrez, J.A.; Alcantar-Peña, J.J.; de Obaldia, E.; Zúñiga-Rivera, N.J.; Chernov, V.; Meléndrez-Amavizca, R.; Barboza-Flores, M.; Garcia-Gutierrez, R.; Auciello, O. Afterglow, thermoluminescence and optically stimulated luminescence characterization of micro-, nano-and ultrananocrystalline diamond films grown on silicon by HFCVD. Diam. Relat. Mater. 2018, 85, 117–124. [Google Scholar] [CrossRef]
- Moradi, F.; Olatunji, M.A.; Sani, S.F.A.; Ung, N.M.; Forouzeshfar, F.; Khandaker, M.U.; Bradley, D.A. Composition and thickness dependence of TLD relative dose sensitivity: A Monte Carlo study. Radiat. Meas. 2019, 129, 106191. [Google Scholar] [CrossRef]
- Moradi, F.; Ung, N.; Mahdiraji, G.; Khandaker, M.; Entezam, A.; See, M.; Taib, N.; Amin, Y.; Bradley, D. Angular dependence of optical fibre thermoluminescent dosimeters irradiated using kilo-and megavoltage X-rays. Radiat. Phys. Chem. 2017, 135, 4–10. [Google Scholar] [CrossRef]
- Chen, H.; Qu, Y.; Sun, L.; Peng, J.; Ding, J. Band structures and optical properties of Ag and Al co-doped ZnO by experimental and theoretic calculation. Phys. E Low-Dimens. Syst. Nanostructures 2019, 114, 113602. [Google Scholar] [CrossRef]
- Ahmad, K.S.; Jaffri, S.B. Phytosynthetic Ag doped ZnO nanoparticles: Semiconducting green remediators. Open Chem. 2018, 16, 556–570. [Google Scholar] [CrossRef]
- Thabit, H.A.; Kabir, N.A.; Ahmed, N.M.; Alraddadi, S.; Al-Buriahi, M. Synthesis, structural, optical, and thermoluminescence properties of ZnO/Ag/Y nanopowders for electronic and dosimetry applications. Ceram. Int. 2021, 47, 4249–4256. [Google Scholar] [CrossRef]
- Huang, P.-S.; Qin, F.; Lee, J.-K. Role of the interface between Ag and ZnO in the electric conductivity of Ag nanoparticle-embedded ZnO. ACS Appl. Mater. Interfaces 2019, 12, 4715–4721. [Google Scholar] [CrossRef] [PubMed]
- Corro, G.; Flores, J.A.; Pacheco-Aguirre, F.U.P.; Olivares-Xometl, O. Effect of the Electronic State of Cu, Ag, and Au on Diesel Soot Abatement: Performance of Cu/ZnO, Ag/ZnO, and Au/ZnO Catalysts. ACS Omega 2019, 4, 5795–5804. [Google Scholar] [PubMed]
- Saboor, A.; Shah, S.M.; Hussain, H. Band gap tuning and applications of ZnO nanorods in hybrid solar cell: Ag-doped verses Nd-doped ZnO nanorods. Mater. Sci. Semicond. Processing 2019, 93, 215–225. [Google Scholar] [CrossRef]
- Wang, S.; Jia, F.; Wang, X.; Hu, L.; Sun, Y.; Yin, G.; Zhou, T.; Feng, Z.; Kumar, P.; Liu, B. Fabrication of ZnO nanoparticles modified by uniformly dispersed Ag nanoparticles: Enhancement of gas sensing performance. ACS Omega 2020, 5, 5209–5218. [Google Scholar] [CrossRef]
- Razcón, J.L.I.; Vázquez, C.C.; Bernal, R.; Nuñez, H.A.B.; Castaño, V.M. Novel ZnO:Li phosphors for electronics and dosimetry applications. Electron. Mater. Lett. 2016, 13, 25–28. [Google Scholar] [CrossRef]
- Borbón-Nuñez, H.A.; Iriqui-Razcón, J.L.; Cruz-Vázquez, C.; Bernal, R.; Furetta, C.; Chernov, V.; Castaño, V.M. Thermoluminescence kinetics parameters of ZnO exposed to beta particle irradiation. J. Mater. Sci. 2017, 52, 5208–5215. [Google Scholar] [CrossRef]
- Isik, M.; Gasanly, N. Gd-doped ZnO nanoparticles: Synthesis, structural and thermoluminescence properties. J. Lumin. 2019, 207, 220–225. [Google Scholar] [CrossRef]
- Prasad, A.R.; Anagha, M.; Shamsheera, K.; Joseph, A. Bio-fabricated ZnO nanoparticles: Direct sunlight-driven selective photodegradation, antibacterial activity, and thermoluminescence-emission characteristics. New J. Chem. 2020, 44, 8273–8279. [Google Scholar] [CrossRef]
- Buryi, M.; Babin, V.; Artemenko, A.; Remeš, Z.; Děcká, K.; Mičová, J. Hydrothermally grown ZnO: Mo nanorods exposed to X-ray: Luminescence and charge trapping phenomena. Appl. Surf. Sci. 2022, 585, 152682. [Google Scholar] [CrossRef]
- Thabit, H.A.; Kabir, N.A. The study of X-ray effect on structural, morphology and optical properties of ZnO nanopowder. Nucl. Instrum. Methods Phys. Res. Sect. B: Beam Interact. Mater. At. 2018, 436, 278–284. [Google Scholar] [CrossRef]
- Xu, L.; Miao, J.; Chen, Y.; Su, J.; Yang, M.; Zhang, L.; Zhao, L.; Ding, S. Characterization of Ag-doped ZnO thin film for its potential applications in optoelectronic devices. Optik 2018, 170, 484–491. [Google Scholar]
- Zakaria, M.A.; Menazea, A.; Mostafa, A.M.; Al-Ashkar, E.A. Ultra-thin silver nanoparticles film prepared via pulsed laser deposition: Synthesis, characterization, and its catalytic activity on reduction of 4-nitrophenol. Surf. Interfaces 2020, 19, 100438. [Google Scholar] [CrossRef]
- Gurgur, E.; Oluyamo, S.; Adetuyi, A.; Omotunde, O.; Okoronkwo, A. Green synthesis of zinc oxide nanoparticles and zinc oxide–silver, zinc oxide–copper nanocomposites using Bridelia ferruginea as biotemplate. SN Appl. Sci. 2020, 2, 1–12. [Google Scholar] [CrossRef]
- Zhou, F.; Jing, W.; Liu, P.; Han, D.; Jiang, Z.; Wei, Z. Doping Ag in ZnO Nanorods to Improve the Performance of Related Enzymatic Glucose Sensors. Sensors 2017, 17, 2214. [Google Scholar] [CrossRef]
- Chen, W.; Wang, Z.; Lin, Z.; Lin, L. Thermoluminescence of ZnS nanoparticles. Appl. Phys. Lett. 1997, 70, 1465–1467. [Google Scholar] [CrossRef]
- Chen, W.; Joly, A.G.; Roark, J. Photostimulated luminescence and dynamics of AgI and Ag nanoclusters in zeolites. Phys. Rev. B 2002, 65, 245404. [Google Scholar] [CrossRef]
- Chen, W.; Westcott, S.L.; Zhang, J. Dose dependence of x-ray luminescence from Ca F 2: Eu 2+, Mn 2+ phosphors. Appl. Phys. Lett. 2007, 91, 211103. [Google Scholar] [CrossRef]
- Chen, W.; Wang, Z.; Lin, L. Thermoluminescence of CdS clusters in zeolite-Y. J. Lumin. 1997, 71, 151–156. [Google Scholar] [CrossRef]
- Johnson, N.J.; He, S.; Diao, S.; Chan, E.M.; Dai, H.; Almutairi, A. Direct evidence for coupled surface and concentration quenching dynamics in lanthanide-doped nanocrystals. J. Am. Chem. Soc. 2017, 139, 3275–3282. [Google Scholar] [CrossRef] [PubMed]
- Wen, S.; Zhou, J.; Zheng, K.; Bednarkiewicz, A.; Liu, X.; Jin, D. Advances in highly doped upconversion nanoparticles. Nat. Commun. 2018, 9, 1–12. [Google Scholar]
- Kumar, A.G.; Li, X.; Du, Y.; Geng, Y.; Hong, X. UV-photodetector based on heterostructured ZnO/(Ga, Ag)-co-doped ZnO nanorods by cost-effective two-step process. Appl. Surf. Sci. 2020, 509, 144770. [Google Scholar] [CrossRef]
- Kandulna, R.; Choudhary, R.; Maji, P. Ag-doped ZnO reinforced polymeric Ag: ZnO/PMMA nanocomposites as electron transporting layer for OLED application. J. Inorg. Organomet. Polym. Mater. 2017, 27, 1760–1769. [Google Scholar] [CrossRef]
- Torchynska, T.V.; Rodriguez, I.C.B.; el Filali, B.; Polupan, G.; Cano, A.I.D. Luminescence, structure and aging c-axis–Oriented silver doped ZnO nanocrystalline films. Mater. Sci. Semicond. Processing 2018, 79, 99–106. [Google Scholar] [CrossRef]
- Kayani, Z.N.; Manzoor, F.; Zafar, A.; Mahmood, M.; Rasheed, M.; Anwar, M. Impact of Ag doping on structural, optical, morphological, optical and photoluminescent properties of ZnO nanoparticles. Opt. Quantum Electron. 2020, 52, 1–18. [Google Scholar] [CrossRef]
- Wang, C.-C.; Shieu, F.-S.; Shih, H.C. Ag-nanoparticle enhanced photodegradation of ZnO nanostructures: Investigation using photoluminescence and ESR studies. J. Environ. Chem. Eng. 2021, 9, 104707. [Google Scholar] [CrossRef]
- Zhao, Y.; Chen, X.; Fang, L.; Yang, L.; Li, H.; Gao, Y. Effects of Annealing on the Structural and Photoluminescent Properties of Ag-Doped ZnO Nanowires Prepared by Ion Implantation. Plasma Sci. Technol. 2013, 15, 817–820. [Google Scholar] [CrossRef]
- Muthukumaran, S.; Gopalakrishnan, R. Structural, FTIR and photoluminescence studies of Cu doped ZnO nanopowders by co-precipitation method. Opt. Mater. 2012, 34, 1946–1953. [Google Scholar] [CrossRef]
- Kuriakose, S.; Choudhary, V.; Satpati, B.; Mohapatra, S. Enhanced photocatalytic activity of Ag–ZnO hybrid plasmonic nanostructures prepared by a facile wet chemical method. Beilstein J. Nanotechnol. 2014, 5, 639–650. [Google Scholar] [CrossRef]
- Uklein, A.; Multian, V.; Kuz'micheva, G.; Linnik, R.; Lisnyak, V.; Popov, A.; Gayvoronsky, V.Y. Nonlinear optical response of bulk ZnO crystals with different content of intrinsic defects. Opt. Mater. 2018, 84, 738–747. [Google Scholar] [CrossRef]
- Dong, Y.; Tuomisto, F.; Svensson, B.G.; Kuznetsov, A.Y.; Brillson, L.J. Vacancy defect and defect cluster energetics in ion-implanted ZnO. Phys. Rev. B 2010, 81, 081201. [Google Scholar] [CrossRef]
- Pal, S.; Gogurla, N.; Das, A.; Singha, S.; Kumar, P.; Kanjilal, D.; Singha, A.; Chattopadhyay, S.; Jana, D.; Sarkar, A. Clustered vacancies in ZnO: Chemical aspects and consequences on physical properties. J. Phys. D Appl. Phys. 2018, 51, 105107. [Google Scholar] [CrossRef]
- Li, H.; Schirra, L.K.; Shim, J.; Cheun, H.; Kippelen, B.; Monti, O.L.; Bredas, J.-L. Zinc oxide as a model transparent conducting oxide: A theoretical and experimental study of the impact of hydroxylation, vacancies, interstitials, and extrinsic doping on the electronic properties of the polar ZnO (0002) surface. Chem. Mater. 2012, 24, 3044–3055. [Google Scholar] [CrossRef]
- Rodnyi, P.; Khodyuk, I. Optical and luminescence properties of zinc oxide. Opt. Spectrosc. 2011, 111, 776–785. [Google Scholar] [CrossRef]
- Peng, Y.; Wang, Y.; Chen, Q.-G.; Zhu, Q.; Xu, A.W. Stable yellow ZnO mesocrystals with efficient visible-light photocatalytic activity. Cryst. Eng. Comm. 2014, 16, 7906–7913. [Google Scholar] [CrossRef]
- Kukreja, L.; Misra, P.; Fallert, J.; Phase, D.; Kalt, H. Correlation of spectral features of photoluminescence with residual native defects of ZnO thin films annealed at different temperatures. J. Appl. Phys. 2012, 112, 13525. [Google Scholar] [CrossRef]
- Alvi, N.; Nur, O.; Willander, M. The origin of the red emission in n-ZnO nanotubes/p-GaN white light emitting diodes. Nanoscale Res. Lett. 2011, 6, 1–7. [Google Scholar] [CrossRef]
- Pimpliskar, P.V.; Motekar, S.C.; Umarji, G.G.; Lee, W.; Arbuj, S.S. Synthesis of silver-loaded ZnO nanorods and their enhanced photocatalytic activity and photoconductivity study. Photochem. Photobiol. Sci. 2019, 18, 1503–1511. [Google Scholar] [CrossRef]
- Duan, L.; Yu, X.; Ni, L.; Wang, Z. ZnO:Ag film growth on Si substrate with ZnO buffer layer by rf sputtering. Appl. Surf. Sci. 2011, 257, 3463–3467. [Google Scholar] [CrossRef]
- Guidelli, E.J.; Baffa, O.; Clarke, D.R. Enhanced UV Emission from Silver/ZnO And Gold/ZnO Core-Shell Nanoparticles: Photoluminescence, Radioluminescence, And Optically Stimulated Luminescence. Sci. Rep. 2015, 5, 14004. [Google Scholar] [CrossRef] [PubMed]
- Fayaz Rouhi, H.; Rozati, S. Synthesis and investigating effect of tellurium-doping on physical properties of zinc oxide thin films by spray pyrolysis technique. Appl. Phys. A 2022, 128, 1–8. [Google Scholar] [CrossRef]
- Wang, C.; Wu, D.; Wang, P.; Ao, Y.; Hou, J.; Qian, J. Effect of oxygen vacancy on enhanced photocatalytic activity of reduced ZnO nanorod arrays. Appl. Surf. Sci. 2015, 325, 112–116. [Google Scholar] [CrossRef]
- Zhang, Q.; Xu, M.; You, B.; Zhang, Q.; Yuan, H.; Ostrikov, K. Oxygen vacancy-mediated ZnO nanoparticle photocatalyst for degradation of methylene blue. Appl. Sci. 2018, 8, 353. [Google Scholar] [CrossRef] [Green Version]
- Alajerami, Y.S. Thermoluminescence and Optical Characteristics of Lithium Potassium Borate Glass for Radiation Therapy Dose Measurement; Universiti Teknologi Malaysia: Johor Bahru, Malaysia, 2014. [Google Scholar]
- Ahmad, M.; Ahmad, I.; Ahmed, E.; Akhtar, M.S.; Khalid, N.R. Facile and inexpensive synthesis of Ag doped ZnO/CNTs composite: Study on the efficient photocatalytic activity and photocatalytic mechanism. J. Mol. Liq. 2020, 311, 113326. [Google Scholar] [CrossRef]
- Ignatovych, M.; Fasoli, M.; Kelemen, A. Thermoluminescence study of Cu, Ag and Mn doped lithium tetraborate single crystals and glasses. Radiat. Phys. Chem. 2012, 81, 1528–1532. [Google Scholar] [CrossRef]
- Saidu, A.; Wagiran, H.; Saeed, M.A.; Obayes, H.K.; Bala, A.; Usman, F. Thermoluminescence response of rare earth activated zinc lithium borate glass. Radiat. Phys. Chem. 2018, 144, 413–418. [Google Scholar] [CrossRef]
- Townsend, P.D.; Finch, A.A.; Maghrabi, M.; Ramachandran, V.; Vázquez, G.V.; Wang, Y.; White, D.R. Spectral changes and wavelength dependent thermoluminescence of rare earth ions after X-ray irradiation. J. Lumin. 2017, 192, 574–581. [Google Scholar] [CrossRef]
- İflazoğlu, S.; Yılmaz, A.; Kafadar, V.E.; Topaksu, M.; Yazıcı, A. Neutron+ Gamma response of undoped and Dy doped MgB4O7 thermoluminescence dosimeter. Appl. Radiat. Isot. 2019, 147, 91–98. [Google Scholar] [CrossRef]
- Singh, R.; Kainth, H.S. Effect of heating rate on thermoluminescence output of LiF: Mg, Ti (TLD-100) in dosimetric applications. Nucl. Instrum. Methods Phys. Res. Sect. B Beam Interact. Mater. At. 2018, 426, 22–29. [Google Scholar] [CrossRef]
- Mohammed, B.; Jaafar, M.S.; Wagiran, H. Thermoluminescence dosimetry properties and kinetic parameters of zinc borate silica glass doped with Cu2O and co-doped with SnO2. J. Lumin. 2018, 204, 375–381. [Google Scholar] [CrossRef]
- Trindade, N.M.; Kahn, H.; Yoshimura, E.M. Thermoluminescence of natural BeAl2O4: Cr3+ Brazilian mineral: Preliminary studies. J. Lumin. 2018, 195, 356–361. [Google Scholar] [CrossRef]
- Ozdemir, A.; Guckan, V.; Altunal, V.; Kurt, K.; Yegingil, Z. Thermoluminescence in MgB4O7: Pr, Dy dosimetry powder synthesized by solution combustion synthesis method. J. Lumin. 2021, 230, 117761. [Google Scholar] [CrossRef]
- Prabhu, N.S.; Sharmila, K.; Somashekarappa, H.; GLakshminarayana, S. Thermoluminescence features of Er3+ doped BaO-ZnO-LiF-B2O3 glass system for high-dose gamma dosimetry. Ceram. Int. 2020, 46, 19343–19353. [Google Scholar] [CrossRef]
- Hashim, S.; Omar, S.S.C.; Ibrahim, S.A.; Hassan, W.M.S.W.; Ung, N.M.; Mahdiraji, G.A.; Bradley, D.A.; Alzimami, K. Thermoluminescence response of flat optical fiber subjected to 9MeV electron irradiations. Radiat. Phys. Chem. 2015, 106, 46–49. [Google Scholar] [CrossRef]
- Rammadhan, I.; Taha, S.; Wagiran, H. Thermoluminescence characteristics of Cu 2 O doped Calcium Lithium borate glass irradiated with the cobalt-60 gamma rays. J. Lumin. 2017, 186, 117–122. [Google Scholar] [CrossRef]
- Glennie, G.D. A comparison of TLD dosimeters: LiF: Mg, Ti and LiF: Mg, Cu, P for measurement of radiation therapy doses. Med. Phys. 2003, 30, 3262. [Google Scholar] [CrossRef]
- Mohammed, B. Development of undoped, doped and codoped boron silicate composite as thermoluminescent dosimeters for medium and high dose levels. In School of Physics; University of Southern Mississippi: Hattiesburg, MS, USA, 2017. [Google Scholar]
- Salama, E.; Soliman, H.A.; Youssef, G.M.; Hamad, S. Thermoluminescence properties of borosilicate glass doped with ZnO. J. Lumin. 2017, 186, 164–169. [Google Scholar] [CrossRef]
- Laopaiboon, R.; Thumsa-ard, T.; Bootjomchai, C. The thermoluminescence properties and determination of trapping parameters of soda lime glass doped with erbium oxide. J. Lumin. 2018, 197, 304–309. [Google Scholar] [CrossRef]
- Bakhsh, M.; Abdullah, W.S.W.; Mustafa, I.S.; al Musawi, M.S.A.; Razali, N.A.N. Synthesis, characterisation and dosimetric evaluation of MgB4O7 glass as thermoluminescent dosimeter. Radiat. Eff. Defects Solids 2018, 173, 446–460. [Google Scholar] [CrossRef]
- Tousi, E.T.; Aboarrah, A.; Bauk, S.; Hashim, R.; Jaafar, M.S. Measurement of percentage depth dose and half value layer of the Rhizophora spp. particleboard bonded by Eremurus spp. to 60, 80 and 100 kVp diagnostic X-rays. MAPAN 2018, 33, 321–332. [Google Scholar] [CrossRef]


















| Samples | 2 θ (°) | FWHM (rad) | Crystallite Size (nm) |
|---|---|---|---|
| Pure ZnO | 31.80 | 0.147 | 36.21 |
| 1% Ag | 31.79 | 0.1476 | 35.9 |
| 3% Ag | 31.52 | 0.197 | 27.0 |
| 5% Ag | 31.76 | 0.246 | 21.5 |
| 1 Gy X-ray Irradiated | Ag-Doped ZnO | ||
|---|---|---|---|
| Samples | BG nC | TL Signal nC | TL–BG |
| 1 | 0.27 | 63.27 | 63 |
| 2 | 0.36 | 59.62 | 59.26 |
| 3 | 0.47 | 48.94 | 48.47 |
| 4 | 0.52 | 65.28 | 64.76 |
| 5 | 0.451 | 61.85 | 61.399 |
| Average | 0.4142 | 59.792 | 59.3778 |
| STDV | 0.099238 | ||
| F | 0.016841311 | ||
| D0 | 0.01031827 | ||
Publisher’s Note: MDPI stays neutral with regard to jurisdictional claims in published maps and institutional affiliations. |
© 2022 by the authors. Licensee MDPI, Basel, Switzerland. This article is an open access article distributed under the terms and conditions of the Creative Commons Attribution (CC BY) license (https://creativecommons.org/licenses/by/4.0/).
Share and Cite
Thabit, H.A.; Kabir, N.A.; Ismail, A.K.; Alraddadi, S.; Bafaqeer, A.; Saleh, M.A. Development of Ag-Doped ZnO Thin Films and Thermoluminescence (TLD) Characteristics for Radiation Technology. Nanomaterials 2022, 12, 3068. https://doi.org/10.3390/nano12173068
Thabit HA, Kabir NA, Ismail AK, Alraddadi S, Bafaqeer A, Saleh MA. Development of Ag-Doped ZnO Thin Films and Thermoluminescence (TLD) Characteristics for Radiation Technology. Nanomaterials. 2022; 12(17):3068. https://doi.org/10.3390/nano12173068
Chicago/Turabian StyleThabit, Hammam Abdurabu, Norlaili A. Kabir, Abd Khamim Ismail, Shoroog Alraddadi, Abdullah Bafaqeer, and Muneer Aziz Saleh. 2022. "Development of Ag-Doped ZnO Thin Films and Thermoluminescence (TLD) Characteristics for Radiation Technology" Nanomaterials 12, no. 17: 3068. https://doi.org/10.3390/nano12173068
APA StyleThabit, H. A., Kabir, N. A., Ismail, A. K., Alraddadi, S., Bafaqeer, A., & Saleh, M. A. (2022). Development of Ag-Doped ZnO Thin Films and Thermoluminescence (TLD) Characteristics for Radiation Technology. Nanomaterials, 12(17), 3068. https://doi.org/10.3390/nano12173068

