Impact of Ga3+ Ions on the Structure, Magnetic, and Optical Features of Co-Ni Nanostructured Spinel Ferrite Microspheres
Abstract
:1. Introduction
2. Experimental
3. Results and Discussions
3.1. Microstructural Features
3.2. Nitrogen Physisorption
3.3. Optical Properties
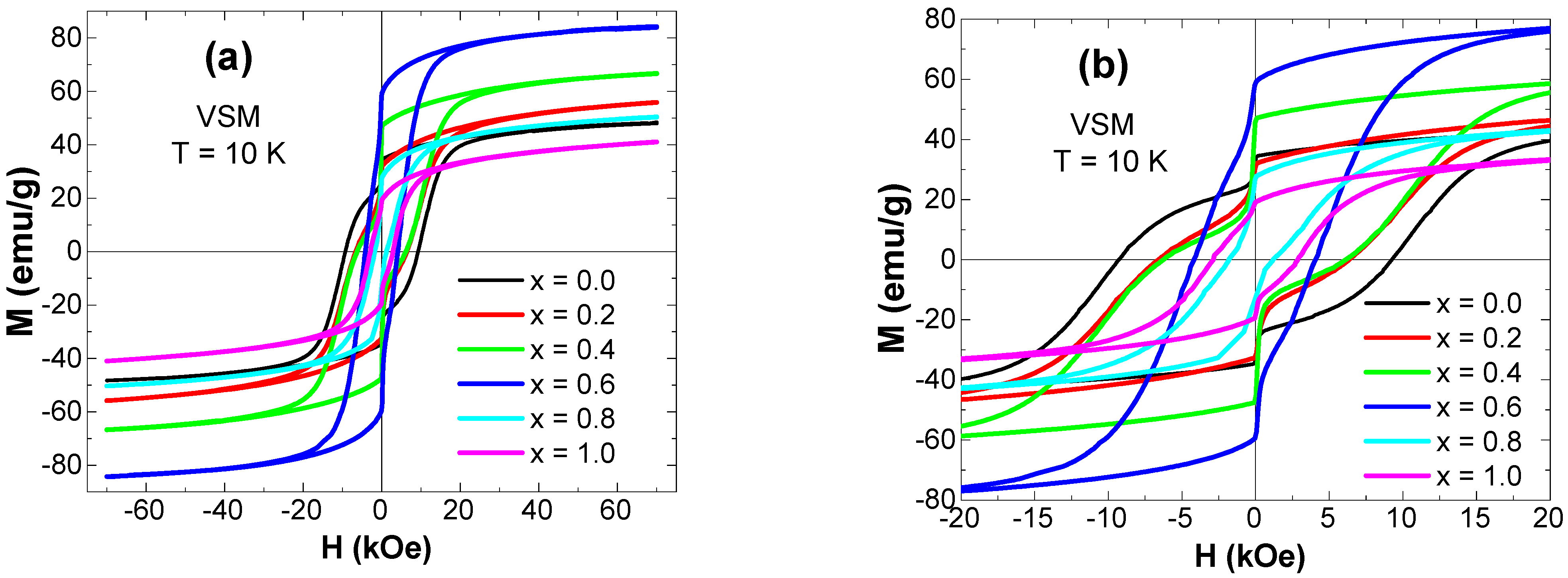
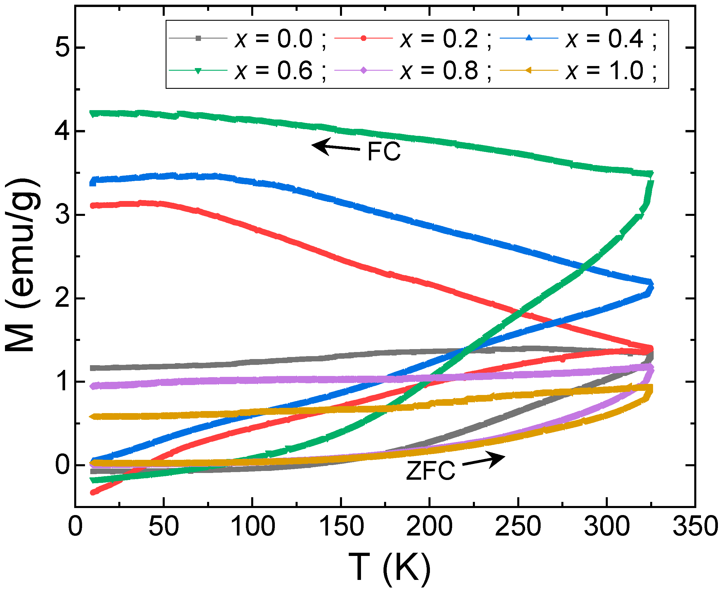
3.4. Magnetic Features
- (i)
- as per the model of one-ion anisotropy, the high anisotropy of Co–Ni ferrites is largely owing to the existence of Co2+ and Ni2+ ions at the B site of spinel nanomaterial, and
- (ii)
- the occurrence of Ga3+ ions in the A site reduces the anisotropy owing to the decrease in A–B superexchange coupling.
4. Conclusions
Author Contributions
Funding
Institutional Review Board Statement
Informed Consent Statement
Data Availability Statement
Acknowledgments
Conflicts of Interest
References
- Ketsko, V.A.; Beresnev, E.N.; Kop’eva, M.A.; Elesina, L.V.; Baranchikov, A.I.; Stognii, A.I.; Trukhanov, A.V.; Kuznetsov, N.T. Specifics of pyrohydrolytic and solid-phase syntheses of solid solutions in the (MgGa2O4)x(MgFe2O4)1−x system. Russ. J. Inorg. Chem. 2010, 55, 427–429. [Google Scholar] [CrossRef]
- Trukhanov, A.V.; Turchenko, V.O.; Bobrikov, I.A.; Trukhanov, S.V.; Kazakevich, I.S.; Balagurov, A.M. Crystal structure and magnetic properties of the BaFe12−xAlxO19 (x = 0.1 − 1.2) solid solutions. J. Magn. Magn. Mater. 2015, 393, 253–259. [Google Scholar] [CrossRef]
- Karpinsky, D.V.; Silibin, M.V.; Trukhanov, A.V.; Zhaludkevich, A.L.; Latushka, S.I.; Zhaludkevich, D.V.; Sikolenko, V.; Khomchenko, V.A. Evolution of crystal structure of Ba and Ti co-doped BiFeO3 ceramics at the morphotropic phase boundary. J. Alloys Compd. 2019, 803, 1136–1140. [Google Scholar] [CrossRef]
- Trukhanov, S.V.; Trukhanov, A.V.; Turchenko, V.A.; Trukhanov, A.V.; Trukhanova, E.L.; Tishkevich, D.I.; Ivanov, V.M.; Zubar, T.I.; Salem, M.; Kostishyn, V.G.; et al. Polarization origin and iron positions in indium doped barium hexaferrites. Ceram. Int. 2018, 44, 290–300. [Google Scholar] [CrossRef]
- Almessiere, M.; Slimani, Y.; Trukhanov, A.V.; Baykal, A.; Gungunes, H.; Trukhanova, E.L.; Trukhanov, S.V.; Kostishin, V.G. Strong correlation between Dy3+ concentration, structure, magnetic and microwave properties of the [Ni0.5Co0.5](DyxFe2−x)O4 nanosized ferrites. J. Ind. Eng. Chem. 2020, 90, 251–259. [Google Scholar] [CrossRef]
- Trukhanov, A.V.; Astapovich, K.A.; Turchenko, V.A.; Almessiere, M.A.; Slimani, Y.; Baykal, A.; Sombra, A.S.B.; Zhou, D.; Jotania, R.B.; Singh, C.; et al. Influence of the dysprosium ions on structure, magnetic characteristics and origin of the reflection losses in the Ni-Co spinels. J. Alloys Compd. 2020, 841, 155667. [Google Scholar] [CrossRef]
- Sherstyuk, D.P.; Starikov, A.Y.; Zhivulin, V.E.; Zherebtsov, D.A.; Gudkova, S.A.; Perov, N.S.; Alekhina, Y.A.; Astapovich, K.A.; Vinnik, D.A.; Trukhanov, A.V. Effect of Co content on magnetic features and spin states in Ni-Zn spinel ferrites. Ceram. Int. 2021, 47, 12163–12169. [Google Scholar] [CrossRef]
- Mohd, H.; Raghasudha, M.; Jyoti, S.; Sagar, E.S.; Ravinder, D.; Shalendra, K.; Singh, M.S.; Pramod, B.; Alimuddin; Ravi, K.; et al. High temperature dielectric studies of indium-substituted NiCuZn nanoferrites. J. Phys. Chem. Solids 2018, 112, 29–36. [Google Scholar] [CrossRef]
- Mostafa, M.; Saleh, O.; Henaish, A.M.; El-Kaream, S.A.A.; Ghazy, R.; Hemeda, O.M.; Dorgham, A.M.; Al-Ghamdi, H.; Almuqrin, A.H.; Sayyed, M.I.; et al. Structure, morphology and electrical/magnetic properties of Ni-Mg nano-ferrites from a new perspective. Nanomaterials 2022, 12, 1045. [Google Scholar] [CrossRef]
- Vinnik, D.A.; Sherstyuk, D.P.; Zhivulin, V.E.; Zhivulin, D.E.; Starikov, A.Y.; Gudkova, S.A.; Zherebtsov, D.A.; Pankratov, D.A.; Alekhina, Y.A.; Perov, N.S.; et al. Impact of the Zn-Co ratio on structural and magnetic characteristics of the Ni0.3Zn0.7−xCoxFe2O4 (0 ≤ x ≤ 0.7) Ni-based spinels. Ceram. Int. 2022, 48, 18124–18133. [Google Scholar] [CrossRef]
- Narang, S.B.; Pubby, K. Nickel spinel ferrites: A review. J. Magn. Magn. Mater. 2021, 519, 167163. [Google Scholar] [CrossRef]
- Lenin, N.; Sakthipandi, K.; Kanna, R.R.; Rajesh, J. Effect of neodymium ion on the structural, electrical and magnetic properties of nanocrystalline nickel ferrites. Ceram. Int. 2018, 44, 11562–11569. [Google Scholar] [CrossRef]
- Li, Y.; Liu, X.; Feng, S.; Lv, Q.; Huang, J.; Zhao, J.; Hu, J. Investigation of structural and magnetic properties of Cu-substituted NiZn spinel ferrites. J. Mater. Sci. Mater. Electron. 2020, 19, 17133–17142. [Google Scholar] [CrossRef]
- Vinnik, D.A.; Zhivulin, V.E.; Sherstyuk, D.P.; Starikov, A.Y.; Zezyulina, P.A.; Gudkova, S.A.; Zherebtsov, D.A.; Rozanov, K.N.; Trukhanov, S.V.; Astapovich, K.A.; et al. Ni substitution effect on the structure, magnetization, resistivity and permeability of zinc ferrites. J. Mater. Chem. C 2021, 9, 5425–5436. [Google Scholar] [CrossRef]
- Cruz-Franco, B.; Gaudisson, T.; Ammar, S.; Bolarín-Miró, A.M.; de Jesús, F.S.; Mazaleyrat, F.; Valenzuela, R. Magnetic properties of nanostructured spinel ferrites. IEEE Trans. Magn. 2014, 50, 2800106. [Google Scholar] [CrossRef]
- Vinnik, D.A.; Zhivulin, V.E.; Sherstyuk, D.P.; Starikov, A.Y.; Zezyulina, P.A.; Gudkova, S.A.; Zherebtsov, D.A.; Rozanov, K.N.; Trukhanov, S.V.; Astapovich, K.A.; et al. Electromagnetic properties of zinc-nickel ferrites in frequency range of 0.05–10 GHz. Mater. Today Chem. 2021, 20, 100460. [Google Scholar] [CrossRef]
- Amiri, M.; Salavati-Niasari, M.; Akbari, A. Magnetic nanocarriers: Evolution of spinel ferrites for medical applications. Adv. Colloid Interface Sci. 2019, 265, 29–44. [Google Scholar] [CrossRef]
- Praveena, K.; Sadhana, K.; Bharadwaj, S.; Murthy, S.R. Development of nanocrystalline Mn–Zn ferrites for high frequency transformer applications. J. Magn. Magn. Mater. 2009, 321, 2433–2437. [Google Scholar] [CrossRef]
- Harris, V.G.; Geiler, A.; Soack, Y.C.; Yoon, D.; Wu, M.; Yang, A.; Chen, Z.; He, P.; Parimi, P.V.; Zuo, X.; et al. Recent advances in processing and applications of microwave ferrites. J. Magn. Magn. Mater. 2009, 321, 2035–2047. [Google Scholar] [CrossRef]
- Qin, H.; He, Y.; Xu, P.; Huang, D.; Wang, Z.; Wang, H.; Wang, Z.; Zhao, Y.; Tian, Q.; Wang, C. Spinel ferrites (MFe2O4): Synthesis, improvement and catalytic application in environment and energy field. Adv. Colloid Interface Sci. 2021, 294, 102486. [Google Scholar] [CrossRef]
- Tishkevich, D.I.; Korolkov, I.V.; Kozlovskiy, A.L.; Anisovich, M.; Vinnik, D.A.; Ermekova, A.E.; Vorobjova, A.I.; Shumskaya, E.E.; Zubar, T.I.; Trukhanov, S.V.; et al. Immobilization of boron-rich compound on Fe3O4 nanoparticles: Stability and cytotoxicity. J. Alloys Compd. 2019, 797, 573–581. [Google Scholar] [CrossRef]
- Valente, F.; Astol, L.; Simoni, E.; Danti, S.; Franceschini, V.; Chicca, M. Nanoparticle drug delivery systems for inner ear therapy: An overview. J. Drug Deliv. Sci. Technol. 2017, 39, 28–35. [Google Scholar] [CrossRef]
- Dukenbayev, K.; Korolkov, I.V.; Tishkevich, D.I.; Kozlovskiy, A.L.; Trukhanov, S.V.; Gorin, Y.G.; Shumskaya, E.E.; Kaniukov, E.Y.; Vinnik, D.A.; Zdorovets, M.V.; et al. Fe3O4 nanoparticles for complex targeted delivery and boron neutron capture therapy. Nanomaterials 2019, 9, 494. [Google Scholar] [CrossRef] [Green Version]
- Pathania, A.; Thakur, P.; Tomar, M.; Gupta, V.; Trukhanov, A.V.; Trukhanov, S.V.; Panina, L.V.; Lüders, U.; Thakur, A. Development of tungsten doped Ni-Zn nano-ferrites with fast response and recovery time for hydrogen gas sensing application. Res. Phys. 2019, 15, 102531. [Google Scholar] [CrossRef]
- Sutka, A.; Gross, K.A. Spinel ferrite oxide semiconductor gas sensors. Sens. Actuators B 2016, 222, 95–105. [Google Scholar] [CrossRef]
- Arvizu, J.L.D.; Miramontes, J.A.J.; Gtiérrez, J.M.S.; Zaragoza, M.J.M.; López-Ortiz, A.; Collins-Martínez, V. Study of NiFe2O4 nanoparticles optical properties by a six-flux radiation model towards the photocatalytic hydrogen production. Int. J. Hydrogen Energy 2019, 44, 12455–12462. [Google Scholar] [CrossRef]
- Ghorbani, H.; Eshraghi, M.; Sabouri Dodaran, A.A.; Kameli, P.; Protasowicki, S.; Johnson, C.; Vashaee, D. Effect of Yb doping on the structural and magnetic properties of cobalt ferrite nanoparticles. Mater. Res. Bull. 2022, 147, 111642. [Google Scholar] [CrossRef]
- Aman, S.; Tahir, M.B.; Ahmad, N. The enhanced electrical and dielectric properties of cobalt-based spinel ferrites for high-frequency applications. J. Mater. Sci. Mater. Electron. 2021, 32, 22440–22449. [Google Scholar] [CrossRef]
- Vinosha, P.A.; Manikandan, A.; Ceicilia, A.S.J.; Dinesh, A.; Nirmala, G.F.; Preetha, A.C.; Slimani, Y.; Almessiere, M.A.; Baykal, A.; Xavier, B. Review on recent advances of zinc substituted cobalt ferrite nanoparticles: Synthesis characterization and diverse applications. Ceram. Int. 2021, 47, 10512–10535. [Google Scholar] [CrossRef]
- Somvanshi, S.B.; Khedkar, M.V.; Kharat, P.B.; Jadhav, K.M. Influential diamagnetic magnesium (Mg2+) ion substitution in nano-spinel zinc ferrite (ZnFe2O4): Thermal, structural, spectral, optical and physisorption analysis. Ceram. Int. 2020, 46, 8640–8650. [Google Scholar] [CrossRef]
- Zayani, W.; Azizi, S.; El-Nasser, K.S.; Ali, I.O.; Molière, M.; Feninech, N.; Mathlouthi, H.; Lamloumi, J. Electrochemical behaviour of a spinel zinc ferrite alloy obtained by a simple sol-gel route for Ni-MH battery applications. Int. J. Energy Res. 2021, 45, 5235–5247. [Google Scholar] [CrossRef]
- Somvanshi, S.B.; Jadhav, S.; Khedkar, M.V.; Kharat, P.B.; More, S.D.; Jadhav, K.M. Structural, thermal, spectral, optical and surface analysis of rare earth metal ion (Gd3+) doped mixed Zn–Mg nano-spinel ferrites. Ceram. Int. 2020, 46, 13170–13179. [Google Scholar] [CrossRef]
- Nikmanesh, H.; Jaberolansar, E.; Kameli, P.; Varzaneh, A.G.; Mehrabi, M.; Shamsodini, M.; Rostami, M.; Orue, I.; Chernenko, V. Structural features and temperature-dependent magnetic response of cobalt ferrite nanoparticle substituted with rare earth Sm3+. J. Magn. Magn. Mater. 2022, 543, 168664. [Google Scholar] [CrossRef]
- Almessiere, M.A.; Güner, S.; Gungunes, H.; Sertkol, M.; Slimani, Y.; Badar, R.; Akhtar, S.; Shirsath, S.E.; Baykal, A. Structural, magnetic, and mossbauer parameters’ evaluation of sonochemically synthesized rare earth Er3+ and Y3+ ions-substituted manganese–zinc nanospinel ferrites. ACS Omega 2021, 6, 22429–22438. [Google Scholar] [CrossRef]
- Almessiere, M.A.; Slimani, Y.; Güngüneş, H.; Kostishyn, V.G.; Trukhanov, S.V.; Trukhanov, A.V.; Baykal, A. Impact of Eu3+ ion substitution on structural, magnetic and microwave traits of Ni–Cu–Zn spinel ferrites. Ceram. Int. 2020, 46, 11124–11131. [Google Scholar] [CrossRef]
- Ajmal, M.; Islam, M.U.; Ashraf, G.A.; Nazir, M.A.; Ghouri, M.I. The influence of Ga doping on structural magnetic and dielectric properties of NiCr0.2Fe1.8O4 spinel ferrite. Phys. B Condens. Matter 2017, 526, 149–154. [Google Scholar] [CrossRef]
- Heiba, Z.K.; Mohamed, M.B.; Ahmed, M.A.; Moussa, M.A.A.; Hamdeh, H.H. Cation distribution and dielectric properties of nanocrystalline gallium substituted nickel ferrite. J. Alloys Compd. 2014, 586, 773–781. [Google Scholar] [CrossRef]
- Almessiere, M.A.; Unal, B.; Slimani, Y.; Gungunes, H.; Toprak, M.S.; Tashkandi, N.; Baykal, A.; Sertkol, M.; Trukhanov, A.V.; Yıldız, A.; et al. Effects of Ce–Dy rare earths co-doping on various features of Ni–Co spinel ferrite microspheres prepared via hydrothermal approach. J. Mater. Res. Technol. 2021, 14, 2534–2553. [Google Scholar] [CrossRef]
- Chen, P.; Cui, B.; Bu, Y.; Yang, Z.; Wang, Y. Synthesis and characterization of mesoporous and hollow-mesoporous MxFe3−xO4 (M = Mg, Mn, Fe, Co, Ni, Cu, Zn) microspheres for microwave-triggered controllable drug delivery. J. Nanopart. Res. 2017, 19, 398. [Google Scholar] [CrossRef]
- Wang, F.; Liu, J.; Kong, J.; Zhang, Z.; Wang, X.; Itoh, M.; Machida, K. Template free synthesis and electromagnetic wave absorption properties of monodispersed hollow magnetite nano-spheres. J. Mater. Chem. 2011, 21, 4314. [Google Scholar] [CrossRef]
- Titirici, M.M.; Antonietti, M.; Thomas, A.A. generalized synthesis of metal oxide hollow spheres using a hydrothermal approach. Chem. Mater. 2006, 18, 3808–3812. [Google Scholar] [CrossRef]
- Li, Z.; Lai, X.; Wang, H.; Mao, D.; Xing, C.; Wang, D. General synthesis of homogeneous hollow core-shell ferrite microspheres. J. Phys. Chem. C 2009, 113, 2792–2797. [Google Scholar] [CrossRef]
- Lou, X.W.; Archer, L.A.; Yang, Z. Hollow micro-/nanostructures: Synthesis and applications. Adv. Mater. 2008, 20, 3987–4019. [Google Scholar] [CrossRef]
- Mu, G.H.; Pan, X.F.; Shen, H.G.; Gu, M.Y. Preparation, and magnetic properties of composite powders of hollow ferrite microspheres coated with barium ferrite. Mater. Sci. Eng. A 2007, 445–446, 563–566. [Google Scholar] [CrossRef]
- Akhtar, M.N.; Khan, M.A. Effect of rare earth doping on the structural and magnetic features of nanocrystalline spinel ferrites prepared via sol gel route. J. Magn. Magn. Mater. 2018, 460, 268–277. [Google Scholar] [CrossRef]
- Trukhanov, S.V.; Trukhanov, A.V.; Kostishyn, V.G.; Zabeivorota, N.I.; Panina, L.V.; Trukhanov, A.V.; Turchenko, V.A.; Trukhanova, E.L.; Oleynik, V.V.; Yakovenko, O.S.; et al. High-frequency absorption properties of gallium weakly doped barium hexaferrites. Philos. Mag. 2019, 99, 585–605. [Google Scholar] [CrossRef]
- Fagerlund, G. Determination of specific surface by the BET method. Mater. Constr. 1973, 6, 239–245. [Google Scholar] [CrossRef]
- Sahoo, M.K.; Rao, G.R. Fabrication of NiCo2S4 nanoball embedded nitrogen doped mesoporous carbon on nickel foam as an advanced charge storage material. Electrochim. Acta 2018, 268, 139–149. [Google Scholar] [CrossRef]
- Hai, A.; Alqassem, B.; Bharath, G.; Rambabu, K.; Othman, I.; Haija, M.A.; Banat, F. Cobalt and nickel ferrites based capacitive deionization electrode materials for water desalination applications. Electrochim. Acta 2020, 363, 137083. [Google Scholar] [CrossRef]
- Kubelka, P.; Munk, F. An article on optics of paint layers. Z. Tech. Phys. 1931, 12, 593. [Google Scholar]
- Murphy, A.B. Band-gap determination from diffuse reflectance measurements of semiconductor films, and application to photoelectrochemical water-splitting. Sol. Energy Mater. Sol. Cells 2007, 91, 1326–1337. [Google Scholar] [CrossRef]
- Smith, R.A. Semiconductors, 2nd ed.; Cambridge University Press: Cambridge, UK, 1978. [Google Scholar]
- Tauc, J.; Grigorovici, R.; Vancu, A. Optical properties and electronic structure of amorphous germanium. Phys. Stat. Solidi (b) 1966, 15, 627–637. [Google Scholar] [CrossRef]
- Almessiere, M.A.; Slimani, Y.; Trukhanov, A.V.; Korkmaz, A.D.; Guner, S.; Akhtar., S.; Shirsath, S.E.; Baykal, A. Effect of Nd-Y co-substitution on structural, magnetic, optical and microwave properties of NiCuZn nanospinel ferrites. J. Mater. Res. Technol. 2020, 9, 11278–11290. [Google Scholar] [CrossRef]
- Almessiere, M.A.; Slimani, Y.; Guner, S.; Nawaz, M.; Baykal, A.; Alkhamis, F.; Sadaqat, A. Effect of Nb substitution on magneto-optical properties of Co0.5Mn0.5Fe2O4 nanoparticles. J. Mol. Struct. 2019, 1195, 269–279. [Google Scholar] [CrossRef]
- Quinonez, J.L.O.; Pal, U.; Villanueva, M.S. Structural, magnetic, and catalytic evaluation of spinel, Co, Ni, and Co-Ni ferrite nanoparticles fabricated by low-temperature solution combustion process. ACS Omega 2018, 3, 14986–15001. [Google Scholar] [CrossRef]
- Sarac, M.F. Magnetic, structural, and optical properties of gadolinium-substituted Co0.5Ni0.5Fe2O4 spinel ferrite nanostructures. J. Supercond. Nov. Magn. 2020, 33, 397–406. [Google Scholar] [CrossRef]
- Almessiere, M.A.; Slimani, Y.; Sertkol, M.; Nawaz, M.; Sadaqat, A.; Baykal, A.; Ozçelik, B. Effect of Nb3+ substitution on the structural, magnetic, and optical properties of Co0.5Ni0.5Fe2O4 nanoparticles. Nanomaterials 2019, 9, 430. [Google Scholar] [CrossRef] [Green Version]
- Almessiere, M.A.; Slimani, Y.; Sertkol, M.; Nawaz, M.; Baykal, A. The impact of Zr substituted Sr hexaferrite: Investigation on structure, optic and magnetic properties. Res. Phys. 2019, 13, 102244. [Google Scholar] [CrossRef]
- Zi, Z.; Sun, Y.; Zhu, X.; Yang, Z.; Dai, J.; Song, W. Synthesis and magnetic properties of CoFe2O4 ferrite nanoparticles. J. Magn. Magn. Mater. 2009, 321, 1251–1255. [Google Scholar] [CrossRef]
- Korkmaz, A.D.; Güner, S.; Slimani, Y.; Gungunes, H.; Amir, M.; Manikandan, A.; Baykal, A. Microstructural, optical, and magnetic properties of vanadium-substituted nickel spinel nanoferrites. J. Supercond. Nov. Magn. 2019, 32, 1057–1065. [Google Scholar] [CrossRef]
- Almessiere, M.A.; Slimani, Y.; Sertkol, M.; Khan, F.A.; Nawaz, M.; Tombuloglu, H.; Al-Suhaimi, E.A.; Baykal, A. Ce–Nd Co-substituted nanospinel cobalt ferrites: An investigation of their structural, magnetic, optical, and apoptotic properties. Ceram. Int. 2019, 45, 16147–16156. [Google Scholar] [CrossRef]
- Pervaiz, E.; Gul, I.H. High frequency AC response, DC resistivity and magnetic studies of holmium substituted Ni-ferrite: A novel electromagnetic material. J. Magn. Magn. Mater. 2014, 349, 27–34. [Google Scholar] [CrossRef]
- Almessiere, M.A.; Dabagh, S.; Slimani, Y.; Chaudhary, K.; Ali, J.; Baykal, A. Investigation of structural and magnetic properties on Mg1−xZnxFe2−xAlxO4 (0.0 ≤ x ≤ 0.8) nanoparticles. J. Inorg. Organomet. Polym. Mater. 2018, 28, 942–953. [Google Scholar] [CrossRef]
- Almessiere, M.A.; Slimani, Y.; Korkmaz, A.D.; Baykal, A.; Güngüneş, H.; Sözeri, H.; Shirsath, S.E.; Güner, S.; Akhtar, S.; Manikandan, A. Impact of La3+ and Y3+ ion substitutions on structural, magnetic and microwave properties of Ni0.3Cu0.3Zn0.4Fe2O4 nanospinel ferrites synthesized via sonochemical route. RSC Adv. 2019, 9, 30671–30684. [Google Scholar] [CrossRef] [Green Version]
- Trukhanov, S.V.; Trukhanov, A.V.; Kostishin, V.G.; Panina, L.V.; Kazakevich, I.S.; Turchenko, V.A.; Oleinik, V.V.; Yakovenko, E.S.; Matsui, L.Y. Magnetic and absorbing properties of M-type substituted hexaferrites BaFe12−xGaxO19 (0.1 < x < 1.2). J. Exp. Theor. Phys. 2016, 123, 461–469. [Google Scholar] [CrossRef]
- Mane, S.M.; Teli, A.M.; Tayade, N.T.; Pawar, K.J.; Kulkarni, S.B.; Choi, J.; Yoo, J.-W.; Shin, J.C. Correlative structural refinement-magnetic tunability, and enhanced magnetostriction in low-temperature, microwave-annealed, Ni-substituted CoFe2O4 nanoparticles. J. Alloys Compd. 2022, 895, 162627. [Google Scholar] [CrossRef]
- Krieble, K.; Devlin, M.; Lee, S.J.; Aldini, S.T.; Snyder, J.E. Investigation of Ga substitution in cobalt ferrite (CoGaxFe2−xO4) using Mossbauer spectroscopy. J. Appl. Phys. 2008, 103, 07E508. [Google Scholar] [CrossRef] [Green Version]
- Almessiere, M.A.; Slimani, Y.; Guner, S.; Sertkol, M.; Korkmaz, A.D.; Shirsath, S.E.; Baykal, A. Sonochemical synthesis and physical properties of Co0.3Ni0.5Mn0.2EuxFe2−xO4 nano-spinel ferrites. Ultrason. Sonochem. 2019, 58, 104654. [Google Scholar] [CrossRef] [PubMed]
- Slimani, Y.; Almessiere, M.A.; Sertkol, M.; Shirsath, S.E.; Baykal, A.; Nawaz, M.; Akhtar, S.; Ozcelik, B. Structural, magnetic, optical properties and cation distribution of nanosized Ni0.3Cu0.3Zn0.4TmxFe2−xO4 (0.0 ≤ x ≤ 0.10) spinel ferrites synthesized by ultrasound irradiation. Ultrason. Sonochem. 2019, 57, 203–211. [Google Scholar] [CrossRef]
- Ahmed, Y.M.Z.; Ewais, E.M.M.; Zaki, Z.I. In situ synthesis of high-density magnetic ferrite spinel (MgFe2O4) compacts using a mixture of conventional raw materials and waste iron oxide. J. Alloys Compd. 2010, 489, 269–274. [Google Scholar] [CrossRef]
- Meng, Y.Y.; Liu, Z.W.; Dai, H.C.; Yu, H.Y.; Zeng, D.C.; Shukla, S.; Ramanujan, R.V. Structure and magnetic properties of Mn(Zn)Fe2−xRExO4 ferrite nano-powders synthesized by co-precipitation and refluxing method. Powder Technol. 2012, 229, 270–275. [Google Scholar] [CrossRef]
- Gul, I.H.; Abbasi, A.Z.; Amin, F.; Anis-ur-Rehman, M.; Maqsood, A. Structural, magnetic and electrical properties of Co1−xZnxFe2O4 synthesized by co-precipitation method. J. Magn. Magn. Mater. 2007, 311, 494–499. [Google Scholar] [CrossRef]
- Kumar, L.; Kumar, P.; Kar, M. Effect of non-magnetic substitution on the structural and magnetic properties of spinel cobalt ferrite (CoFe2−xAlxO4) ceramics. J. Mater. Sci. Mater. Electron. 2013, 24, 2706–2715. [Google Scholar] [CrossRef]
- Maher Wahba, A.; Bakr Mohamed, M. Structural, magnetic, and dielectric properties of nanocrystalline Cr-substituted Co0.8Ni0.2Fe2O4 ferrite. Ceram. Int. 2014, 40, 6127–6135. [Google Scholar] [CrossRef]
- Ranvah, N.; Melikhov, Y.; Jiles, D.C.; Snyder, J.E.; Moses, A.J.; Williams, P.I.; Song, S.H. Temperature dependence of magnetic anisotropy of Ga-substituted cobalt ferrite. J. Appl. Phys. 2008, 103, 07E506. [Google Scholar] [CrossRef] [Green Version]
- Almessiere, M.A.; Slimani, Y.; Auwal, I.A.; Shirsath, S.E.; Gondal, M.A.; Sertkol, M.; Baykal, A. Biosynthesis effect of Moringa oleifera leaf extract on structural and magnetic properties of Zn doped Ca-Mg nano-spinel ferrites. Arab. J. Chem. 2021, 14, 103261. [Google Scholar] [CrossRef]
- Almessiere, M.A.; Slimani, Y.; Güngüneş, H.; El Sayed, H.S.; Baykal, A. AC susceptibility and hyperfine interactions of vanadium substituted barium nanohexaferrites. Ceram. Int. 2018, 44, 17749–17758. [Google Scholar] [CrossRef]
- Almessiere, M.A.; Slimani, Y.; Sertkol, M.; Gungunes, H.; Wudil, Y.S.; Korkmaz, A.D.; Baykal, A. Impact of Gd substitution on the structure, hyperfine interactions, and magnetic properties of Sr hexaferrites. Ceram. Int. 2021, 47, 33853–33864. [Google Scholar] [CrossRef]
- Slimani, Y.; Unal, B.; Almessiere, M.A.; Korkmaz, A.D.; Shirsath, S.E.; Yasin, G.; Trukhanov, A.V.; Baykal, A. Investigation of structural and physical properties of Eu3+ ions substituted Ni0.4Cu0.2Zn0.4Fe2O4 spinel ferrite nanoparticles prepared via sonochemical approach. Res. Phys. 2020, 17, 103061. [Google Scholar] [CrossRef]
- Slimani, Y.; Almessiere, M.A.; Güner, S.; Tashkandi, N.A.; Baykal, A.; Sarac, M.F.; Nawaz, M. Calcination effect on the magneto-optical properties of vanadium substituted NiFe2O4 nanoferrites. J. Mater. Sci. Mater. Electron. 2019, 30, 9143–9154. [Google Scholar] [CrossRef]
- Nairan, A.; Khan, M.; Khan, U.; Iqbal, M.; Riaz, S.; Naseem, S. Temperature-dependent magnetic response of antiferromagnetic doping in cobalt ferrite nanostructures. Nanomaterials 2016, 6, 73. [Google Scholar] [CrossRef] [PubMed] [Green Version]
- Almessiere, M.A.; Slimani, Y.; Korkmaz, A.D.; Güner, S.; Baykal, A.; Shirsath, S.E.; Kögerler, P. Sonochemical synthesis of Dy3+ substituted Mn0.5Zn0.5Fe2−xO4 nanoparticles: Structural, magnetic, and optical characterizations. Ultrason. Sonochem. 2020, 61, 104836. [Google Scholar] [CrossRef] [PubMed]
- Almessiere, M.A.; Slimani, Y.; El Sayed, H.S.; Baykal, A. Morphology and magnetic traits of strontium nanohexaferrites: Effects of manganese/yttrium co-substitution. J. Rare Earths 2019, 37, 732–740. [Google Scholar] [CrossRef]











| x | a (Å) | V (Å3) | DXRD (nm) ± 0.04 | χ2 (chi2) | RBragg |
|---|---|---|---|---|---|
| 0.0 | 8.335 (2) | 579.09 (4) | 12.36 | 1.20 | 1.39 |
| 0.2 | 8.344 (8) | 581.10 (5) | 11.34 | 1.96 | 0.70 |
| 0.4 | 8.351 (4) | 582.48 (3) | 11.69 | 2.15 | 0.19 |
| 0.6 | 8.297 (3) | 571.23 (4) | 9.99 | 1.40 | 0.83 |
| 0.8 | 8.326 (5) | 577.27 (8) | 10.05 | 2.32 | 0.27 |
| 1.0 | 8.327 (4) | 577.46 (2) | 9.78 | 1.58 | 0.91 |
| x | BET Surface Area (m2/g) | Pore Volume (cm3/g) | Average Pore Size (nm) |
|---|---|---|---|
| 0.0 | 57 | 0.22 | 15.8 |
| 0.2 | 36 | 0.13 | 14.2 |
| 0.4 | 51 | 0.24 | 18.8 |
| 0.6 | 105 | 0.68 | 26.2 |
| 0.8 | 78 | 0.32 | 16.2 |
| 1.0 | 79 | 0.34 | 17.3 |
| x | Mr (emu/g) | SR = Mr/Ms | K (Oe·emu/g) | |||
|---|---|---|---|---|---|---|
| 300 K | 10 K | 300 K | 10 K | 300 K | 10 K | |
| 0.0 | 2.53 | 32.8 | 0.085 | 0.683 | 1.66 × 104 | 4.55 × 105 |
| 0.2 | 9.38 | 31.1 | 0.256 | 0.555 | 1.50 × 104 | 3.77 × 105 |
| 0.4 | 4.97 | 46.4 | 0.116 | 0.697 | 1.04 × 104 | 4.25 × 105 |
| 0.6 | 10.13 | 59.2 | 0.193 | 0.700 | 1.10 × 104 | 3.62 × 105 |
| 0.8 | 2.19 | 27.2 | 0.081 | 0.539 | 2.69 × 103 | 9.30 × 104 |
| 0.1 | 1.42 | 20.2 | 0.075 | 0.505 | 2.12 × 103 | 1.21 × 105 |
Publisher’s Note: MDPI stays neutral with regard to jurisdictional claims in published maps and institutional affiliations. |
© 2022 by the authors. Licensee MDPI, Basel, Switzerland. This article is an open access article distributed under the terms and conditions of the Creative Commons Attribution (CC BY) license (https://creativecommons.org/licenses/by/4.0/).
Share and Cite
Almessiere, M.A.; Slimani, Y.; Ali, S.; Baykal, A.; Balasamy, R.J.; Guner, S.; Auwal, İ.A.; Trukhanov, A.V.; Trukhanov, S.V.; Manikandan, A. Impact of Ga3+ Ions on the Structure, Magnetic, and Optical Features of Co-Ni Nanostructured Spinel Ferrite Microspheres. Nanomaterials 2022, 12, 2872. https://doi.org/10.3390/nano12162872
Almessiere MA, Slimani Y, Ali S, Baykal A, Balasamy RJ, Guner S, Auwal İA, Trukhanov AV, Trukhanov SV, Manikandan A. Impact of Ga3+ Ions on the Structure, Magnetic, and Optical Features of Co-Ni Nanostructured Spinel Ferrite Microspheres. Nanomaterials. 2022; 12(16):2872. https://doi.org/10.3390/nano12162872
Chicago/Turabian StyleAlmessiere, Munirah A., Yassine Slimani, Sadaqat Ali, Abdulhadi Baykal, Rabindran Jermy Balasamy, Sadik Guner, İsmail A. Auwal, Alex V. Trukhanov, Sergei V. Trukhanov, and Ayyar Manikandan. 2022. "Impact of Ga3+ Ions on the Structure, Magnetic, and Optical Features of Co-Ni Nanostructured Spinel Ferrite Microspheres" Nanomaterials 12, no. 16: 2872. https://doi.org/10.3390/nano12162872
APA StyleAlmessiere, M. A., Slimani, Y., Ali, S., Baykal, A., Balasamy, R. J., Guner, S., Auwal, İ. A., Trukhanov, A. V., Trukhanov, S. V., & Manikandan, A. (2022). Impact of Ga3+ Ions on the Structure, Magnetic, and Optical Features of Co-Ni Nanostructured Spinel Ferrite Microspheres. Nanomaterials, 12(16), 2872. https://doi.org/10.3390/nano12162872

