Plasmonic Effect of Ag/Au Composite Structures on the Material Transition
Abstract
:1. Introduction
2. Materials and Methods
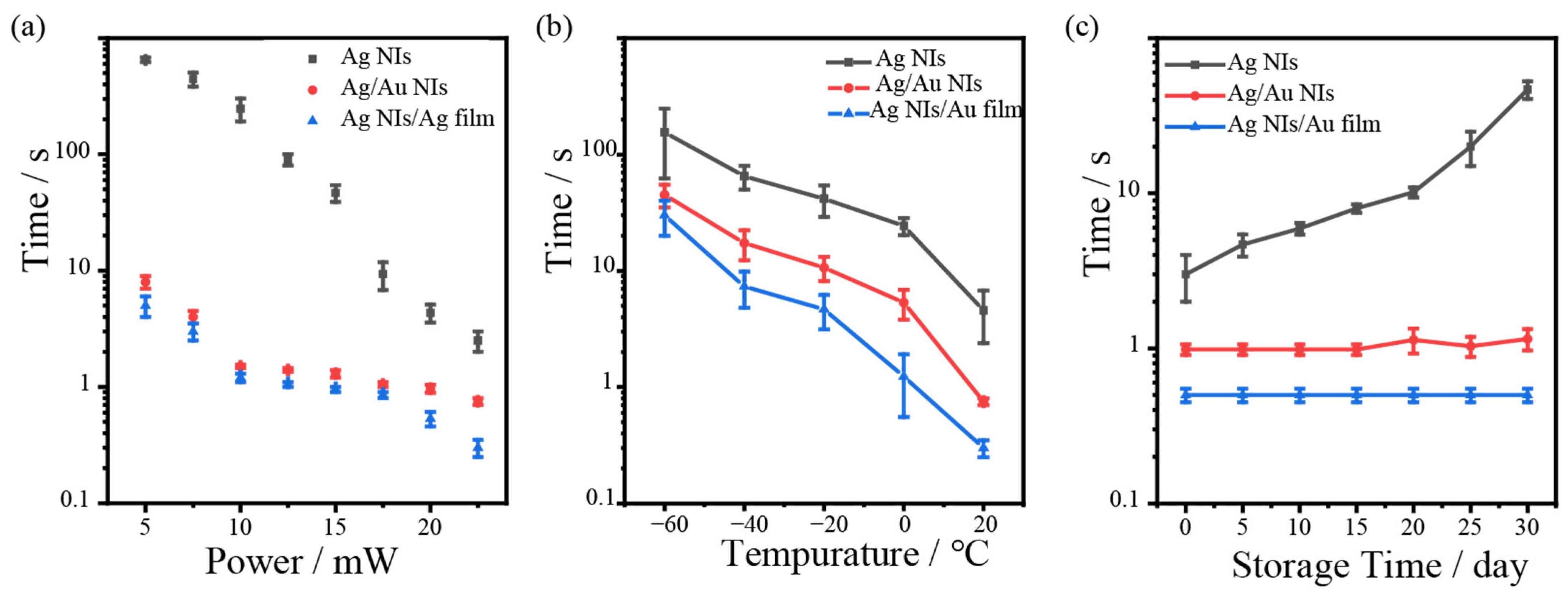
3. Results and Discussion
4. Conclusions
Supplementary Materials
Author Contributions
Funding
Institutional Review Board Statement
Informed Consent Statement
Data Availability Statement
Conflicts of Interest
References
- Halas, N.J.; Lal, S.; Chang, W.S.; Link, S.; Nordlander, P. Plasmons in strongly coupled metallic nanostructures. Chem. Rev. 2011, 111, 3913–3961. [Google Scholar] [CrossRef] [PubMed]
- Aslam, U.; Rao, V.G.; Chavez, S.; Linic, S. Catalytic conversion of solar to chemical energy on plasmonic metal nanostructures. Nat. Catal. 2018, 1, 656–665. [Google Scholar] [CrossRef]
- Meng, X.G.; Liu, L.Q.; Ouyang, S.X.; Xu, H.; Wang, D.F.; Zhao, N.Q.; Ye, J.H. Nanometals for solar-to-chemical energy conversion: From semiconductor-based photocatalysis to plasmon-mediated photocatalysis and photo-thermocatalysis. Adv. Mater. 2016, 28, 6781–6803. [Google Scholar] [CrossRef] [PubMed]
- Linic, S.; Aslam, U.; Boerigter, C.; Morabito, M. Photochemical transformations on plasmonic metal nanoparticles. Nat. Mater. 2015, 14, 567–576. [Google Scholar] [CrossRef] [PubMed]
- Linic, S.; Christopher, P.; Ingram, D.B. Plasmonic-metal nanostructures for efficient conversion of solar to chemical energy. Nat. Mater. 2011, 10, 911–921. [Google Scholar] [CrossRef]
- Kazuma, E.; Kim, Y. Mechanistic studies of plasmon chemistry on metal catalysts. Angew. Chem. Int. Ed. Engl. 2019, 58, 4800–4808. [Google Scholar] [CrossRef]
- Kale, M.J.; Avanesian, T.; Christopher, P. Direct photocatalysis by plasmonic nanostructures. ACS Catal. 2014, 4, 116–128. [Google Scholar] [CrossRef]
- Rycenga, M.; Cobley, C.M.; Zeng, J.; Li, W.; Moran, C.H.; Zhang, Q.; Qin, D.; Xia, Y. Controlling the synthesis and assembly of silver nanostructures for plasmonic applications. Chem. Rev. 2011, 111, 3669–3712. [Google Scholar] [CrossRef] [PubMed]
- Xie, W.; Schlucker, S. Hot electron-induced reduction of small molecules on photorecycling metal surfaces. Nat. Commun. 2015, 6, 7570. [Google Scholar] [CrossRef] [PubMed]
- Wang, J.L.; Ando, R.A.; Camargo, P.H.C. Investigating the plasmon-mediated catalytic activity of AgAu nanoparticles as a function of composition: Are two metals better than one? ACS Catal. 2014, 4, 3815–3819. [Google Scholar] [CrossRef]
- Da Silva, A.G.; Rodrigues, T.S.; Correia, V.G.; Alves, T.V.; Alves, R.S.; Ando, R.A.; Ornellas, F.R.; Wang, J.; Andrade, L.H.; Camargo, P.H. Plasmonic nanorattles as next-generation catalysts for surface plasmon resonance-mediated oxidations promoted by activated oxygen. Angew. Chem. Int. Ed. Engl. 2016, 55, 7111–71115. [Google Scholar] [CrossRef] [PubMed]
- Agrawal, A.; Cho, S.H.; Zandi, O.; Ghosh, S.; Johns, R.W.; Milliron, D.J. Localized surface plasmon resonance in semiconductor nanocrystals. Chem. Rev. 2018, 118, 3121–3207. [Google Scholar] [CrossRef] [PubMed]
- Mascaretti, L.; Dutta, A.; Kment, S.; Shalaev, V.M.; Boltasseva, A.; Zboril, R.; Naldoni, A. Plasmon-enhanced photoelectrochemical water splitting for efficient renewable energy storage. Adv. Mater. 2019, 31, 1805513. [Google Scholar] [CrossRef] [PubMed]
- Wang, C.; Astruc, D. Nanogold plasmonic photocatalysis for organic synthesis and clean energy conversion. Chem. Soc. Rev. 2014, 43, 7188–7216. [Google Scholar] [CrossRef] [PubMed]
- Wu, K.; Rindzevicius, T.; Stenbæk, M.; Mogensen, K.; Xiao, S.; Boisen, A. Plasmon resonances of Ag capped Si nanopillars fabricated using mask-less lithography. Opt. Express. 2015, 23, 12965–12978. [Google Scholar] [CrossRef] [PubMed]
- Chung, T.; Lee, Y.; Ahn, M.S.; Lee, W.; Bae, S.I.; Hwang, C.; Jeong, K.H. Nanoislands as plasmonic materials. Nanoscale 2019, 11, 8651–8664. [Google Scholar] [CrossRef] [PubMed]
- Loza, K.; Heggen, M.; Epple, M. Synthesis, Structure, Properties, and Applications of Bimetallic Nanoparticles of Noble Metals. Adv. Funct. Mater. 2020, 30, 1909260. [Google Scholar] [CrossRef]
- Kong, T.; Zhang, C.Y.; Gan, X.T.; Xiao, F.J.; Li, J.P.; Fu, Z.K.; Zhang, Z.L.; Zheng, H.R. Fast transformation of a rare-earth doped luminescent sub-microcrystal via plasmonic nanoislands. J. Mater. Chem. C 2020, 8, 4338–4342. [Google Scholar] [CrossRef]
- Zhang, C.Y.; Lu, J.B.; Jin, N.N.; Dong, L.; Fu, Z.K.; Zhang, Z.L.; Zheng, H.R. Plasmon-driven rapid in situ formation of luminescence single crystal nanoparticle. Small 2019, 15, 1901286. [Google Scholar] [CrossRef] [PubMed]
- Zhang, C.Y.; Kong, T.; Fu, Z.K.; Zhang, Z.L.; Zheng, H.R. Hot electron and thermal effects in plasmonic catalysis of nanocrystal transformation. Nanoscale 2020, 12, 8768–8774. [Google Scholar] [CrossRef] [PubMed]





| Publisher’s Note: MDPI stays neutral with regard to jurisdictional claims in published maps and institutional affiliations. | 
© 2022 by the authors. Licensee MDPI, Basel, Switzerland. This article is an open access article distributed under the terms and conditions of the Creative Commons Attribution (CC BY) license (https://creativecommons.org/licenses/by/4.0/).
Share and Cite
Wang, X.; Zhang, C.; Zhou, X.; Fu, Z.; Yan, L.; Li, J.; Zhang, Z.; Zheng, H. Plasmonic Effect of Ag/Au Composite Structures on the Material Transition. Nanomaterials 2022, 12, 2927. https://doi.org/10.3390/nano12172927
Wang X, Zhang C, Zhou X, Fu Z, Yan L, Li J, Zhang Z, Zheng H. Plasmonic Effect of Ag/Au Composite Structures on the Material Transition. Nanomaterials. 2022; 12(17):2927. https://doi.org/10.3390/nano12172927
Chicago/Turabian StyleWang, Xiaohua, Chengyun Zhang, Xilin Zhou, Zhengkun Fu, Lei Yan, Jinping Li, Zhenglong Zhang, and Hairong Zheng. 2022. "Plasmonic Effect of Ag/Au Composite Structures on the Material Transition" Nanomaterials 12, no. 17: 2927. https://doi.org/10.3390/nano12172927
APA StyleWang, X., Zhang, C., Zhou, X., Fu, Z., Yan, L., Li, J., Zhang, Z., & Zheng, H. (2022). Plasmonic Effect of Ag/Au Composite Structures on the Material Transition. Nanomaterials, 12(17), 2927. https://doi.org/10.3390/nano12172927
 
         
                                                

