Synthesis and Characterization of N and Fe-Doped TiO2 Nanoparticles for 2,4-Dimethylaniline Mineralization
Abstract
:1. Introduction
2. Materials and Methods
2.1. Synthesis of Photocatalysts
2.2. Photocatalysts Characterization
2.3. Photocatalytic Mineralization
3. Results and Discussion
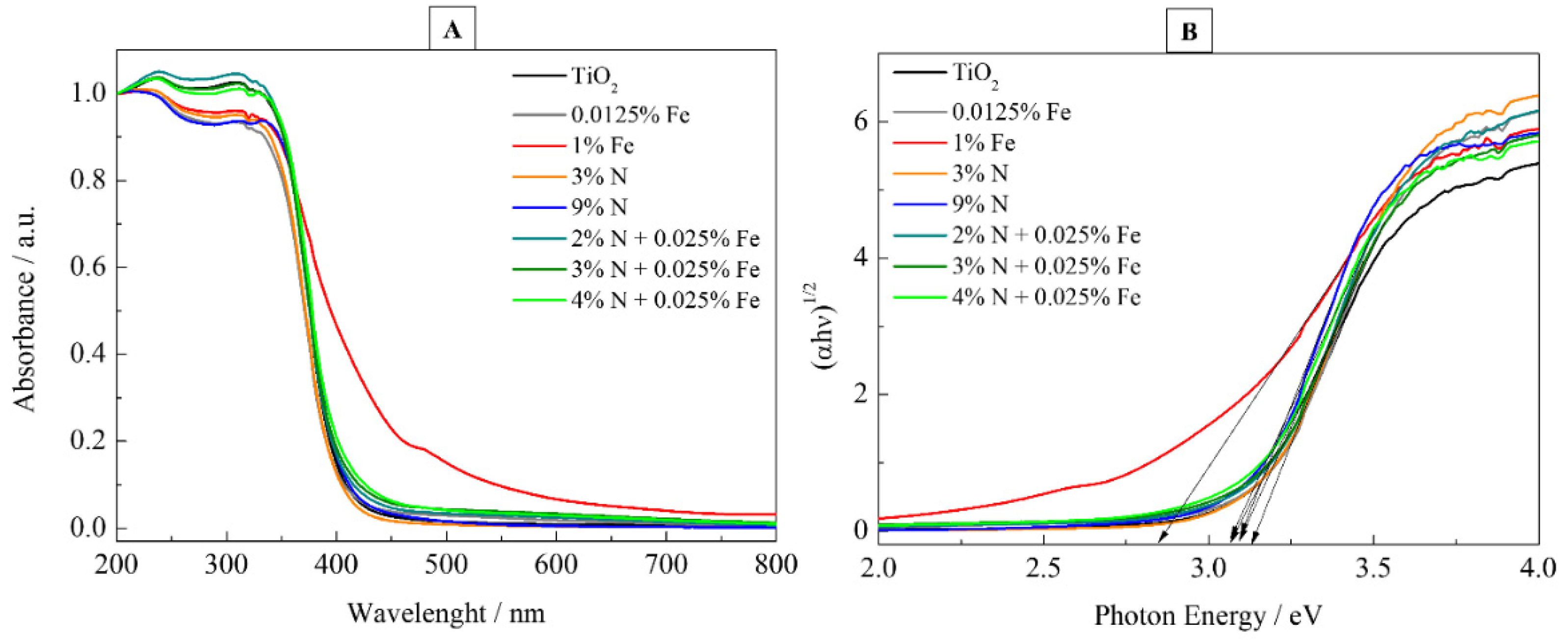
3.1. Characterization of N-, Fe-, and N-Fe Doped TiO2 Photocatalysts
3.2. Photocatalytic Activity
4. Conclusions
- Nanoparticles from 16.16 to 12.27 nm were synthesized by the sol-gel method;
- The crystalline phase was exclusively anatase with a density of 3.90 g cm−3;
- The decrease in surface area from 97.70 to 78.67 m2 g−1 was observed to have mesopores;
- Doping with Fe at the investigated concentrations promoted substitutional positions, increasing the formation of Fe-Ti bonds. For nitrogen, there was the presence of NH3/NH4+ species indicating interstitial doping;
- The 2,4-DMA mineralization was viable with high removal rates.
Supplementary Materials
Author Contributions
Funding
Data Availability Statement
Acknowledgments
Conflicts of Interest
References
- Zhang, Y.; Li, H.; Tang, Y.; Luo, P.; Yang, W.; Wu, Y.; Yang, F.; Xiong, J. Aeromonas hydrophila-derived BioMnOx activates peroxymonosulfate for 2,4-dimethylaniline degradation in water: Mechanisms and catalyst reusability. Process Saf. Environ. Prot. 2022, 158, 308–319. [Google Scholar] [CrossRef]
- Amat, A.M.; Arques, A.; Bossmann, S.H.; Braun, A.M.; Göb, S.; Miranda, M.A.; Oliveros, E. Oxidative degradation of 2,4-xylidine by photosensitization with 2,4,6-triphenylpyrylium: Homogeneous and heterogeneous catalysis. Chemosphere 2004, 57, 1123–1130. [Google Scholar] [CrossRef] [PubMed]
- Jayapal, M.; Jagadeesan, H.; Krishnasamy, V.; Shanmugam, G.; Muniyappan, V.; Chidambaram, D.; Krishnamurthy, S. Demonstration of a plant-microbe integrated system for treatment of real-time textile industry wastewater. Environ. Pollut. 2022, 302, 119009. [Google Scholar] [CrossRef] [PubMed]
- Li, J.; He, C.; Cao, X.; Sui, H.; Li, X.; He, L. Low temperature thermal desorption-chemical oxidation hybrid process for the remediation of organic contaminated model soil: A case study. J. Contam. Hydrol. 2021, 243, 103908. [Google Scholar] [CrossRef] [PubMed]
- Machulek, A.; Gogritchiani, E.; Moraes, J.E.F.; Quina, F.H.; Braun, A.M.; Oliveros, E. Kinetic and mechanistic investigation of the ozonolysis of 2,4-xylidine (2,4-dimethyl-aniline) in acidic aqueous solution. Sep. Purif. Technol. 2009, 67, 141–148. [Google Scholar] [CrossRef]
- Bossmann, S.H.; Wörner, M.; Pokhrel, M.R.; Baumeister, B.; Göb, S.; Braun, A.M. Ruthenium(II)-tris-bipyridine/titanium dioxide codoped zeolite Y photocatalyst: Performance optimization using 2,4-xylidine (1-amino-2,4-dimethyl-benzene). Sep. Purif. Technol. 2009, 67, 201–207. [Google Scholar] [CrossRef]
- Zeshan, M.; Bhatti, I.A.; Mohsin, M.; Iqbal, M.; Amjed, N.; Nisar, J.; AlMasoud, N.; Alomar, T.S. Remediation of pesticides using TiO2 based photocatalytic strategies: A review. Chemosphere 2022, 300, 134525. [Google Scholar] [CrossRef]
- Friedrich, L.C.; Mendes, M.A.; Silva, V.O.; Zanta, C.L.P.S.; Machulek, A., Jr.; Quina, F.H. Mechanistic implications of zinc(II) ions on the degradation of phenol by the fenton reaction. J. Braz. Chem. Soc. 2012, 23, 1372–1377. [Google Scholar] [CrossRef] [Green Version]
- Luna, A.J.; Chiavone-Filho, O.; Machulek, A.; de Moraes, J.E.F.; Nascimento, C.A.O. Photo-Fenton oxidation of phenol and organochlorides (2,4-DCP and 2,4-D) in aqueous alkaline medium with high chloride concentration. J. Environ. Manag. 2012, 111, 10–17. [Google Scholar] [CrossRef]
- da Rosa, A.P.P.; Cavalcante, R.P.; da Silva, D.A.; da Silva, L.D.M.; da Silva, T.F.; Gozzi, F.; McGlynn, E.; Brady-Boyd, A.; Casagrande, G.A.; Wender, H.; et al. H2O2-assisted photoelectrocatalytic degradation of Mitoxantrone using CuO nanostructured films: Identification of by-products and toxicity. Sci. Total Environ. 2019, 651, 2845–2856. [Google Scholar] [CrossRef]
- de Melo da Silva, L.; Pereira Cavalcante, R.; Fabbro Cunha, R.; Gozzi, F.; Falcao Dantas, R.; de Oliveira, S.C.; Machulek, A. Tolfenamic acid degradation by direct photolysis and the UV-ABC/H2O2 process: Factorial design, kinetics, identification of intermediates, and toxicity evaluation. Sci. Total Environ. 2016, 573, 518–531. [Google Scholar] [CrossRef] [PubMed]
- Funai, D.H.; Didier, F.; Giménez, J.; Esplugas, S.; Marco, P.; Machulek, A. Photo-Fenton treatment of valproate under UVC, UVA and simulated solar radiation. J. Hazard. Mater. 2017, 323, 537–549. [Google Scholar] [CrossRef] [PubMed]
- Popescu, T.; Oktaviani Matei, C.; Culita, D.C.; Maraloiu, V.-A.; Rostas, A.M.; Diamandescu, L.; Iacob, N.; Savopol, T.; Ilas, M.C.; Feder, M.; et al. Facile synthesis of low toxicity iron oxide/TiO2 nanocomposites with hyperthermic and photo-oxidation properties. Sci. Rep. 2022, 12, 6887. [Google Scholar] [CrossRef] [PubMed]
- Yadav, A.A.; Hunge, Y.M.; Kang, S.W. Porous nanoplate-like tungsten trioxide/reduced graphene oxide catalyst for sonocatalytic degradation and photocatalytic hydrogen production. Surf. Interfaces 2021, 24, 101075. [Google Scholar] [CrossRef]
- Guelfi, D.R.V.; Brillas, E.; Gozzi, F.; Machulek, A.; de Oliveira, S.C.; Sirés, I. Influence of electrolysis conditions on the treatment of herbicide bentazon using artificial UVA radiation and sunlight. Identification of oxidation products. J. Environ. Manag. 2019, 231, 213–221. [Google Scholar] [CrossRef]
- Guelfi, D.R.V.; Gozzi, F.; Machulek, A., Jr.; Sirés, I.; Brillas, E.; de Oliveira, S.C. Degradation of herbicide S-metolachlor by electrochemical AOPs using a boron-doped diamond anode. Catal. Today 2018, 313, 182–188. [Google Scholar] [CrossRef]
- Park, S.H.; Katoch, A.; Chae, K.H.; Gautam, S.; Miedema, P.; Cho, S.W.; Kim, M.; Wang, R.-P.; Lazemi, M.; de Groot, F.; et al. Direct and real-time observation of hole transport dynamics in anatase TiO2 using X-ray free-electron laser. Nat. Commun. 2022, 13, 2531. [Google Scholar] [CrossRef]
- Cavalcante, R.P.; Dantas, R.F.; Bayarri, B.; González, O.; Giménez, J.; Esplugas, S.; Machulek, A. Synthesis and characterization of B-doped TiO2 and their performance for the degradation of metoprolol. Catal. Today 2015, 252, 27–34. [Google Scholar] [CrossRef]
- Lee, K.M.; Lai, C.W.; Ngai, K.S.; Juan, J.C. Recent developments of zinc oxide based photocatalyst in water treatment technology: A review. Water Res. 2016, 88, 428–448. [Google Scholar] [CrossRef]
- Venkatesan, R.; Velumani, S.; Ordon, K.; Makowska-Janusik, M.; Corbel, G.; Kassiba, A. Nanostructured bismuth vanadate (BiVO4) thin films for efficient visible light photocatalysis. Mater. Chem. Phys. 2018, 205, 325–333. [Google Scholar] [CrossRef]
- Hunge, Y.M.; Yadav, A.A.; Kang, S.W.; Kim, H. Photocatalytic degradation of tetracycline antibiotics using hydrothermally synthesized two-dimensional molybdenum disulfide/titanium dioxide composites. J. Colloid Interface Sci. 2022, 606, 454–463. [Google Scholar] [CrossRef] [PubMed]
- Hunge, Y.M.; Yadav, A.A.; Khan, S.; Takagi, K.; Suzuki, N.; Teshima, K.; Terashima, C.; Fujishima, A. Photocatalytic degradation of bisphenol A using titanium dioxide@nanodiamond composites under UV light illumination. J. Colloid Interface Sci. 2021, 582, 1058–1066. [Google Scholar] [CrossRef] [PubMed]
- Ali, I.; Kim, S.-R.; Kim, S.-P.; Kim, J.-O. Anodization of bismuth doped TiO2 nanotubes composite for photocatalytic degradation of phenol in visible light. Catal. Today 2017, 282, 31–37. [Google Scholar] [CrossRef]
- Kader, S.; Al-Mamun, M.R.; Suhan, M.B.K.; Shuchi, S.B.; Islam, M.S. Enhanced photodegradation of methyl orange dye under UV irradiation using MoO3 and Ag doped TiO2 photocatalysts. Environ. Technol. Innov. 2022, 27, 102476. [Google Scholar] [CrossRef]
- Bezerra, P.; Cavalcante, R.; Garcia, A.; Wender, H.; Martines, M.; Casagrande, G.; Giménez, J.; Marco, P.; Oliveira, S.; Machulek, A., Jr. Synthesis, Characterization, and Photocatalytic Activity of Pure and N-, B-, or Ag- Doped TiO2. J. Braz. Chem. Soc. 2017, 28, 1788–1802. [Google Scholar] [CrossRef]
- Zeng, L.; Lu, Z.; Li, M.; Yang, J.; Song, W.; Zeng, D.; Xie, C. A modular calcination method to prepare modified N-doped TiO2 nanoparticle with high photocatalytic activity. Appl. Catal. B Environ. 2016, 183, 308–316. [Google Scholar] [CrossRef]
- Li, T.; Abdelhaleem, A.; Chu, W.; Pu, S.; Qi, F.; Zou, J. S-doped TiO2 photocatalyst for visible LED mediated oxone activation: Kinetics and mechanism study for the photocatalytic degradation of pyrimethanil fungicide. Chem. Eng. J. 2021, 411, 128450. [Google Scholar] [CrossRef]
- Lee, B.T.; Han, J.K.; Gain, A.K.; Lee, K.H.; Saito, F. TEM microstructure characterization of nano TiO2 coated on nano ZrO2 powders and their photocatalytic activity. Mater. Lett. 2006, 60, 2101–2104. [Google Scholar] [CrossRef]
- Wafi, M.A.E.; Ahmed, M.A.; Abdel-Samad, H.S.; Medien, H.A.A. Exceptional removal of methylene blue and p-aminophenol dye over novel TiO2/RGO nanocomposites by tandem adsorption-photocatalytic processes. Mater. Sci. Energy Technol. 2022, 5, 217–231. [Google Scholar] [CrossRef]
- Toe, E.D.; Kurniawan, W.; Mariquit, E.G.; Hinode, H. Synthesis of N-doped mesoporous TiO2 by facile one-step solvothermal process for visible light photocatalytic degradation of organic pollutant. J. Environ. Chem. Eng. 2018, 6, 5125–5134. [Google Scholar] [CrossRef]
- da Silva, A.L.; Trindade, F.J.; Dalmasso, J.L.; Ramos, B.; Teixeira, A.C.S.C.; Gouvêa, D. Synthesis of TiO2 microspheres by ultrasonic spray pyrolysis and photocatalytic activity evaluation. Ceram. Int. 2022, 48, 9739–9745. [Google Scholar] [CrossRef]
- Jadhav, P.S.; Jadhav, T.; Bhosale, M.; Jadhav, C.H.; Pawar, V.C. Structural and optical properties of N-doped TiO2 nanomaterials. Mater. Today Proc. 2021, 43, 2763–2767. [Google Scholar] [CrossRef]
- Huang, L.; Fu, W.; Fu, X.; Zong, B.; Liu, H.; Bala, H.; Wang, X.; Sun, G.; Cao, J.; Zhang, Z. Facile and large-scale preparation of N doped TiO2 photocatalyst with high visible light photocatalytic activity. Mater. Lett. 2017, 209, 585–588. [Google Scholar] [CrossRef]
- Yalçin, Y.; Kiliç, M.; Çinar, Z. Fe+3-doped TiO2: A combined experimental and computational approach to the evaluation of visible light activity. Appl. Catal. B Environ. 2010, 99, 469–477. [Google Scholar] [CrossRef]
- da Silva, T.F.; Cavalcante, R.P.; Guelfi, D.R.V.; de Oliveira, S.C.; Casagrande, G.A.; Caires, A.R.L.; de Oliveira, F.F.; Gubiani, J.R.; Cardoso, J.C.; Machulek, A. Photo-anodes based on B-doped TiO2 for photoelectrocatalytic degradation of propyphenazone: Identification of intermediates, and acute toxicity evaluation. J. Environ. Chem. Eng. 2022, 10, 107212. [Google Scholar] [CrossRef]
- Ramos, D.D.; Bezerra, P.C.S.; Quina, F.H.; Dantas, R.F.; Casagrande, G.A.; Oliveira, S.C.; Oliveira, M.R.S.; Oliveira, L.C.S.; Ferreira, V.S.; Oliveira, S.L.; et al. Synthesis and characterization of TiO2 and TiO2/Ag for use in photodegradation of methylviologen, with kinetic study by laser flash photolysis. Environ. Sci. Pollut. Res. 2015, 22, 774–783. [Google Scholar] [CrossRef]
- Li, D.; Meng, Y.; Li, J.; Song, Y.; Xu, F. TiO2/carbonaceous nanocomposite from titanium-alginate coordination compound. Carbohydr. Polym. 2022, 288, 119400. [Google Scholar] [CrossRef]
- Mancuso, A.; Sacco, O.; Sannino, D.; Pragliola, S.; Vaiano, V. Enhanced visible-light-driven photodegradation of Acid Orange 7 azo dye in aqueous solution using Fe-N co-doped TiO2. Arab. J. Chem. 2020, 13, 8347–8360. [Google Scholar] [CrossRef]
- Adán, C.; Bahamonde, A.; Fernández-García, M.; Martínez-Arias, A. Structure and activity of nanosized iron-doped anatase TiO2 catalysts for phenol photocatalytic degradation. Appl. Catal. B Environ. 2007, 72, 11–17. [Google Scholar] [CrossRef]
- Khatibnezhad, H.; Ambriz-Vargas, F.; Ben Ettouil, F.; Moreau, C. Role of phase content on the photocatalytic performance of TiO2 coatings deposited by suspension plasma spray. J. Eur. Ceram. Soc. 2022, 42, 2905–2920. [Google Scholar] [CrossRef]
- Kanjana, N.; Maiaugree, W.; Poolcharuansin, P.; Laokul, P. Synthesis and characterization of Fe-doped TiO2 hollow spheres for dye-sensitized solar cell applications. Mater. Sci. Eng. B 2021, 271, 115311. [Google Scholar] [CrossRef]
- Farhangi, N.; Ayissi, S.; Charpentier, P.A. Fe doped TiO2-graphene nanostructures: Synthesis, DFT modeling and photocatalysis. Nanotechnology 2014, 25, 305601. [Google Scholar] [CrossRef] [PubMed]
- Devi, L.G.; Kavitha, R. A review on non metal ion doped titania for the photocatalytic degradation of organic pollutants under UV/solar light: Role of photogenerated charge carrier dynamics in enhancing the activity. Appl. Catal. B Environ. 2013, 140–141, 559–587. [Google Scholar] [CrossRef]
- He, H.; Sun, D.; Zhang, Q.; Fu, F.; Tang, Y.; Guo, J.; Shao, M.; Wang, H. Iron-Doped Cauliflower-Like Rutile TiO2 with Superior Sodium Storage Properties. ACS Appl. Mater. Interfaces 2017, 9, 6093–6103. [Google Scholar] [CrossRef] [PubMed]
- Zheng, X.; Li, Y.; You, W.; Lei, G.; Cao, Y.; Zhang, Y.; Jiang, L. Construction of Fe-doped TiO2−x ultrathin nanosheets with rich oxygen vacancies for highly efficient oxidation of H2S. Chem. Eng. J. 2022, 430, 132917. [Google Scholar] [CrossRef]
- Chen, J.; Ding, Z.; Wang, C.; Hou, H.; Zhang, Y.; Wang, C.; Zou, G.; Ji, X. Black Anatase Titania with Ultrafast Sodium-Storage Performances Stimulated by Oxygen Vacancies. ACS Appl. Mater. Interfaces 2016, 8, 9142–9151. [Google Scholar] [CrossRef]
- Rauf, M.A.; Meetani, M.A.; Hisaindee, S. An overview on the photocatalytic degradation of azo dyes in the presence of TiO2 doped with selective transition metals. Desalination 2011, 276, 13–27. [Google Scholar] [CrossRef]
- Liu, G.; Hua, G.Y.; Wang, X.; Cheng, L.; Pan, J.; Gao, Q.L.; Cheng, H.M. Visible light responsive nitrogen doped anatase TiO2 sheets with dominant {001} facets derived from TiN. J. Am. Chem. Soc. 2009, 131, 12868–12869. [Google Scholar] [CrossRef]
- Zhao, Y.; Zhu, L.; Yu, Y.; Gao, F.; Wang, W.; Chen, D.; Zhao, X. Facile one-pot preparation of Ti3+, N co-doping TiO2 nanotube arrays and enhanced photodegradation activities by tuning tube lengths and diameters. Catal. Today 2020, 355, 563–572. [Google Scholar] [CrossRef]
- Barkhade, T.; Banerjee, I. Optical Properties of Fe doped TiO2 Nanocomposites Synthesized by Sol-Gel Technique. Mater. Today Proc. 2019, 18, 1204–1209. [Google Scholar] [CrossRef]
- Calza, P.; Minella, M.; Demarchis, L.; Sordello, F.; Minero, C. Photocatalytic rate dependence on light absorption properties of different TiO2 specimens. Catal. Today 2020, 340, 12–18. [Google Scholar] [CrossRef] [Green Version]
- Moradi, V.; Ahmed, F.; Jun, M.B.G.; Blackburn, A.; Herring, R.A. Acid-treated Fe-doped TiO2 as a high performance photocatalyst used for degradation of phenol under visible light irradiation. J. Environ. Sci. 2019, 83, 183–194. [Google Scholar] [CrossRef] [PubMed]
- Ramírez-Sánchez, I.M.; Bandala, E.R. Photocatalytic Degradation of Estriol Using Iron-Doped TiO2 under High and Low UV Irradiation. Catalysts 2018, 8, 625. [Google Scholar] [CrossRef] [Green Version]
- Yuan, R.; Wang, S.; Liu, D.; Shao, X.; Zhou, B. Effect of the wavelength on the pathways of 2-MIB and geosmin photocatalytic oxidation in the presence of Fe-N co-doped TiO2. Chem. Eng. J. 2018, 353, 319–328. [Google Scholar] [CrossRef]
- Sukhadeve, G.K.; Janbandhu, S.Y.; Kumar, R.; Lataye, D.H.; Ramteke, D.D.; Gedam, R.S. Visible light assisted photocatalytic degradation of Indigo Carmine dye and NO2 removal by Fe doped TiO2 nanoparticles. Ceram. Int. 2022. [Google Scholar] [CrossRef]
- Triantis, T.M.; Fotiou, T.; Kaloudis, T.; Kontos, A.G.; Falaras, P.; Dionysiou, D.D.; Pelaez, M.; Hiskia, A. Photocatalytic degradation and mineralization of microcystin-LR under UV-A, solar and visible light using nanostructured nitrogen doped TiO2. J. Hazard. Mater. 2012, 211–212, 196–202. [Google Scholar] [CrossRef]
- Ma, J.; Wang, K.; Wang, C.; Chen, X.; Zhu, W.; Zhu, G.; Yao, W.; Zhu, Y. Photocatalysis-self-Fenton system with high-fluent degradation and high mineralization ability. Appl. Catal. B Environ. 2020, 276, 119150. [Google Scholar] [CrossRef]
- Liu, Y.; Zhu, Y.; Xu, J.; Bai, X.; Zong, R.; Zhu, Y. Degradation and mineralization mechanism of phenol by BiPO4 photocatalysis assisted with H2O2. Appl. Catal. B Environ. 2013, 142–143, 561–567. [Google Scholar] [CrossRef]
- Guo, D.; Wang, Y.; Chen, C.; He, J.; Zhu, M.; Chen, J.; Zhang, C. A multi-structural carbon nitride co-modified by Co, S to dramatically enhance mineralization of Bisphenol f in the photocatalysis-PMS oxidation coupling system. Chem. Eng. J. 2021, 422, 130035. [Google Scholar] [CrossRef]
- Zeng, Z.; Ye, F.; Deng, S.; Fang, D.; Wang, X.; Bai, Y.; Xiao, H. Accelerated organic pollutants mineralization in interlayer confined single Pt atom photocatalyst for hydrogen recovery. Chem. Eng. J. 2022, 444, 136561. [Google Scholar] [CrossRef]









| Photocatalysts | SBET (m2 g−1) | DP (nm) | VP (cm3 g−1) |
|---|---|---|---|
| TiO2 | 78.67 ± 1.50 | 9.73 | 0.19 |
| TiO2 + 0.0125%Fe | 84.73 ± 1.47 | 9.68 | 0.20 |
| TiO2 + 3%N | 95.70 ± 1.38 | 9.04 | 0.22 |
| Photocatalysts | Composition Ti | Binding Energies/eV Ti 2p1/2 | Binding Energies/eV Ti 2p3/2 | Contribution/ % |
|---|---|---|---|---|
| TiO2 | Ti4+ | 464.30 | 458.58 | 96.84 |
| Ti3+ | 462.80 | 457.08 | 03.16 | |
| 0.0125% Fe | Ti4+ | 464.30 | 458.58 | 94.20 |
| Ti3+ | 462.80 | 457.08 | 05.80 | |
| 3% N | Ti4+ | 464.31 | 458.59 | 97.64 |
| Ti3+ | 462.81 | 457.09 | 07.38 |
| Photocatalysts | Ebg/eV |
|---|---|
| TiO2 | 3.16 |
| TiO2 + 0.0125%Fe | 3.08 |
| TiO2 + 1%Fe | 2.82 |
| TiO2 + 3%N | 3.14 |
| TiO2 + 9%N | 3.07 |
| 3% N + 0.025% Fe | 3.05 |
| 4% N + 0.025% Fe | 3.06 |
| Photocatalysts | % Dopant (w/w) | Mineralization Rate (%) | Pseudo-First-Order Constant | ||
|---|---|---|---|---|---|
| in 240 min | in 360 min | k2,4-DMA | R2 | ||
| Photolysis | - | 0 | 4 | 0.0001 | 0.961 |
| TiO2 | 0 | 65 | 78 | 0.004 | 0.983 |
| TiO2 + N | 1 | 57 | 72 | 0.003 | 0.993 |
| 2 | 64 | 83 | 0.004 | 0.988 | |
| 3 | 81 | 100 | 0.007 | 0.989 | |
| 4 | 64 | 100 | 0.006 | 0.989 | |
| 5 | 55 | 93 | 0.006 | 0.983 | |
| 6 | 53 | 69 | 0.003 | 0.991 | |
| 7 | 62 | 70 | 0.004 | 0.990 | |
| 9 | 28 | 38 | 0.002 | 0.999 | |
| TiO2 + Fe | 0.0125 | 100 | 100 | 0.010 | 0.992 |
| 0.025 | 100 | 100 | 0.010 | 0.980 | |
| 0.05 | 80 | 100 | 0.010 | 0.994 | |
| 0.1 | 55 | 80 | 0.004 | 0.990 | |
| 0.25 | 63 | 72 | 0.004 | 0.983 | |
| 1 | 62 | 70 | 0.004 | 0.990 | |
| TiO2 + %N + 0.025 Fe | 3 | 31 | 39 | 0.002 | 0.997 |
| 4 | 48 | 52 | 0.002 | 0.992 | |
| Photocatalyst | Experimental Conditions | Model Molecule | Mineralization | Ref | |||
|---|---|---|---|---|---|---|---|
| Mass/mg | Volume/mL | Light Source | Analysis Time/h | ||||
| 0.0125% Fe TiO2 | 175 | 350 | UV-A | 4 | 12 ppm 2,4-DMA | 100% | Present study |
| 2 mol% Fe-TiO2 | 50 | 100 | 100 W fluorescent bulb | 1 | 10 ppm Indigo Carmine | 68% | [55] |
| N-TiO2 | 1 | 5 | UV-A/solar/UV-vis | 8 | Microcystin-LR | 80% | [56] |
| gC3N4 | 30 | 30 | Visible-light irradiation | 3 | 20 ppm 2,4-dichlorophenol | 15.2% | [57] |
| BiPO4 + H2O2 | 50 | 100 | 11 W low pressure lamp (λ = 254 nm) | 2 | phenol | 40% | [58] |
| pg-C3N4/Co3O4/CoS | 5 | 50 | 500 W xenon lamp | 2 | 30 ppm Bisphenol F | 51.9% | [59] |
| PtSA/g-C3N4 | 25 | 100 | Xenon light | 4 | 10 ppm p-chlorophenol | 70% | [60] |
Publisher’s Note: MDPI stays neutral with regard to jurisdictional claims in published maps and institutional affiliations. |
© 2022 by the authors. Licensee MDPI, Basel, Switzerland. This article is an open access article distributed under the terms and conditions of the Creative Commons Attribution (CC BY) license (https://creativecommons.org/licenses/by/4.0/).
Share and Cite
Faustino, E.; da Silva, T.F.; Cunha, R.F.; Guelfi, D.R.V.; Cavalheri, P.S.; de Oliveira, S.C.; Caires, A.R.L.; Casagrande, G.A.; Cavalcante, R.P.; Junior, A.M. Synthesis and Characterization of N and Fe-Doped TiO2 Nanoparticles for 2,4-Dimethylaniline Mineralization. Nanomaterials 2022, 12, 2538. https://doi.org/10.3390/nano12152538
Faustino E, da Silva TF, Cunha RF, Guelfi DRV, Cavalheri PS, de Oliveira SC, Caires ARL, Casagrande GA, Cavalcante RP, Junior AM. Synthesis and Characterization of N and Fe-Doped TiO2 Nanoparticles for 2,4-Dimethylaniline Mineralization. Nanomaterials. 2022; 12(15):2538. https://doi.org/10.3390/nano12152538
Chicago/Turabian StyleFaustino, Emerson, Thalita Ferreira da Silva, Rebeca Fabbro Cunha, Diego Roberto Vieira Guelfi, Priscila Sabioni Cavalheri, Silvio César de Oliveira, Anderson Rodrigues Lima Caires, Gleison Antonio Casagrande, Rodrigo Pereira Cavalcante, and Amilcar Machulek Junior. 2022. "Synthesis and Characterization of N and Fe-Doped TiO2 Nanoparticles for 2,4-Dimethylaniline Mineralization" Nanomaterials 12, no. 15: 2538. https://doi.org/10.3390/nano12152538
APA StyleFaustino, E., da Silva, T. F., Cunha, R. F., Guelfi, D. R. V., Cavalheri, P. S., de Oliveira, S. C., Caires, A. R. L., Casagrande, G. A., Cavalcante, R. P., & Junior, A. M. (2022). Synthesis and Characterization of N and Fe-Doped TiO2 Nanoparticles for 2,4-Dimethylaniline Mineralization. Nanomaterials, 12(15), 2538. https://doi.org/10.3390/nano12152538

