Insight into the Dynamics of Fractional Maxwell Nano-Fluids Subject to Entropy Generation, Lorentz Force and Heat Source via Finite Difference Scheme
Abstract
:1. Introduction
2. Mathematical Model and Formulations
- Flow is unsteady, incompressible and 1-dimensional.
- Pressure gradient is absent.
- Body force is significant.
- Magnetic field is applied (ignoring the induced magnetic field).
3. Numerical Procedure
3.1. Numerical Analysis and Discussion
3.2. Entropy Generation
- where
- where , is the characteristic entropy generation rate, is the Brickman number, is the square of the Hartmann Number and is the dimensionless temperature difference.
Bejan Number
3.3. Skin Friction and Nusselt Number
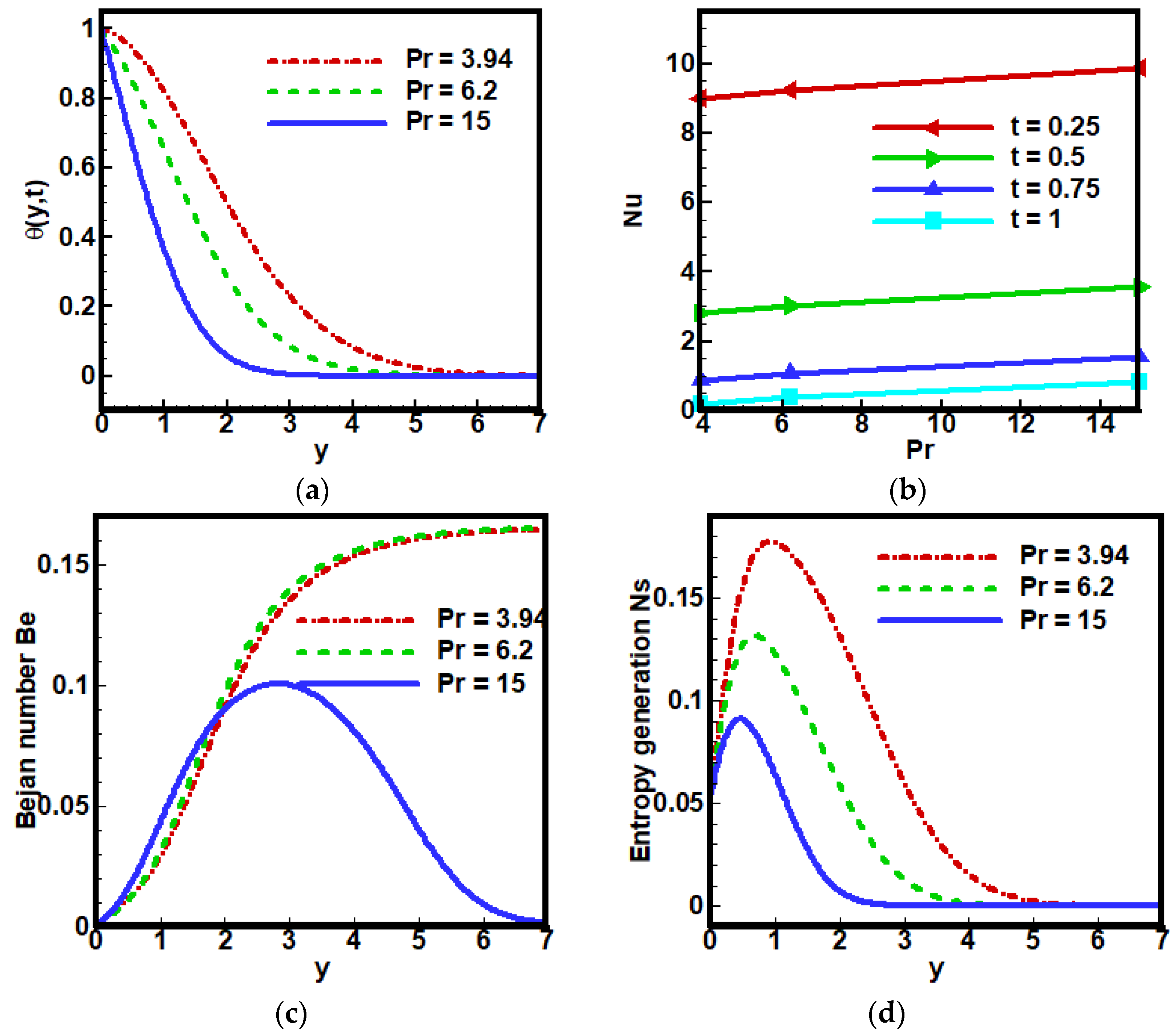
4. Results and Discussion
5. Conclusions
- a-
- It is noted that for increasing the value of fractional order parameter the velocity profile decreases, whereas the temperature profile increases.
- b-
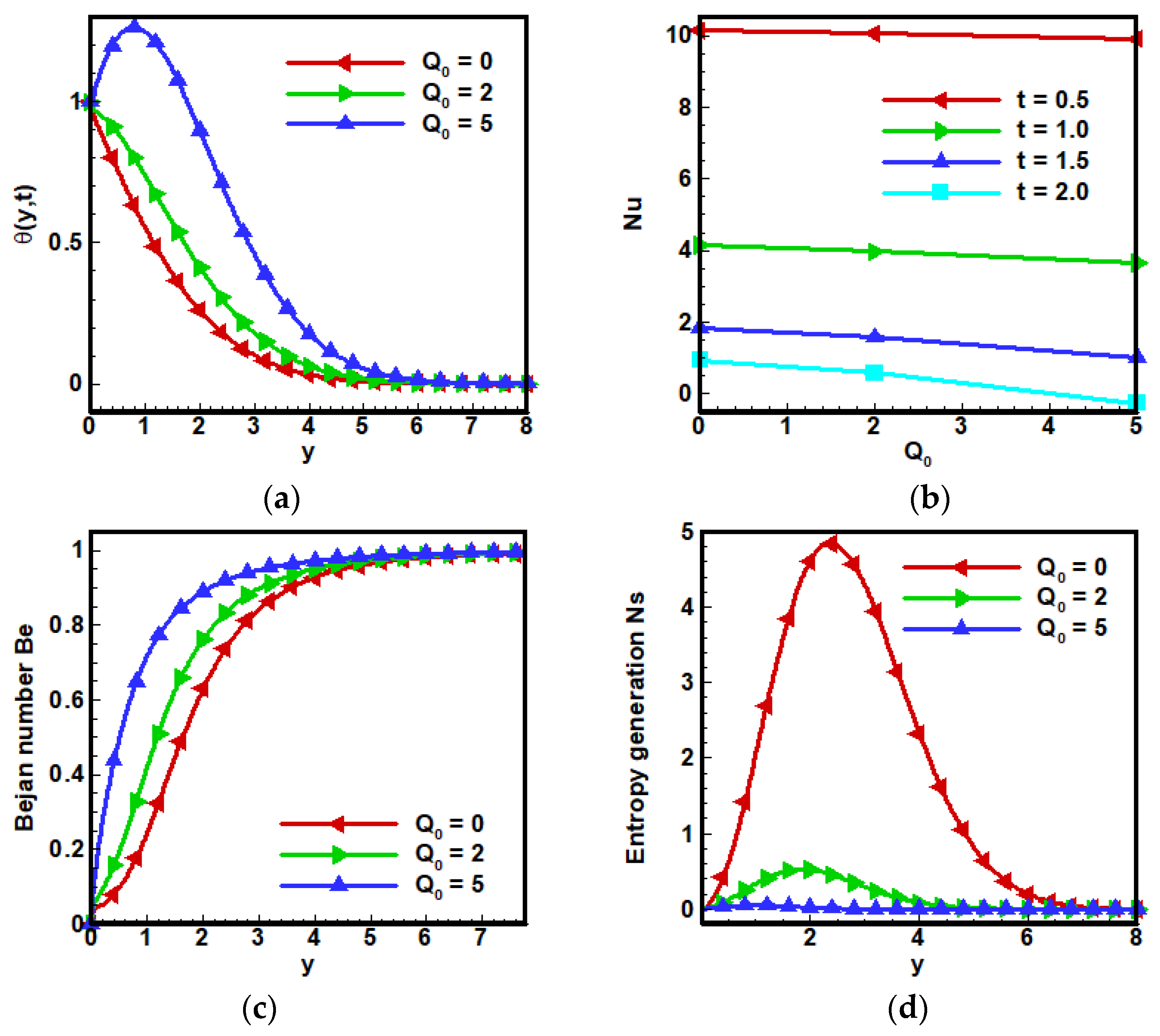
- The addition of nanoparticles to base fluid enhances the thermal conductivity of fractional Maxwell nanofluids, increasing the value of volume fraction of nanoparticles and decreasing entropy generation .
- c-
- The magnetic field effect influences the temperature and velocity profile with inverse and direct behavior, respectively.
- d-
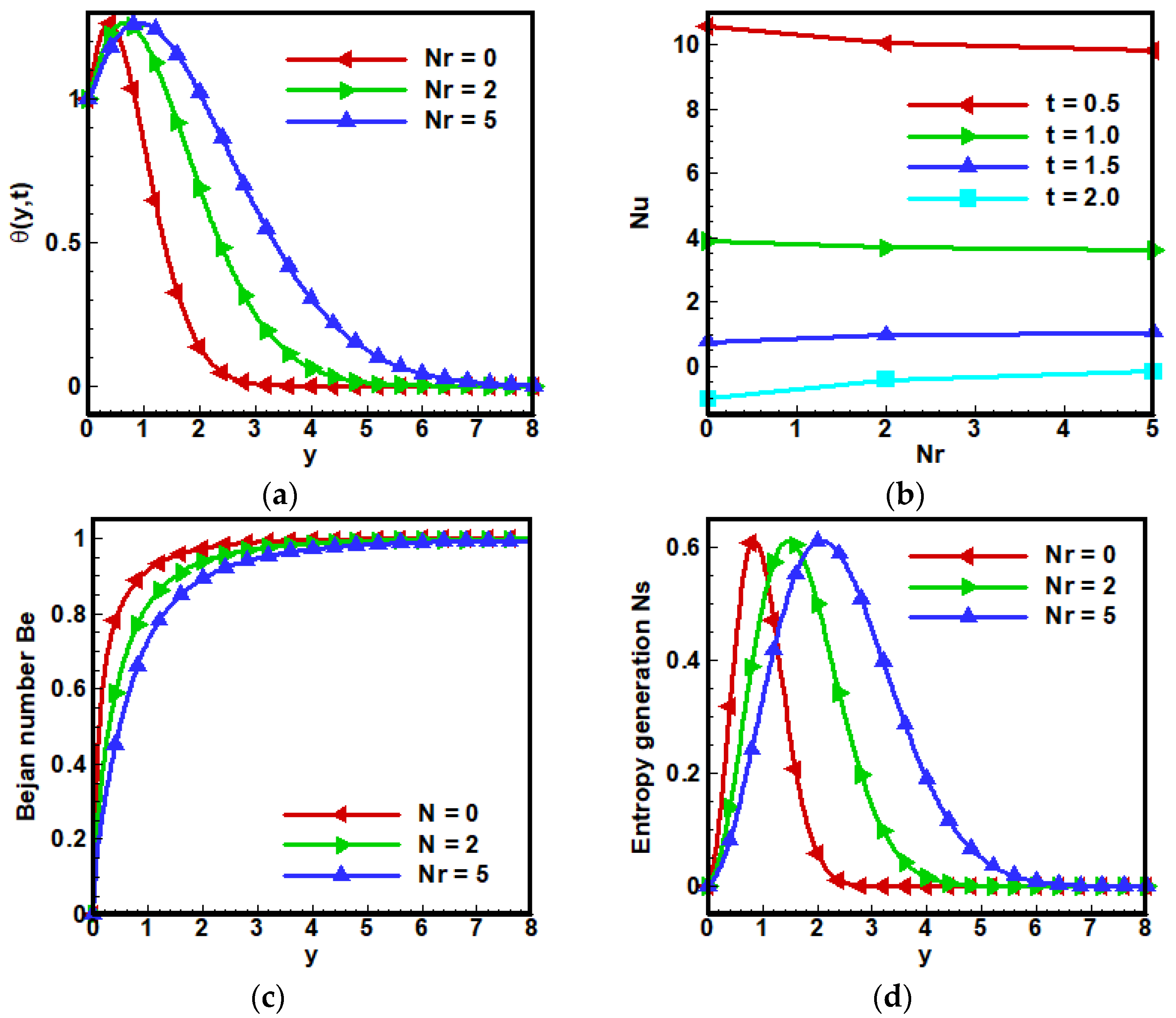
- Nusselt number increases with the variation in and a decrease occurs in with the increase in thermal radiation parameter.
- e-
- The temperature profile varies directly with the thermal radiation parameter and increasing the value of decreases the Nusselt number. Whereas entropy generation increases, and the Bejan number decrease with a rising value of .
Author Contributions
Funding
Institutional Review Board Statement
Informed Consent Statement
Data Availability Statement
Acknowledgments
Conflicts of Interest
References
- Saqib, M.; Ali, F.; Khan, I.; Sheikh, N.A.; Alam Jan, S.A. Exact solutions for free convection flow of generalized Jeffrey fluid: A Caputo-Fabrizio fractional model. Alex. Eng. J. 2018, 57, 1849–1858. [Google Scholar] [CrossRef]
- Saqib, M.; Hanif, H.; Abdeljawad, T.; Khan, I.; Shafie, S.; Nisar, K.S. Heat transfer in mhd flow of maxwell fluid via fractional cattaneo-friedrich model: A finite difference approach. Comput. Mater. Contin. 2020, 65, 1959–1973. [Google Scholar] [CrossRef]
- Sheikh, N.A.; Ali, F.; Saqib, M.; Khan, I.; Alam Jan, S.A.; Alshomrani, A.S.; Alghamdi, M.S. Comparison and analysis of the Atangana–Baleanu and Caputo–Fabrizio fractional derivatives for generalized Casson fluid model with heat generation and chemical reaction. Results Phys. 2017, 7, 789–800. [Google Scholar] [CrossRef]
- Shah, N.; Hajizadeh, A.; Zeb, M.; Ahmad, S.; Mahsud, Y.; Animasaun, I.L. Effect of magnetic field on double convection flow of viscous fluid over a moving vertical plate with constant temperature and general concentration by using new trend of fractional derivative. Open J. Math. Sci. 2018, 2, 253–265. [Google Scholar] [CrossRef]
- Shah, N.A.; Elnaqeeb, T.; Animasaun, I.L.; Mahsud, Y. Insight into the natural convection flow through a vertical cylinder using caputo time-fractional derivatives. Int. J. Appl. Comput. Math. 2018, 4, 80. [Google Scholar] [CrossRef]
- Raza, N.; Abdullah, M.; Butt, A.R.; Awan, A.U.; Haque, E.U. Flow of a second grade fluid with fractional derivatives due to a quadratic time dependent shear stress. Alex. Eng. J. 2018, 57, 1963–1969. [Google Scholar] [CrossRef]
- Sarma, R.; Jain, M.; Mondal, P.K. Towards the minimization of thermodynamic irreversibility in an electrically actuated microflow of a viscoelastic fluid under electrical double layer phenomenon. Phys. Fluids 2017, 29, 103102. [Google Scholar] [CrossRef]
- Makris, N.; Constantinou, M. Fractional-derivative Maxwell model for viscous dampers. J. Struct. Eng. 1991, 117, 2708–2724. [Google Scholar] [CrossRef]
- Friedrich, B.; Herschbach, D.R. Spatial orientation of molecules in strong electric fields and evidence for pendular states. Nature 1991, 353, 412–414. [Google Scholar] [CrossRef]
- Hayat, T.; Nadeem, S.; Asghar, S. Periodic unidirectional flows of a viscoelastic fluid with the fractional Maxwell model. Appl. Math. Comput. 2004, 151, 153–161. [Google Scholar] [CrossRef]
- Qi, H.; Jin, H. Unsteady rotating flows of a viscoelastic fluid with the fractional Maxwell model between coaxial cylinders. Acta Mech. Sin. 2006, 22, 301–305. [Google Scholar] [CrossRef]
- Qi, H.; Xu, M. Unsteady flow of viscoelastic fluid with fractional Maxwell model in a channel. Mech. Res. Commun. 2007, 34, 210–212. [Google Scholar] [CrossRef]
- Wenchang, T.; Mingyu, X. Plane surface suddenly set in motion in a viscoelastic fluid with fractional Maxwell model. Acta Mech. Sin. 2002, 18, 342–349. [Google Scholar] [CrossRef]
- Wenchang, T.; Wenxiao, P.; Mingyu, X. A note on unsteady flows of a viscoelastic fluid with the fractional Maxwell model between two parallel plates. Int. J. Non-Linear Mech. 2003, 38, 645–650. [Google Scholar] [CrossRef]
- Bejan, A. A study of entropy generation in fundamental convective heat transfer. J. Heat Transf. 1979, 101, 718–725. [Google Scholar] [CrossRef]
- Bejan, A. Second law analysis in heat transfer. Energy 1980, 5, 720–732. [Google Scholar] [CrossRef]
- Bejan, A. Second-law analysis in heat transfer and thermal design. In Advances in Heat Transfer; Elsevier: Amsterdam, The Netherlands, 1982; pp. 1–58. [Google Scholar]
- Bejan, A. Convection Heat Transfer; John Wiley & Sons: Hoboken, NJ, USA, 2013. [Google Scholar]
- Bejan, A. Entropy Generation Minimization: The Method of Thermodynamic Optimization of Finite-Size Systems and Finite-Time Processes; CRC Press: Boca Raton, FL, USA, 2013. [Google Scholar]
- Bejan, A. Advanced Engineering Thermodynamics; John Wiley & Sons: Hoboken, NJ, USA, 2016. [Google Scholar]
- Bejan, A.; Tsatsaronis, G.; Moran, M.J. Thermal Design and Optimization; John Wiley & Sons: Hoboken, NJ, USA, 1995. [Google Scholar]
- Mondal, P.K. Entropy analysis for the Couette flow of non-Newtonian fluids between asymmetrically heated parallel plates: Effect of applied pressure gradient. Phys. Scr. 2014, 89, 125003. [Google Scholar] [CrossRef]
- Choi, S.U.; Eastman, J.A. Enhancing Thermal Conductivity of Fluids with Nanoparticles; Argonne National Lab.: Lemont, IL, USA, 1995. [Google Scholar]
- Tiwari, R.K.; Das, M.K. Heat transfer augmentation in a two-sided lid-driven differentially heated square cavity utilizing nanofluids. Int. J. Heat Mass Transf. 2007, 50, 2002–2018. [Google Scholar] [CrossRef]
- Zaraki, A.; Ghalambaz, M.; Chamkha, A.J.; Ghalambaz, M.; De Rossi, D. Theoretical analysis of natural convection boundary layer heat and mass transfer of nanofluids: Effects of size, shape and type of nanoparticles, type of base fluid and working temperature. Adv. Powder Technol. 2015, 26, 935–946. [Google Scholar] [CrossRef]
- Aman, S.; Khan, I.; Ismail, Z.; Salleh, M.Z.; Al-Mdallal, Q.M. Heat transfer enhancement in free convection flow of CNTs Maxwell nanofluids with four different types of molecular liquids. Sci. Rep. 2017, 7, 2445. [Google Scholar] [CrossRef] [Green Version]
- Mondal, P. Thermodynamically consistent limiting forced convection heat transfer in a asymmetrically heated porous channel: An analytical study. Transp. Porous Media 2013, 100, 17–37. [Google Scholar] [CrossRef]
- Kumar, M.; Mondal, P.K. Irreversibility analysis of hybrid nanofluid flow over a rotating disk: Effect of thermal radiation and magnetic field. Colloids Surf. A Physicochem. Eng. Asp. 2022, 635, 128077. [Google Scholar] [CrossRef]
- Mondal, P.; Mukherjee, S. Viscous dissipation effects on the limiting value of Nusselt numbers for a shear driven flow between two asymmetrically heated parallel plates. Front. Heat Mass Transf. (FHMT) 2012, 3, 033004. [Google Scholar] [CrossRef] [Green Version]
- Awad, M.M. A new definition of Bejan number. Therm. Sci. 2012, 16, 1251–1253. [Google Scholar] [CrossRef] [Green Version]
- Saouli, S.; Aїboud-Saouli, S. Second law analysis of laminar falling liquid film along an inclined heated plate. Int. Commun. Heat Mass Transf. 2004, 31, 879–886. [Google Scholar] [CrossRef]
- Ji, Y.; Zhang, H.-C.; Yang, X.; Shi, L. Entropy generation analysis and performance evaluation of turbulent forced convective heat transfer to nanofluids. Entropy 2017, 19, 108. [Google Scholar] [CrossRef] [Green Version]
- Qing, J.; Bhatti, M.M.; Abbas, M.A.; Rashidi, M.M.; Ali, M.E.-S. Entropy generation on MHD Casson nanofluid flow over a porous stretching/shrinking surface. Entropy 2016, 18, 123. [Google Scholar] [CrossRef]
- Sheikholeslami, M.; Arabkoohsar, A.; Khan, I.; Shafee, A.; Li, Z. Impact of Lorentz forces on Fe3O4-water ferrofluid entropy and exergy treatment within a permeable semi annulus. J. Clean. Prod. 2019, 221, 885–898. [Google Scholar] [CrossRef]
- Mahanthesh, B. Flow and heat transport of nanomaterial with quadratic radiative heat flux and aggregation kinematics of nanoparticles. Int. Commun. Heat Mass Transf. 2021, 127, 105521. [Google Scholar] [CrossRef]
- Gaikwad, H.S.; Basu, D.N.; Mondal, P.K. Non-linear drag induced irreversibility minimization in a viscous dissipative flow through a micro-porous channel. Energy 2017, 119, 588–600. [Google Scholar] [CrossRef]
- Kumar, M.; Mondal, P.K. Bejan’s flow visualization of buoyancy-driven flow of a hydromagnetic Casson fluid from an isothermal wavy surface. Phys. Fluids 2021, 33, 093113. [Google Scholar] [CrossRef]
- Sarma, R.; Gaikwad, H.; Mondal, P.K. Effect of conjugate heat transfer on entropy generation in slip-driven microflow of power law fluids. Nanoscale Microscale Thermophys. Eng. 2017, 21, 26–44. [Google Scholar] [CrossRef]
- Tyagi, P.K.; Kumar, R.; Mondal, P.K. A review of the state-of-the-art nanofluid spray and jet impingement cooling. Phys. Fluids 2020, 32, 121301. [Google Scholar] [CrossRef]
- Hayat, T.; Khan, M.I.; Farooq, M.; Yasmeen, T.; Alsaedi, A. Water-carbon nanofluid flow with variable heat flux by a thin needle. J. Mol. Liq. 2016, 224, 786–791. [Google Scholar] [CrossRef]
- Hayat, T.; Waqas, M.; Shehzad, S.; Alsaedi, A. On 2D stratified flow of an Oldroyd-B fluid with chemical reaction: An application of non-Fourier heat flux theory. J. Mol. Liq. 2016, 223, 566–571. [Google Scholar] [CrossRef]
- Khan, M.I. Transportation of hybrid nanoparticles in forced convective Darcy-Forchheimer flow by a rotating disk. Int. Commun. Heat Mass Transf. 2021, 122, 105177. [Google Scholar] [CrossRef]
- Khan, M.I.; Waqas, M.; Hayat, T.; Alsaedi, A. Chemically reactive flow of Maxwell liquid due to variable thicked surface. Int. Commun. Heat Mass Transf. 2017, 86, 231–238. [Google Scholar] [CrossRef]
- Wang, C.-C. Mathematical Principles of Mechanics and Electromagnetism: Part A: Analytical and Continuum Mechanics; Springer Science & Business Media: Berlin/Heidelberg, Germany, 2013; Volume 16. [Google Scholar]
- Saqib, M.; Khan, I.; Shafie, S. Application of fractional differential equations to heat transfer in hybrid nanofluid: Modeling and solution via integral transforms. Adv. Differ. Equ. 2019, 2019, 52. [Google Scholar] [CrossRef] [Green Version]
- Khan, A.; Karim, F.U.; Khan, I.; Alkanhal, T.A.; Ali, F.; Khan, D.; Nisar, K.S. Entropy generation in MHD conjugate flow with wall shear stress over an infinite plate: Exact analysis. Entropy 2019, 21, 359. [Google Scholar] [CrossRef] [Green Version]
- Anwar, T.; Kumam, P.; Khan, I.; Watthayu, W. Heat transfer enhancement in unsteady MHD natural convective flow of CNTs Oldroyd-B nanofluid under ramped wall velocity and ramped wall temperature. Entropy 2020, 22, 401. [Google Scholar] [CrossRef] [Green Version]
- Salah, F.; Aziz, Z.A.; Ayem, M.; Ching, D.L.C. MHD accelerated flow of Maxwell fluid in a porous medium and rotating frame. Int. Sch. Res. Not. 2013, 2013, 485805. [Google Scholar] [CrossRef] [Green Version]
- Saqib, M.; Shafie, S.; Khan, I.; Chu, Y.-M.; Nisar, K.S. Symmetric MHD channel flow of nonlocal fractional model of BTF containing hybrid nanoparticles. Symmetry 2020, 12, 663. [Google Scholar] [CrossRef]
- Friedrich, C. Relaxation and retardation functions of the Maxwell model with fractional derivatives. Rheol. Acta 1991, 30, 151–158. [Google Scholar] [CrossRef]
- Sheikh, N.A.; Ali, F.; Khan, I.; Gohar, M.; Saqib, M. On the applications of nanofluids to enhance the performance of solar collectors: A comparative analysis of Atangana-Baleanu and Caputo-Fabrizio fractional models. Eur. Phys. J. Plus 2017, 132, 1–11. [Google Scholar] [CrossRef]
- Jan, S.A.A.; Ali, F.; Sheikh, N.A.; Khan, I.; Saqib, M.; Gohar, M. Engine oil based generalized brinkman-type nano-liquid with molybdenum disulphide nanoparticles of spherical shape: Atangana-Baleanu fractional model. Numer. Methods Partial. Differ. Equ. 2018, 34, 1472–1488. [Google Scholar] [CrossRef]
- Raptis, A. Flow of a micropolar fluid past a continuously moving plate by the presence of radiation. Int. J. Heat Mass Transf. 1998, 18, 2865–2866. [Google Scholar] [CrossRef]
- Saqib, M.; Khan, I.; Shafie, S. Application of Atangana–Baleanu fractional derivative to MHD channel flow of CMC-based-CNT’s nanofluid through a porous medium. Chaos Solitons Fractals 2018, 116, 79–85. [Google Scholar] [CrossRef]
- Yusuf, T.; Mabood, F.; Khan, W.A.; Gbadeyan, J.A. Irreversibility analysis of Cu-TiO2-H2O hybrid-nanofluid impinging on a 3-D stretching sheet in a porous medium with nonlinear radiation: Darcy-Forchhiemer’s model. Alex. Eng. J. 2020, 59, 5247–5261. [Google Scholar] [CrossRef]
- Usman, M.; Hamid, M.; Zubair, T.; Haq, R.U.; Wang, W. Cu-Al2O3/Water hybrid nanofluid through a permeable surface in the presence of nonlinear radiation and variable thermal conductivity via LSM. Int. J. Heat Mass Transf. 2018, 126, 1347–1356. [Google Scholar] [CrossRef]
- Atmaca, M.; Gumus, M.; Inan, A.T.; Yilmaz, T. Optimization of irreversible cogeneration systems under alternative performance criteria. Int. J. Thermophys. 2009, 30, 1724–1732. [Google Scholar] [CrossRef]
- Saqib, M.; Ali, F.; Khan, I.; Sheikh, N.A.; Khan, A. Entropy generation in different types of fractionalized nanofluids. Arab. J. Sci. Eng. 2019, 44, 531–540. [Google Scholar] [CrossRef]
- Zhao, J.; Zheng, L.; Zhang, X.; Liu, F. Unsteady natural convection boundary layer heat transfer of fractional Maxwell viscoelastic fluid over a vertical plate. Int. J. Heat Mass Transf. 2016, 97, 760–766. [Google Scholar] [CrossRef]
- Khan, A.Q.; Rasheed, A. Mixed convection magnetohydrodynamics flow of a nanofluid with heat transfer: A numerical study. Math. Probl. Eng. 2019, 2019, 8129564. [Google Scholar] [CrossRef] [Green Version]
- Sarojamma, G.; Vajravelu, K.; Sreelakshmi, K. A study on entropy generation on thin film flow over an unsteady stretching sheet under the influence of magnetic field, thermocapillarity, thermal radiation and internal heat generation/absorption. Commun. Numer. Anal. 2017, 2, 141–156. [Google Scholar] [CrossRef] [Green Version]









| Material | |||
|---|---|---|---|
| 997 | 8933 | 3970 | |
| 4197 | 385 | 765 | |
| 0.613 | 400 | 40 | |
| 21 | 1.67 | 0.85 | |
| 0.05 |
Publisher’s Note: MDPI stays neutral with regard to jurisdictional claims in published maps and institutional affiliations. |
© 2022 by the authors. Licensee MDPI, Basel, Switzerland. This article is an open access article distributed under the terms and conditions of the Creative Commons Attribution (CC BY) license (https://creativecommons.org/licenses/by/4.0/).
Share and Cite
Asjad, M.I.; Usman, M.; Ali, A.; Awrejcewicz, J.; Bednarek, M. Insight into the Dynamics of Fractional Maxwell Nano-Fluids Subject to Entropy Generation, Lorentz Force and Heat Source via Finite Difference Scheme. Nanomaterials 2022, 12, 1745. https://doi.org/10.3390/nano12101745
Asjad MI, Usman M, Ali A, Awrejcewicz J, Bednarek M. Insight into the Dynamics of Fractional Maxwell Nano-Fluids Subject to Entropy Generation, Lorentz Force and Heat Source via Finite Difference Scheme. Nanomaterials. 2022; 12(10):1745. https://doi.org/10.3390/nano12101745
Chicago/Turabian StyleAsjad, Muhammad Imran, Muhammad Usman, Arfan Ali, Jan Awrejcewicz, and Maksymilian Bednarek. 2022. "Insight into the Dynamics of Fractional Maxwell Nano-Fluids Subject to Entropy Generation, Lorentz Force and Heat Source via Finite Difference Scheme" Nanomaterials 12, no. 10: 1745. https://doi.org/10.3390/nano12101745
APA StyleAsjad, M. I., Usman, M., Ali, A., Awrejcewicz, J., & Bednarek, M. (2022). Insight into the Dynamics of Fractional Maxwell Nano-Fluids Subject to Entropy Generation, Lorentz Force and Heat Source via Finite Difference Scheme. Nanomaterials, 12(10), 1745. https://doi.org/10.3390/nano12101745

