Exciton Luminescence and Optical Properties of Nanocrystalline Cubic Y2O3 Films Prepared by Reactive Magnetron Sputtering
Abstract
:1. Introduction
2. Materials and Methods
3. Results and Discussion
3.1. Interference and Refractive Index
3.2. Energy Gaps and Interband Transitions
3.3. Room-Temperature Exciton Emission
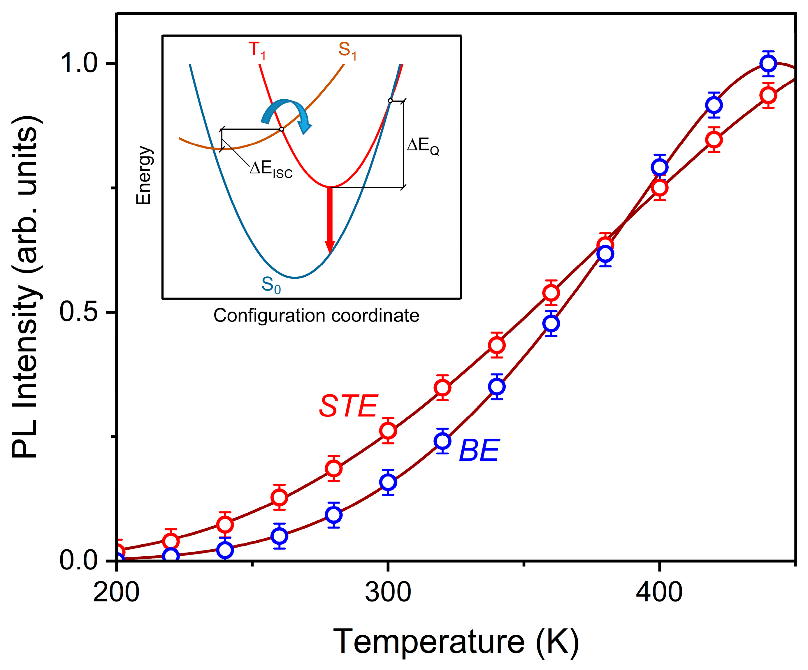
3.4. Temperature Behavior of Exciton Emission: Activation Barriers
3.5. The Role of Structural Factors in the Formation of Optical, Energy, and Kinetic Parameters: Comparison of Cubic and Monoclinic Y2O3 Films
4. Conclusions
Author Contributions
Funding
Data Availability Statement
Acknowledgments
Conflicts of Interest
References
- David, S.P.; Soosaimanickam, A.; Sakthivel, T.; Sambandam, B.; Sivaramalingam, A. Thin Film Metal. Oxides for Displays and Other Optoelectronic Applications; Springer: Berlin/Heidelberg, Germany, 2020. [Google Scholar]
- Tarancón, A.; Pryds, N. Functional Oxide Thin Films for Advanced Energy and Information Technology. Adv. Mater. Interfaces 2019, 6, 1900990. [Google Scholar] [CrossRef] [Green Version]
- Yoshimoto, K.; Masuno, A.; Ueda, M.; Inoue, H.; Yamamoto, H.; Kawashima, T. Low phonon energies and wideband optical windows of La2O3-Ga2O3 glasses prepared using an aerodynamic levitation technique. Sci. Rep. 2017, 7, 45600. [Google Scholar] [CrossRef] [PubMed]
- Hossain, M.K.; Hossain, S.; Ahmed, M.H.; Khan, M.I.; Haque, N.; Raihan, G.A. A Review on Optical Applications, Prospects, and Challenges of Rare-Earth Oxides. ACS Appl. Electron. Mater. 2021, 3, 3715–3746. [Google Scholar] [CrossRef]
- Petry, J.; Komban, R.; Gimmler, C.; Weller, H. Simple one pot synthesis of luminescent europium doped yttrium oxide Y2O3:Eu nanodiscs for phosphor converted warm white LEDs. Nanoscale Adv. 2022, 4, 858–864. [Google Scholar] [CrossRef]
- Chawarambwa, F.L.; Putri, T.E.; Kamataki, K.; Shiratani, M.; Koga, K.; Itagaki, N.; Nakamura, D. Synthesis of Yb3+/Ho3+ co-doped Y2O3 nanoparticles and its application to dye sensitized solar cells. J. Mol. Struct. 2021, 1228, 129479. [Google Scholar] [CrossRef]
- Chávez-García, D.; Sengar, P.; Juárez-Moreno, K.; Flores, D.L.; Calderón, I.; Barrera, J.; Hirata, G.A. Luminescence properties and cell uptake analysis of Y2O3:Eu, Bi nanophosphors for bio-imaging applications. J. Mater. Res. Technol. 2021, 10, 797–807. [Google Scholar] [CrossRef]
- Zinkevich, M. Thermodynamics of rare earth sesquioxides. Prog. Mater. Sci. 2007, 52, 597–647. [Google Scholar] [CrossRef]
- Lushchik, A.; Kirm, M.; Lushchik, C.; Martinson, I.; Zimmerer, G. Luminescence of free and self-trapped excitons in wide-gap oxides. J. Lumin. 2000, 87–89, 232–234. [Google Scholar] [CrossRef]
- Oliveira, T.C.D.; Silva, M.S.D.; Jesus, L.M.D.; Sampaio, D.V.; Santos, J.C.A.D.; Souza, N.R.D.S.; Silva, R.S.D. Laser sintering and radioluminescence emission of pure and doped Y2O3 ceramics. Ceram. Int. 2014, 40, 16209–16212. [Google Scholar] [CrossRef]
- Fukabori, A.; Yanagida, T.; Pejchal, J.; Maeo, S.; Yokota, Y.; Yoshikawa, A.; Ikegami, T.; Moretti, F.; Kamada, K. Optical and scintillation characteristics of Y2O3 transparent ceramic. J. Appl. Phys. 2010, 107, 073501. [Google Scholar] [CrossRef]
- den Engelsen, D.; Fern, G.R.; Ireland, T.G.; Harris, P.G.; Hobson, P.R.; Lipman, A.; Dhillon, R.; Marsh, P.J.; Silver, J. Ultraviolet and blue cathodoluminescence from cubic Y2O3 and Y2O3:Eu3+ generated in a transmission electron microscope. J. Mater. Chem. C 2016, 4, 7026–7034. [Google Scholar] [CrossRef] [Green Version]
- den Engelsen, D.; Fern, G.R.; Ireland, T.G.; Silver, J. Cathodoluminescence of Y2O3:Ln3+ (Ln = Tb, Er and Tm) and Y2O3:Bi3+ nanocrystalline particles at 200 keV. RSC Adv. 2018, 8, 396–405. [Google Scholar] [CrossRef] [Green Version]
- Hua, C.; Li, C.; Guo, J.; Yan, X.; Liu, J.; Chen, L.; Wei, J.; Hei, L. Optical properties of cubic and monoclinic Y2O3 films prepared through radio frequency magnetron sputtering. Surf. Coat. Technol. 2017, 320, 279–283. [Google Scholar] [CrossRef]
- Mudavakkat, V.H.; Atuchin, V.V.; Kruchinin, V.N.; Kayani, A.; Ramana, C.V. Structure, morphology and optical properties of nanocrystalline yttrium oxide (Y2O3) thin films. Opt. Mater. 2012, 34, 893–900. [Google Scholar] [CrossRef]
- Wiktorczyk, T.; Biegański, P.; Serafińczuk, J. Optical properties of nanocrystalline Y2O3 thin films grown on quartz substrates by electron beam deposition. Opt. Mater. 2016, 59, 150–156. [Google Scholar] [CrossRef]
- Shvets, V.A.; Kruchinin, V.N.; Gritsenko, V.A. Dispersion of the Refractive Index in High-k Dielectrics. Opt. Spectrosc. 2017, 123, 728–732. [Google Scholar] [CrossRef]
- Wang, W.C.; Badylevich, M.; Afanas’Ev, V.V.; Stesmans, A.; Adelmann, C.; Van Elshocht, S.; Kittl, J.A.; Lukosius, M.; Walczyk, C.; Wenger, C. Band alignment and electron traps in Y2O3 layers on (100)Si. Appl. Phys. Lett. 2009, 95, 132903. [Google Scholar] [CrossRef]
- Scherrer, P. Bestimmung der Größe und der inneren Struktur von Kolloidteilchen mittels Röntgenstrahlen, Nachrichten von der Gesellschaft der Wissenschaften zu Göttingen. Math. Phys. Kl. 1918, 1918, 98–100. [Google Scholar]
- Warren, B.E. X-ray Diffraction; Addison Wesly Publishing, Co.: London, UK, 1969. [Google Scholar]
- Schlecht, W.G. Calculation of Density from X-ray data. Am. Mineral. 1944, 29, 108–110. [Google Scholar]
- Detailed Description of ThermoScientific K-Alpha Plus XPS Spectrometer. Available online: https://xpssimplified.com/kalpha_surface_analysis.php (accessed on 26 April 2022).
- Naumkin, A.V.; Kraut-Vass, A.; Gaarenstroom, S.W.; Powell, C.J. NIST XPS Standard Reference Database 20; Web-Version 4.1; US Government ASTM: West Conshohocken, PA, USA, 2012. [CrossRef]
- Crist, B.V. Handbook of Monochromatic XPS Spectra: The Elements of Native Oxides; John Wiley & Sons: Hoboken, NJ, USA, 2000; p. 548. [Google Scholar]
- Zhang, X.; Li, Z.; Peng, Y.; Su, W.; Sun, X.; Li, J. Investigation on a novel CaO-Y2O3 sorbent for efficient CO2 mitigation. Chem. Eng. J. 2014, 243, 297–304. [Google Scholar] [CrossRef]
- ThermoScientific XPS: Knowledge Base. 2013–2022. Available online: https://www.thermofisher.com/ru/ru/home/materials-science/learning-center/periodic-table/transition-metal/yttrium.html (accessed on 27 March 2022).
- Pengfei, Y.; Kan, Z.; Hao, H.; Mao, W.; Quan, L.; Wei, Z.; Chaoquan, H.; Weitao, Z. Oxygen vacancies dependent phase transition of Y2O3 films. Appl. Surf. Sci. 2017, 410, 470–478. [Google Scholar] [CrossRef]
- Swanepoel, R. Determination of the thickness and optical constants of amorphous silicon. J. Phys. E Sci. Instrum. 1983, 16, 1214–1222. [Google Scholar] [CrossRef]
- Jenkins, F.A.; White, H.E. Fundamentals of Optics; McGraw-Hill: New York, NY, USA, 1981. [Google Scholar]
- Lei, P.; Dai, B.; Zhu, J.; Chen, X.; Liu, G.; Zhu, Y.; Han, J. Controllable phase formation and physical properties of yttrium oxide films governed by substrate heating and bias voltage. Ceram. Int. 2015, 41, 8921–8930. [Google Scholar] [CrossRef]
- Gorman, B.P.; Petrovsky, V.; Anderson, H.U.; Petrovsky, T. Optical characterization of ceramic thin films: Applications in low-temperature solid oxide fuel-cell materials research. J. Mater. Res. 2004, 19, 573–578. [Google Scholar] [CrossRef]
- Nigara, Y. Measurement of the optical constants of yttrium oxide. Jpn. J. Appl. Phys. 1968, 7, 404. [Google Scholar] [CrossRef]
- Urbach, F. The long-wavelength edge of photographic sensitivity and of the electronic Absorption of Solids. Phys. Rev. 1953, 92, 1324. [Google Scholar] [CrossRef]
- Vainshtein, I.A.; Zatsepin, A.F.; Kortov, V.S. Specific features of the Urbach rule manifestation in vitreous materials. Glass Phys. Chem. 1999, 25, 67–74. [Google Scholar]
- Dow, J.D.; Redfield, D. Toward a unified theory of Urbach’s rule and exponential absorption edges. Phys. Rev. B 1972, 5, 594–610. [Google Scholar] [CrossRef]
- Sumi, H.; Toyozawa, Y. Urbach-Martienseen Rule and Exciton Trapped Momentarily by Lattice Vibrations. J. Phys. Soc. Jpn. 1971, 4, 342–358. [Google Scholar] [CrossRef]
- Kuznetsova, Y.A.; Zatsepin, D.A.; Zatsepin, A.F.; Gavrilov, N.V. Energy gaps, refractive index and photon emission from point defects in copper-doped Gd2O3 nanocrystalline films. J. Alloys Compd. 2022, 904, 163872. [Google Scholar] [CrossRef]
- Tauc, J. Amorphous and Liquid Semiconductors; Plenum: New York, NY, USA, 1974. [Google Scholar]
- Mott, N.F.; Davis, E.A. Electronic Processes in Non-Crystalline Materials; Oxford University Press: Oxford, UK, 1979. [Google Scholar]
- Adam, J.; Metzger, W.; Koch, M.; Rogin, P.; Coenen, T.; Atchison, J.S.; König, P. Light emission intensities of luminescent Y2O3:Eu and Gd2O3:Eu particles of various sizes. Nanomaterials 2017, 7, 26. [Google Scholar] [CrossRef] [PubMed] [Green Version]
- Fukabori, A.; An, L.; Ito, A.; Chani, V.; Kamada, K.; Yoshikawa, A.; Ikegami, T.; Goto, T. Correlation between crystal grain sizes of transparent ceramics and scintillation light yields. Ceram. Int. 2012, 38, 2119–2123. [Google Scholar] [CrossRef]
- Novosad, S.S.; Novosad, I.S.; Bordun, O.M.; Kostyk, L.V.; Bordun, I.O.; Tuzyak, O.Y. The Influence of Europium Impurity on the Recombination Luminescence in Y2O3. Acta Phys. Pol. A 2018, 133, 806–810. [Google Scholar] [CrossRef]
- Zatsepin, A.F.; Biryukov, D.Y. The temperature behavior and mechanism of exciton luminescence in quantum dots. Phys. Chem. Chem. Phys. 2017, 19, 18721–18730. [Google Scholar] [CrossRef]
- Meng, G.; Shi, Y.; Wang, X.; Wang, W.; Wang, S.; Ji, M.; Hao, C. New insight into the ultra-long lifetime of excitons in organic–inorganic perovskite: Reverse intersystem crossing. J. Energy Chem. 2018, 27, 1496–1500. [Google Scholar] [CrossRef] [Green Version]
- Kuznetsova, Y.A.; Zatsepin, D.A.; Zatsepin, A.F.; Gavrilov, N.V. Temperature-dependent luminescence of intrinsic defects and excitons in nanocrystalline monoclinic Y2O3 films. J. Lumin. 2022, 250, 119102. [Google Scholar] [CrossRef]
- Dhananjaya, N.; Nagabhushana, H.; Nagabhushana, B.M.; Rudraswamy, B.; Shivakumara, C.; Chakradhar, R.P.S. Effect of Li+-ion on enhancement of photoluminescence in Gd2O3:Eu3+ nanophosphors prepared by combustion technique. J. Alloy. Compd. 2011, 509, 2368–2374. [Google Scholar] [CrossRef]








| Parameter | Cubic Y2O3 | Monoclinic Y2O3 |
|---|---|---|
| , eV | 5.76 ± 0.01 | 6.10 ± 0.01 |
| , meV | 217 ± 2 | 515 ± 2 |
| nm) | 2.165–1.859 | 1.621–1.532 |
| Excitation | Parameter | Cubic Y2O3 | Monoclinic Y2O3 |
|---|---|---|---|
| STE | , eV | 5.00 ± 0.02 | 4.96 ± 0.02 |
| , eV | 3.20 ± 0.02 | 3.13 ± 0.02 | |
| , μs | 116 ± 3 | 113 ± 3 | |
| , meV | 131 ± 2 | 47 ± 2 | |
| , meV | 482 ± 2 | 193 ± 2 | |
| BE | , eV | 5.00 ± 0.02 | 4.96 ± 0.02 |
| , eV | 3.00 ± 0.02 | 2.85 ± 0.02 | |
| , μs | 113 ± 3 | 129 ± 3 | |
| , meV | 189 ± 2 | 80 ± 2 | |
| , meV | 412 ± 2 | 151 ± 2 |
Publisher’s Note: MDPI stays neutral with regard to jurisdictional claims in published maps and institutional affiliations. |
© 2022 by the authors. Licensee MDPI, Basel, Switzerland. This article is an open access article distributed under the terms and conditions of the Creative Commons Attribution (CC BY) license (https://creativecommons.org/licenses/by/4.0/).
Share and Cite
Zatsepin, A.; Kuznetsova, Y.; Zatsepin, D.; Wong, C.-H.; Law, W.-C.; Tang, C.-Y.; Gavrilov, N. Exciton Luminescence and Optical Properties of Nanocrystalline Cubic Y2O3 Films Prepared by Reactive Magnetron Sputtering. Nanomaterials 2022, 12, 2726. https://doi.org/10.3390/nano12152726
Zatsepin A, Kuznetsova Y, Zatsepin D, Wong C-H, Law W-C, Tang C-Y, Gavrilov N. Exciton Luminescence and Optical Properties of Nanocrystalline Cubic Y2O3 Films Prepared by Reactive Magnetron Sputtering. Nanomaterials. 2022; 12(15):2726. https://doi.org/10.3390/nano12152726
Chicago/Turabian StyleZatsepin, Anatoly, Yulia Kuznetsova, Dmitry Zatsepin, Chi-Ho Wong, Wing-Cheung Law, Chak-Yin Tang, and Nikolay Gavrilov. 2022. "Exciton Luminescence and Optical Properties of Nanocrystalline Cubic Y2O3 Films Prepared by Reactive Magnetron Sputtering" Nanomaterials 12, no. 15: 2726. https://doi.org/10.3390/nano12152726
APA StyleZatsepin, A., Kuznetsova, Y., Zatsepin, D., Wong, C.-H., Law, W.-C., Tang, C.-Y., & Gavrilov, N. (2022). Exciton Luminescence and Optical Properties of Nanocrystalline Cubic Y2O3 Films Prepared by Reactive Magnetron Sputtering. Nanomaterials, 12(15), 2726. https://doi.org/10.3390/nano12152726

