Atomistic Investigation of the Titanium Carbide MXenes under Impact Loading
Abstract
:1. Introduction
2. Materials and Methods
3. Results and Discussion
3.1. Deformation Characteristics
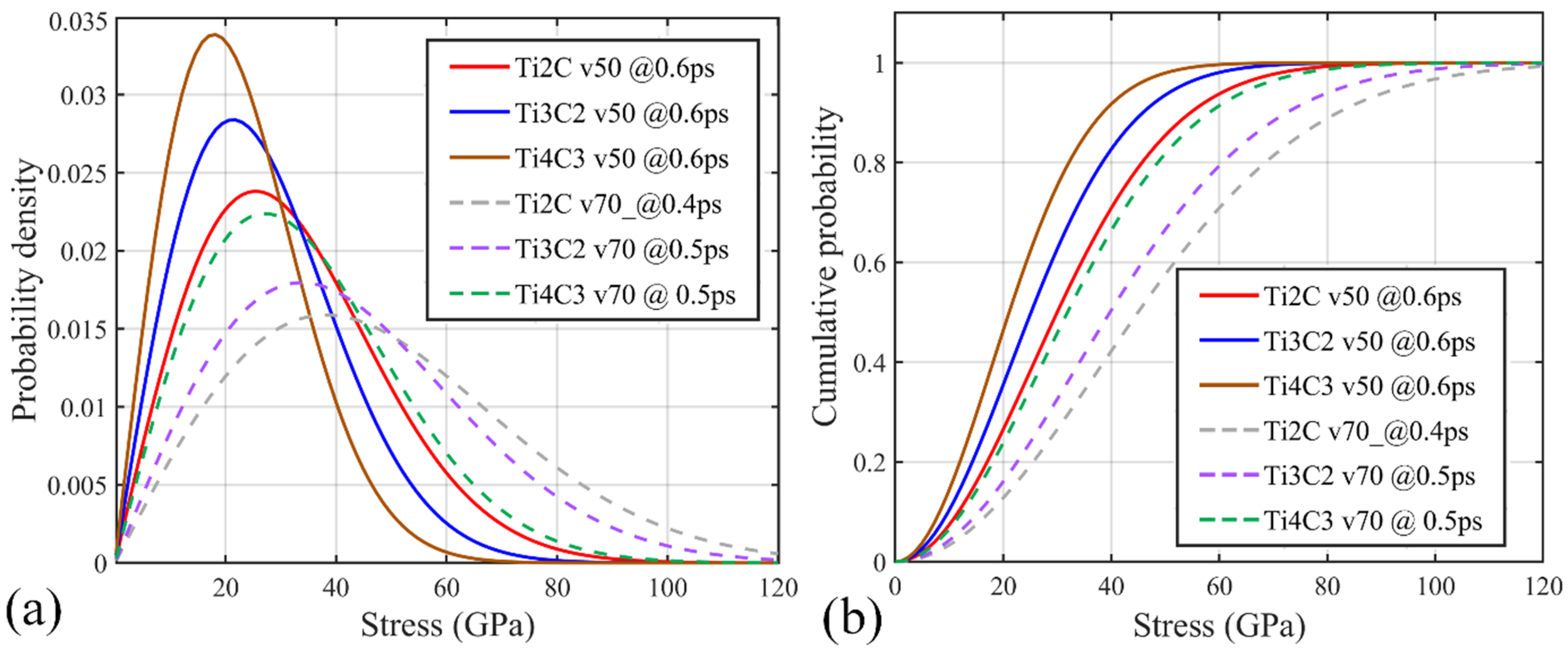
3.2. Stress Distribution and Propogation
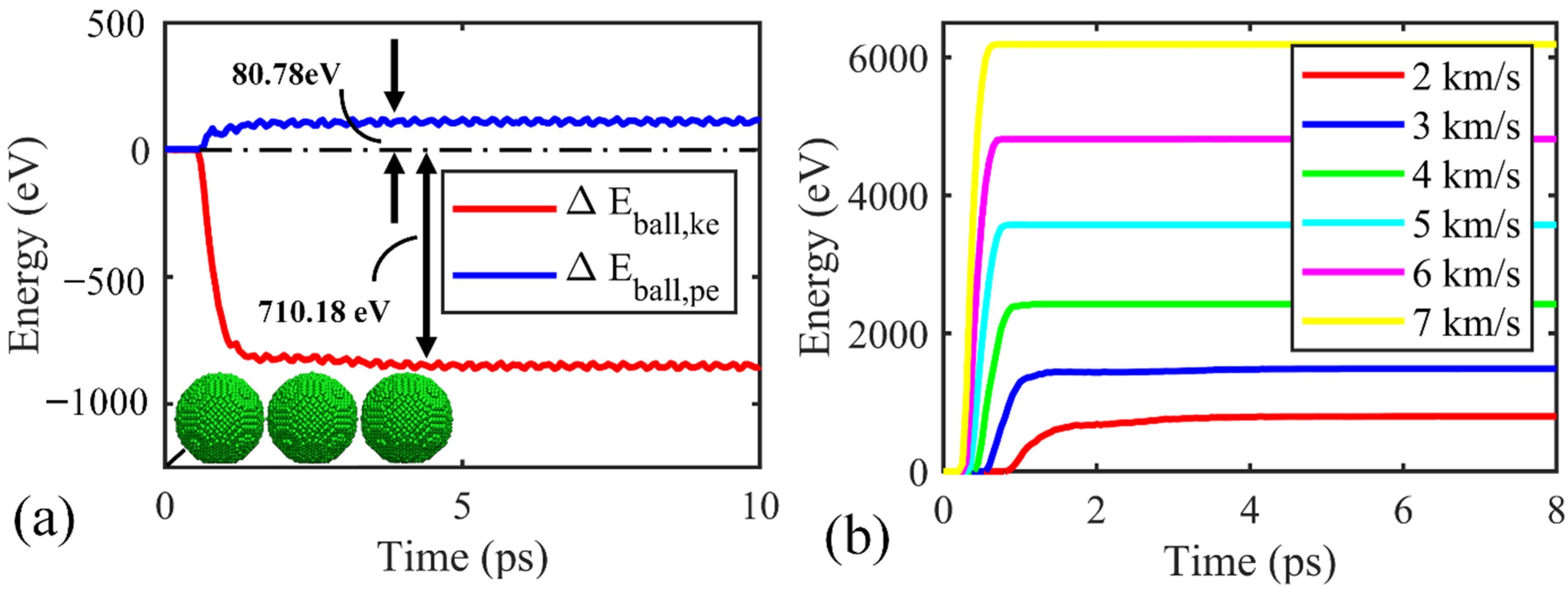
3.3. Impact Resistance Evaluation
4. Conclusions
Author Contributions
Funding
Institutional Review Board Statement
Informed Consent Statement
Data Availability Statement
Acknowledgments
Conflicts of Interest
References
- Fu, Z.H.; Zhang, Q.F.; Legut, D.; Si, C.; Germann, T.C.; Lookman, T.; Du, S.Y.; Francisco, J.S.; Zhang, R.F. Stabilization and strengthening effects of functional groups in two-dimensional titanium carbide. Phys. Rev. B 2016, 94, 104103. [Google Scholar] [CrossRef]
- Naguib, M.; Kurtoglu, M.; Presser, V.; Lu, J.; Niu, J.; Heon, M.; Hultman, L.; Gogotsi, Y.; Barsoum, M.W. Two-dimensional nanocrystals produced by exfoliation of Ti3 AlC2. Adv. Mater. 2011, 23, 4248–4253. [Google Scholar] [CrossRef] [PubMed] [Green Version]
- Zhong, Y.; Xia, X.; Shi, F.; Zhan, J.; Tu, J.; Fan, H.J. Transition Metal Carbides and Nitrides in Energy Storage and Conversion. Adv. Sci. 2016, 3, 1500286. [Google Scholar] [CrossRef] [PubMed]
- Kurtoglu, M.; Naguib, M.; Gogotsi, Y.; Barsoum, M.W. First principles study of two-dimensional early transition metal carbides. MRS Commun. 2012, 2, 133–137. [Google Scholar] [CrossRef]
- Borysiuk, V.N.; Mochalin, V.N.; Gogotsi, Y. Bending rigidity of two-dimensional titanium carbide (MXene) nanoribbons: A molecular dynamics study. Comput. Mater. Sci. 2018, 143, 418–424. [Google Scholar] [CrossRef]
- Hatam-Lee, S.M.; Esfandiar, A.; Rajabpour, A. Mechanical behaviors of titanium nitride and carbide MXenes: A molecular dynamics study. Appl. Surf. Sci. 2021, 566, 150633. [Google Scholar] [CrossRef]
- Li, Z.-K.; Liu, Y.; Li, L.; Wei, Y.; Caro, J.; Wang, H. Ultra-thin titanium carbide (MXene) sheet membranes for high-efficient oil/water emulsions separation. J. Membr. Sci. 2019, 592, 117361. [Google Scholar] [CrossRef]
- Lei, Y.; Zhao, W.; Zhang, Y.; Jiang, Q.; He, J.H.; Baeumner, A.J.; Wolfbeis, O.S.; Wang, Z.L.; Salama, K.N.; Alshareef, H.N. A MXene-Based Wearable Biosensor System for High-Performance In Vitro Perspiration Analysis. Small 2019, 15, e1901190. [Google Scholar] [CrossRef] [Green Version]
- Fan, Y.; Li, L.; Zhang, Y.; Zhang, X.; Geng, D.; Hu, W. Recent Advances in Growth of Transition Metal Carbides and Nitrides (MXenes) Crystals. Adv. Funct. 2022, 32, 2111357. [Google Scholar] [CrossRef]
- Borysiuk, V.N.; Mochalin, V.N.; Gogotsi, Y. Molecular dynamic study of the mechanical properties of two-dimensional titanium carbides Tin+1Cn (MXenes). Nanotechnology 2015, 26, 265705. [Google Scholar] [CrossRef] [Green Version]
- Abraham, B.M.; Parey, V.; Singh, J.K. A strategic review of MXenes as emergent building blocks for future two-dimensional materials: Recent progress and perspectives. J. Mater. Chem. C 2022, 10, 4096–4123. [Google Scholar] [CrossRef]
- Chu, K.; Wang, F.; Wang, X.-H.; Li, Y.-B.; Geng, Z.-R.; Huang, D.-J.; Zhang, H. Interface design of graphene/copper composites by matrix alloying with titanium. Mater. Des. 2018, 144, 290–303. [Google Scholar] [CrossRef]
- Liu, X.; Wang, F.; Wang, W.; Wu, H. Interfacial strengthening and self-healing effect in graphene-copper nanolayered composites under shear deformation. Carbon 2016, 107, 680–688. [Google Scholar] [CrossRef]
- Liu, X.Y.; Wang, F.C.; Wu, H.A.; Wang, W.Q. Strengthening metal nanolaminates under shock compression through dual effect of strong and weak graphene interface. Appl. Phys. Lett. 2014, 104, 231901. [Google Scholar] [CrossRef]
- Steve, P. Fast parallel algorithms for short-range molecular dynamics. J. Comput. Phys. 1995, 117, 1–19. [Google Scholar]
- Xia, K.; Zhan, H.; Ji, A.; Shao, J.; Gu, Y.; Li, Z. Graphynes: An alternative lightweight solution for shock protection. Beilstein J. Nanotechnol. 2019, 10, 1588–1595. [Google Scholar] [CrossRef] [Green Version]
- Xia, K.; Zhan, H.; Hu, D.; Gu, Y. Failure mechanism of monolayer graphene under hypervelocity impact of spherical projectile. Sci. Rep. 2016, 6, 33139. [Google Scholar] [CrossRef]
- Haque, B.Z.G.; Chowdhury, S.C.; Gillespie, J.W. Molecular simulations of stress wave propagation and perforation of graphene sheets under transverse impact. Carbon 2016, 102, 126–140. [Google Scholar] [CrossRef]
- Jain, A.; Ong, S.P.; Hautier, G.; Chen, W.; Richards, W.D.; Dacek, S.; Cholia, S.; Gunter, D.; Skinner, D.; Ceder, G.; et al. The Materials Project: A materials genome approach to accelerating materials innovation. APL Mater. 2013, 1, 011002. [Google Scholar] [CrossRef] [Green Version]
- Lee, J.-H.; Loya, P.E.; Lou, J.; Thomas, E.L. Dynamic mechanical behavior of multilayer graphene via supersonic projectile penetration. Science 2014, 346, 1092–1096. [Google Scholar] [CrossRef]
- Yoon, K.; Ostadhossein, A.; van Duin, A.C.T. Atomistic-scale simulations of the chemomechanical behavior of graphene under nanoprojectile impact. Carbon 2016, 99, 58–64. [Google Scholar] [CrossRef] [Green Version]
- Fonseca, A.F.; Liang, T.; Zhang, D.; Choudhary, K.; Phillpot, S.R.; Sinnott, S.B. Graphene-Titanium Interfaces from Molecular Dynamics Simulations. ACS Appl. Mater. Interfaces 2017, 9, 33288–33297. [Google Scholar] [CrossRef] [PubMed]
- Zhang, D.; Fonseca, A.F.; Liang, T.; Phillpot, S.R.; Sinnott, S.B. Dynamics of graphene/Al interfaces using COMB3 potentials. Phys. Rev. Mater. 2019, 3, 114002. [Google Scholar] [CrossRef] [Green Version]
- Jiang, T.; Zhang, X.; Vishwanath, S.; Mu, X.; Kanzyuba, V.; Sokolov, D.A.; Ptasinska, S.; Go, D.B.; Xing, H.G.; Luo, T. Covalent bonding modulated graphene-metal interfacial thermal transport. Nanoscale 2016, 8, 10993–11001. [Google Scholar] [CrossRef] [PubMed]
- Cingolani, J.S.; Deimel, M.; Köcher, S.; Scheurer, C.; Reuter, K.; Andersen, M. Interace between graphene and liquid Cu from molecular dynamics simulations. J. Chem. Phys. 2020, 153, 074702. [Google Scholar] [CrossRef] [PubMed]
- Lin, F.; Xiang, Y.; Shen, H.S. Tunable Positive/Negative Young’s Modulus in Graphene-Based Metamaterials. Adv. Theory Simul. 2021, 4, 2000130. [Google Scholar] [CrossRef]
- Sha, Z.; Branicio, P.; Pei, Q.; Sorkin, V.; Zhang, Y. A modified Tersoff potential for pure and hydrogenated diamond-like carbon. Comput. Mater. Sci. 2013, 67, 146–150. [Google Scholar] [CrossRef]
- Chen, X.; Lu, S.; Zhao, Y.; Fu, T.; Huang, C.; Peng, X. Molecular dynamic simulation on nano-indentation of NiTi SMA. Mater. Sci. Eng. A 2018, 712, 592–602. [Google Scholar] [CrossRef]
- Song, Z.; Tang, X.; Chen, X.; Fu, T.; Zheng, H.; Lu, S. Nano-indentation and nano-scratching of pure nickel and NiTi shape memory alloy thin films: An atomic-scale simulation. Thin Solid Film. 2021, 736, 138906. [Google Scholar] [CrossRef]
- Mylvaganam, K.; Zhang, L. Ballistic resistance capacity of carbon nanotubes. Nanotechnology 2007, 18, 475701. [Google Scholar] [CrossRef] [Green Version]
- Otieno, T.; Abou-El-Hossein, K. Molecular dynamics analysis of nanomachining of rapidly solidified aluminium. Int. J. Adv. Manuf. Tech. 2017, 94, 121–131. [Google Scholar] [CrossRef]
- Poletaev, G.M.; Zorya, I.V.; Rakitin, R.Y.; Iliina, M.A. Interatomic potentials for describing impurity atoms of light elements in fcc metals. Mater. Phys. Mech. 2019, 42, 380–388. [Google Scholar]
- Hoover, W.G. Canonical dynamics: Equilibrium phase-space distributions. Phys. Rev. A 1985, 31, 1695. [Google Scholar] [CrossRef] [PubMed] [Green Version]
- Verlet, L. Computer “experiments” on classical fluids. I. Thermodynamical properties of Lennard-Jones molecules. Phys. Rev. 1967, 159, 98. [Google Scholar] [CrossRef]
- Zhao, H.; Aluru, N.R. Temperature and strain-rate dependent fracture strength of graphene. J. Appl. Phys. 2010, 108, 064321. [Google Scholar] [CrossRef] [Green Version]
- Yi, L.; Yin, Z.; Zhang, Y.; Chang, T. A theoretical evaluation of the temperature and strain-rate dependent fracture strength of tilt grain boundaries in graphene. Carbon 2013, 51, 373–380. [Google Scholar] [CrossRef]
- Diao, J.; Gall, K.; Dunn, M.L. Atomistic simulation of the structure and elastic properties of gold nanowires. J. Mech. Phys. Solids 2004, 52, 1935–1962. [Google Scholar] [CrossRef]
- Yin, H.; Qi, H.J.; Fan, F.; Zhu, T.; Wang, B.; Wei, Y. Griffith Criterion for Brittle Fracture in Graphene. Nano Lett. 2015, 15, 1918–1924. [Google Scholar] [CrossRef] [Green Version]
- Xia, K.; Zhan, H.; Zhang, X.; Li, Z. Graphdiyne family-tunable solution to shock resistance. Mater. Res. Express 2020, 7, 115602. [Google Scholar] [CrossRef]
- Guo, Z.; Zhou, J.; Si, C.; Sun, Z. Flexible two-dimensional Tin+1Cn (n = 1, 2 and 3) and their functionalized MXenes predicted by density functional theories. Phys. Chem. Chem. Phys. 2015, 17, 15348–15354. [Google Scholar] [CrossRef]
- Chakraborty, P.; Das, T.; Nafday, D.; Boeri, L.; Saha-Dasgupta, T. Manipulating the mechanical properties of Ti2C MXene: Effect of substitutional doping. Phys. Rev. B 2017, 95, 184106. [Google Scholar] [CrossRef]
- Zhang, P.; Ma, L.; Fan, F.; Zeng, Z.; Peng, C.; Loya, P.E.; Liu, Z.; Gong, Y.; Zhang, J.; Zhang, X. Fracture toughness of graphene. Nat. Commun. 2014, 5, 3782. [Google Scholar] [CrossRef] [PubMed] [Green Version]
- Zhang, N.; Hong, Y.; Yazdanparast, S.; Zaeem, M.A. Superior Structural, Elastic and Electronic Properties of 2D Titanium Nitride MXenes Over Carbide MXenes: A Comprehensive First Principles Study. 2D Mater. 2018, 5, 045004. [Google Scholar] [CrossRef] [Green Version]
- Hernandez, S.A.; Fonseca, A.F. Anisotropic elastic modulus, high Poisson’s ratio and negative thermal expansion of graphynes and graphdiynes. Diam. Relat. Mater. 2017, 77, 57–64. [Google Scholar] [CrossRef] [Green Version]
- Zhang, Y.; Pei, Q.; Wang, C. Mechanical properties of graphynes under tension: A molecular dynamics study. Appl. Phys. Lett. 2012, 101, 081909. [Google Scholar] [CrossRef] [Green Version]








Publisher’s Note: MDPI stays neutral with regard to jurisdictional claims in published maps and institutional affiliations. |
© 2022 by the authors. Licensee MDPI, Basel, Switzerland. This article is an open access article distributed under the terms and conditions of the Creative Commons Attribution (CC BY) license (https://creativecommons.org/licenses/by/4.0/).
Share and Cite
Xia, K.; Zhan, H.; Zhang, X.; Li, Z. Atomistic Investigation of the Titanium Carbide MXenes under Impact Loading. Nanomaterials 2022, 12, 2456. https://doi.org/10.3390/nano12142456
Xia K, Zhan H, Zhang X, Li Z. Atomistic Investigation of the Titanium Carbide MXenes under Impact Loading. Nanomaterials. 2022; 12(14):2456. https://doi.org/10.3390/nano12142456
Chicago/Turabian StyleXia, Kang, Haifei Zhan, Xinjie Zhang, and Zhiyong Li. 2022. "Atomistic Investigation of the Titanium Carbide MXenes under Impact Loading" Nanomaterials 12, no. 14: 2456. https://doi.org/10.3390/nano12142456
APA StyleXia, K., Zhan, H., Zhang, X., & Li, Z. (2022). Atomistic Investigation of the Titanium Carbide MXenes under Impact Loading. Nanomaterials, 12(14), 2456. https://doi.org/10.3390/nano12142456

