Efficient Excitation and Tuning of Multi-Fano Resonances with High Q-Factor in All-Dielectric Metasurfaces
Abstract
:1. Introduction
2. Materials and Methods
3. Theory
4. Results and Discussion
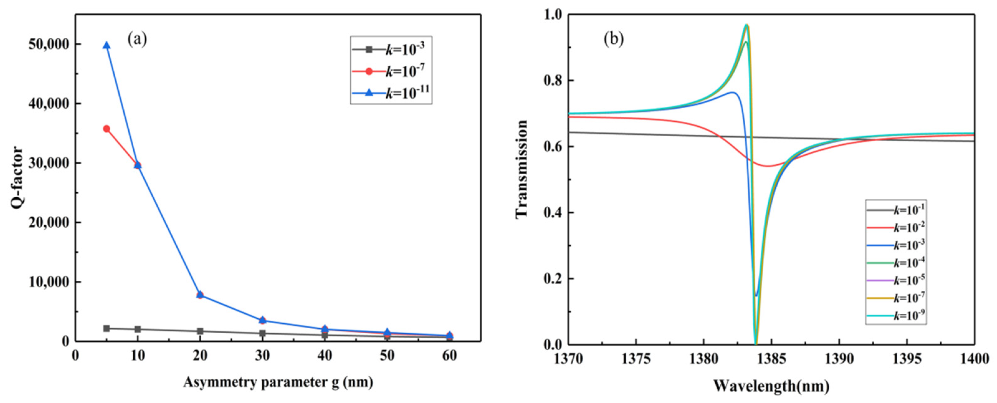
4.1. Excitation of Fano Resonance in the SHND Structure and Influence Factors of Q-Factor
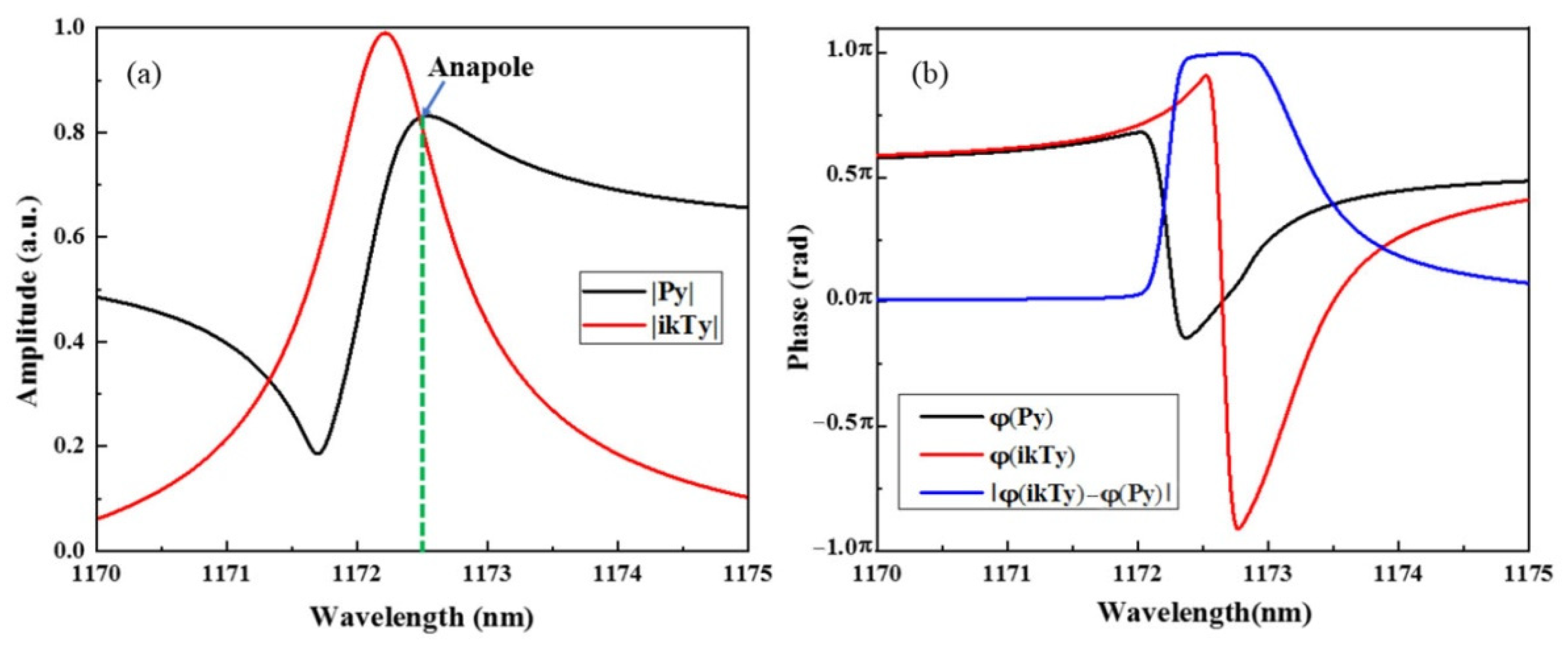
4.2. Multipole Decomposition of Fano and Analysis of Its Resonance Mode
4.3. Influence of Geometric Parameters on F1, F2, and F3 of the SHND Structure
5. Conclusions
Author Contributions
Funding
Institutional Review Board Statement
Informed Consent Statement
Data Availability Statement
Conflicts of Interest
References
- Yang, Y.; Wang, W.; Boulesbaa, A.; Kravchenko, I.I.; Briggs, D.P.; Puretzky, A.; Geohegan, D.; Valentine, J. Nonlinear Fano-Resonant Dielectric Metasurfaces. Nano Lett. 2015, 15, 7388–7393. [Google Scholar] [CrossRef] [PubMed]
- Cesca, T.; Manca, M.; Michieli, N.; Mattei, G. Tuning the linear and nonlinear optical properties of ordered plasmonic nanoarrays by morphological control with thermal annealing. Appl. Surf. Sci. 2019, 491, 67–74. [Google Scholar] [CrossRef]
- Zou, C.J.; Sautter, J.; Setzpfandt, F.; Staud, I. Resonant dielectric metasurfaces: Active tuning and nonlinear effects. J. Phys. D Appl. Phys. 2019, 52, 373002. [Google Scholar] [CrossRef]
- Baghbadorani, H.K.; Barvestani, J. Sensing improvement of 1D photonic crystal sensors by hybridization of defect and Bloch surface modes. Appl. Surf. Sci. 2020, 537, 147730. [Google Scholar] [CrossRef]
- Cho, C.H.; Aspetti, C.O.; Park, J.; Agarwal, R. Silicon coupled with plasmon nanocavities generates bright visible hot luminescence. Nat. Photonics 2013, 4, 285–289. [Google Scholar] [CrossRef] [Green Version]
- Zhou, Y.J.; Dai, L.H.; Li, Q.Y.; Xiao, Z.Y. Two-Way Fano Resonance Switch in Plasmonic Metamaterials. Front. Phys. 2020, 8, 576419. [Google Scholar] [CrossRef]
- Campione, S.; Liu, S.; Basilio, L.I.; Warne, L.K.; Langston, W.L.; Luk, T.S.; Wendt, J.R.; Reno, J.L.; Keeler, G.A.; Brener, I.; et al. Broken symmetry dielectric resonators for high quality-factor Fano metasurfaces. ACS Photonics 2016, 3, 2362–2367. [Google Scholar] [CrossRef]
- Moritake, Y.; Kanamori, Y.; Hane, K. Enhanced quality factor of Fano resonance in optical metamaterials by manipulating configuration of unit cells. Appl. Phys. Lett. 2015, 21, 211108. [Google Scholar] [CrossRef]
- Zhang, T.; Wang, J.; Liu, Q.; Zhou, J.; Dai, J.; Han, X.; Li, J.; Zhou, Y.; Xu, K. Efficient spectrum prediction and inverse design for plasmonic waveguide systems based on artificial neural networks. Photonics Res. 2019, 3, 368. [Google Scholar] [CrossRef] [Green Version]
- He, F.; Wang, M.; Jiao, L.; Xu, Z.; Yun, M. Phase-Coupled Plasmon-Induced Transparency in metasurface with Periodically Arranged Bimolecular Systems. Appl. Surf. Sci. 2020, 506, 144888. [Google Scholar]
- Mohsen, R.; Lei, D.Y.; Giannini, V.; Lukiyanchuk, B.; Ranjbar, M.; Liew, T.Y.F.; Hong, M.; Maier, S.A. Subgroup Decomposition of Plasmonic Resonances in Hybrid Oligomers: Modeling the Resonance Line shape. Nano Lett. 2012, 12, 2101–2106. [Google Scholar]
- Zhao, C.; Cui, L.; Song, X.; Xiao, J. High sensitivity plasmonic sensing based on Fano interference in a rectangular ring waveguide. Opt. Commun. 2015, 6, 1817–1824. [Google Scholar]
- Li, Y.; Huo, Y.; Zhang, Y.; Zhang, Z. Generation and Manipulation of Multiple Magnetic Fano Resonances in Split Ring-Perfect/Ring Nanostructure. Plasmonics 2016, 5, 1613–1619. [Google Scholar] [CrossRef]
- Zhang, Q.; Wen, X.; Li, G.; Ruan, Q.; Wang, J.; Xiong, Q. Multiple Magnetic Mode-Based Fano Resonance in Split-Ring Resonator/Disk Nanocavities. ACS Nano 2013, 12, 11071–11078. [Google Scholar] [CrossRef] [PubMed]
- Yang, Z.J. Fano Interference of Electromagnetic Modes in Subwavelength Dielectric Nanocrosses. J. Phys. Chem. C 2016, 38, 21843–21849. [Google Scholar] [CrossRef]
- Liu, H.; Zheng, L.; Ma, P.; Zhong, Y.; Liu, B.; Chen, X.; Liu, H. Metasurface generated polarization insensitive Fano resonance for high-performance refractive index sensing. Opt. Express 2019, 9, 13252–13262. [Google Scholar] [CrossRef]
- Hsu, C.W.; Zhen, B.; Stone, A.D.; Joannopoulos, J.D.; Soljačić, M. Bound states in the continuum. Nat. Rev. Mater. 2016, 1, 16048. [Google Scholar] [CrossRef] [Green Version]
- Zhou, C.B.; Pu, T.Y.; Huang, J.; Fan, M.H.; Huang, L.J. Manipulating Optical Scattering of Quasi-BIC in Dielectric Metasurface with Off-Center Hole. Nanomaterials 2022, 12, 54. [Google Scholar] [CrossRef]
- Tian, J.Y.; Li, Q.; Belov, P.A.; Sinha, R.K.; Qian, W.P.; Qiu, M. High-Q All-Dielectric Metasurface: Super and Suppressed Optical Absorption. ACS Photonics 2022, 7, 1436–1443. [Google Scholar] [CrossRef]
- Huo, Y.Y.; Zhang, X.; Yan, M.; Sun, K.; Jiang, S.Z.; Ning, T.Y.; Zhao, L.N. Highly-sensitive sensor based on toroidal dipole governed by bound state in the continuum in dielectric non-coaxial core-shell cylinder. Opt. Express 2022, 30, 19030–19041. [Google Scholar] [CrossRef]
- Benea-Chelmus, I.-C.; Mason, S.; Meretska, M.L.; Elder, D.L.; Kazakov, D.; Shams-Ansari, A.; Dalton, L.R.; Capasso, F. Gigahertz free-space electro-optic modulators based on Mie resonances. Nat. Commun. 2022, 13, 3170. [Google Scholar] [CrossRef] [PubMed]
- Evlyukhin, A.B.; Fischer, T.; Reinhardt, C.; Chichkov, B.N. Optical theorem and multipole scattering of light by arbitrarily shaped nanoparticles. Phys. Rev. B 2016, 20, 205434. [Google Scholar] [CrossRef]
- Hu, P.; Liang, L.; Ge, L.; Xiang, H.; Han, D. Fano resonance induced by the toroidal moment in cylindrical metallic meta-structures. Optics 2019, 21, 055001. [Google Scholar] [CrossRef]
- Shi, Y.; Zhou, L.-M.; Liu, A.Q.; Nieto-Vesperinas, M.; Zhu, T.; Hassanfiroozi, A.; Liu, J.; Zhang, H.; Tsai, D.P.; Li, H.; et al. Superhybrid Mode-Enhanced Optical Torques on Mie-Resonant Particles. Nano Lett. 2022, 22, 1769–1777. [Google Scholar] [CrossRef]
- Zel’Dovich, I.B. Electromagnetic Interaction with Parity Violation. J. Exp. Theor. Phys. 1958, 6, 1184. [Google Scholar]
- Kaelberer, T.; Fedotov, V.A.; Papasimakis, N.; Tsai, D.P. Toroidal dipolar response in a metamaterial. Science 2010, 6010, 1510–1512. [Google Scholar] [CrossRef] [Green Version]
- Hopkins, B.; Filonov, D.S.; MiroSHNDichenko, A.E.; Monticone, F.; Alù, A.; Kivshar, Y.S. Interplay of Magnetic Responses in All-Dielectric Oligomers to Realize Magnetic Fano Resonances. ACS Photonics 2015, 2, 724–729. [Google Scholar] [CrossRef] [Green Version]
- Kroychuk, M.K.; Shorokhov, A.S.; Yagudin, D.F.; Shilkin, D.A.; Smirnova, D.A.; Volkovskaya, I.; Shcherbakov, M.R.; Shvets, G.; Fedyanin, A.A. Enhanced Nonlinear Light Generation in Oligomers of Silicon Nanoparticles under Vector Beam Illumination. Nano Lett. 2020, 20, 3471–3477. [Google Scholar] [CrossRef]
- Liu, Z.; Li, J.; Li, W.; Li, J.; Gu, C.; Li, Z. 3D conductive coupling for efficient generation of prominent Fano resonances in metamaterials. Sci. Rep. 2016, 6, 27817. [Google Scholar] [CrossRef] [Green Version]
- Luk’Yanchuk, B.; Zheludev, N.I.; Maier, S.A.; Halas, N.J.; Nordlander, P.; Giessen, H.; Chong, C.T. The Fano resonance in plasmonic nanostructures and metamaterials. Nat. Mater. 2010, 9, 707–715. [Google Scholar] [CrossRef]
- Miroshnichenko, A.E.; Evlyukhin, A.B.; Yu, Y.F.; Bakker, R.M.; Chipouline, A.; Kuznetsov, A.; Luk’Yanchuk, B.; Chichkov, B.N.; Kivshar, Y.S. Nonradiating anapole modes in dielectric nanoparticles. Nat. Commun. 2015, 6, 8069. [Google Scholar] [CrossRef] [PubMed]
- Papasimakis, N.; Fedotov, V.A.; Savinov, V.; Raybould, T.A.; Zheludev, N. Electromagnetic toroidal excitations in matter and free space. Nat. Mater. 2016, 3, 263–271. [Google Scholar] [CrossRef] [PubMed] [Green Version]
- Walsh, G.F.; Negro, L.D. Enhanced Second Harmonic Generation by Photonic–Plasmonic Fano-Type Coupling in Nanoplasmonic Arrays. Nano Lett. 2016, 7, 3111–3117. [Google Scholar] [CrossRef] [PubMed]
- Liu, S.; Wang, Z.; Wang, W.; Chen, J.; Chen, Z. High Q-factor with the excitation of anapole modes in dielectric split nanodisk arrays. Opt. Express 2017, 19, 22375–22387. [Google Scholar] [CrossRef]
- Sun, G.; Yuan, L.; Zhang, Y.; Zhang, X.; Zhu, Y. Q-factor enhancement of Fano resonance in all-dielectric metasurfaces by modulating meta-atom interactions. Sci. Rep. 2017, 1, 8128. [Google Scholar] [CrossRef] [Green Version]
- Tao, Y.; Guo, Z. Molecular detection by active Fano-sensor. Ann. Phys. 2017, 4, 1600259. [Google Scholar]
- Tian, X.; Fang, Y.; Zhang, B. Multipolar Fano Resonances and Fano-Assisted Optical Activity in Silver Nanorice Heterodimers. ACS Photonics 2014, 11, 1156–1164. [Google Scholar] [CrossRef]
- Algorri, J.F.; Zografopoulos, D.C.; Sanchez-Pena, J.M. Ultrahigh-quality factor resonant dielectric metasurfaces based on hollow nanocuboids. Opt. Express 2019, 27, 6320–6330. [Google Scholar] [CrossRef]
- Algorri, J.F.; Zografopoulos, D.C.; Ferraro, A.; Garcia, C.; Vergaz, B.; Beccherelli, R.; Sanchez, P.; Jose, M. Anapole Modes in Hollow Nanocuboid Dielectric Metasurfaces for Refractometric Sensing. Nanomaterials 2019, 9, 30. [Google Scholar]
- Jeong, J.; Goldflam, M.D.; Campione, S.; Briscoe, J.L.; Vabishchevich, P.P.; Nogan, J.; Sinclair, M.B.; Luk, T.S.; Brener, I. High Quality Factor Toroidal Resonances in Dielectric Metasurfaces. ACS Photonics 2020, 7, 1699–1707. [Google Scholar] [CrossRef]
- Palik, E.D. Handbook of Optical Constants of Solids; Academic Press: Cambridge, MA, USA, 1985; Volume I. [Google Scholar]
- Tasolamprou, A.C.; Tsilipakos, O.; Kafesaki, M.; Soukoulis, C.M.; Economou, E.N. Toroidal eigenmodes in all-dielectric metamolecules. Phys. Rev. B 2016, 20, 205433. [Google Scholar] [CrossRef] [Green Version]
- Yang, Y.; Zenin, V.A.; Bozhevolnyi, S.I. Anapole-Assisted Strong Field Enhancement in Individual All-Dielectric Nanostructures. ACS Photonics 2018, 5, 1960–1966. [Google Scholar] [CrossRef] [Green Version]
- Lamprianidis, A.G.; Miroshnichenko, A.E. Excitation of nonradiating magnetic anapole states with azimuthally polarized vector beams. Beilstein J. Nanotechol. 2018, 9, 1478–1490. [Google Scholar] [CrossRef] [PubMed] [Green Version]
- Yang, Y.; Kravchenko, I.I.; Briggs, D.P.; Valentine, J. All-dielectric metasurface analogue of electromagnetically induced transparency. Nat. Commun. 2014, 5, 5753. [Google Scholar] [CrossRef] [PubMed] [Green Version]
- Yang, L.; Yu, S.L.; Li, H.; Zhao, T.G. Multiple Fano resonances excitation on all-dielectric nanohole arrays metasurfaces. Opt. Express 2021, 29, 14905–14916. [Google Scholar] [CrossRef]
- Algorri, J.F.; Dell’Olio, F.; Roldan-Varona, P.; Rodriguez-Cobo, L.; Lopez-Higuera, J.M.; Sanchez-Pena, J.M.; Zografopoulos, D.C. Strongly resonant silicon slot metasurfaces with symmetry-protected bound states in the continuum. Opt. Express 2021, 29, 10374–10385. [Google Scholar] [CrossRef]
- Zhang, J.; Chen, S.; Wang, J.; Mu, K.; Fan, C.; Liang, E.; Pei, D. An engineered CARS substrate with giant field enhancement in crisscross dimer nanostructure. Sci. Rep. 2018, 1, 740. [Google Scholar] [CrossRef] [Green Version]
- Zhang, Y.; Liu, W.; Li, Z.; Li, Z.; Cheng, H.; Chen, S.; Tian, J. High-quality-factor multiple Fano resonances for refractive index sensing. Opt. Lett. 2019, 2, 2818–2825. [Google Scholar] [CrossRef]
- Zhao, W.; Jiang, H.; Liu, B.; Jiang, Y.; Tang, C.; Li, J. Fano resonance based optical modulator reaching 85% modulation depth. Appl. Phys. Lett. 2015, 17, 171109. [Google Scholar] [CrossRef]









Publisher’s Note: MDPI stays neutral with regard to jurisdictional claims in published maps and institutional affiliations. |
© 2022 by the authors. Licensee MDPI, Basel, Switzerland. This article is an open access article distributed under the terms and conditions of the Creative Commons Attribution (CC BY) license (https://creativecommons.org/licenses/by/4.0/).
Share and Cite
Wang, Y.; Zhou, C.; Huo, Y.; Cui, P.; Song, M.; Liu, T.; Zhao, C.; Liao, Z.; Zhang, Z.; Xie, Y. Efficient Excitation and Tuning of Multi-Fano Resonances with High Q-Factor in All-Dielectric Metasurfaces. Nanomaterials 2022, 12, 2292. https://doi.org/10.3390/nano12132292
Wang Y, Zhou C, Huo Y, Cui P, Song M, Liu T, Zhao C, Liao Z, Zhang Z, Xie Y. Efficient Excitation and Tuning of Multi-Fano Resonances with High Q-Factor in All-Dielectric Metasurfaces. Nanomaterials. 2022; 12(13):2292. https://doi.org/10.3390/nano12132292
Chicago/Turabian StyleWang, Yunyan, Chen Zhou, Yiping Huo, Pengfei Cui, Meina Song, Tong Liu, Chen Zhao, Zuxiong Liao, Zhongyue Zhang, and You Xie. 2022. "Efficient Excitation and Tuning of Multi-Fano Resonances with High Q-Factor in All-Dielectric Metasurfaces" Nanomaterials 12, no. 13: 2292. https://doi.org/10.3390/nano12132292
APA StyleWang, Y., Zhou, C., Huo, Y., Cui, P., Song, M., Liu, T., Zhao, C., Liao, Z., Zhang, Z., & Xie, Y. (2022). Efficient Excitation and Tuning of Multi-Fano Resonances with High Q-Factor in All-Dielectric Metasurfaces. Nanomaterials, 12(13), 2292. https://doi.org/10.3390/nano12132292

