Kinetics of Hydrogen Generation from Oxidation of Hydrogenated Silicon Nanocrystals in Aqueous Solutions
Abstract
1. Introduction
2. Hydrogen Generation from Oxidation of Porous Silicon Nanopowders in Water
3. Materials and Methods
3.1. Formation of PSi Nanopowders
3.2. Structural Characterization of PSi Nanopowders
3.3. Temperature-Programmed Desorption (TPD)
3.4. Measurement of Hydrogen Generation Kinetics
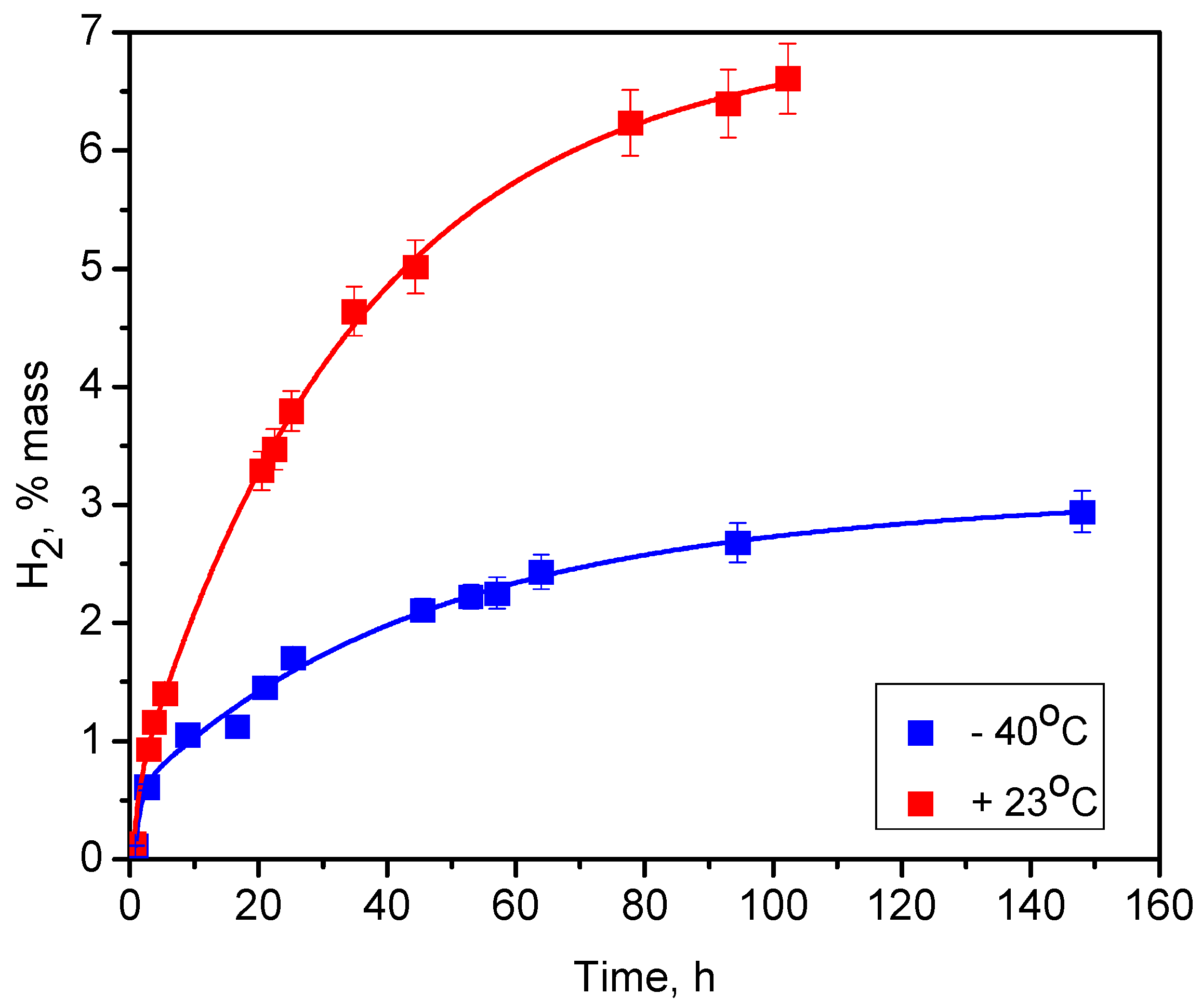
4. Results and Discussion
5. Conclusions
Supplementary Materials
Author Contributions
Funding
Acknowledgments
Conflicts of Interest
References
- Gandia, L.M.; Arzamendi, G.; Dieguez, P.M. Renewable Hydrogen Technologies: Production, Purification, Storage, Applications and Safety; Elsevier: Amsterdam, The Netherlands, 2013; pp. 1–455. [Google Scholar]
- Marban, G.; Valdes-Solis, T. Towards the hydrogen economy? Int. J. Hydrogen Energy 2007, 32, 1625–1637. [Google Scholar] [CrossRef]
- Gahleitner, G. Hydrogen from renewable electricity: An international review of power-to-gas pilot plants for stationary applications. Int. J. Hydrogen Energy 2013, 38, 2039–2061. [Google Scholar] [CrossRef]
- Parra, D.; Valverde, L.; Pino, F.J.; Patel, M.K. A review on the role, cost and value of hydrogen energy systems for deep decarbonisation. Renew. Sustain. Energy Rev. 2019, 101, 279–294. [Google Scholar] [CrossRef]
- Buttler, A.; Spliethoff, H. Current status of water electrolysis for energy storage, grid balancing and sector coupling via power-to-gas and power-to-liquids: A review. Renew. Sustain. Energy Rev. 2018, 82, 2440–2454. [Google Scholar] [CrossRef]
- Godula-Jopek, A.; Jehle, W.; Wellnitz, J. Hydrogen Storage Technologies: New Materials, Transport, and Infrastructure, 1st ed.; Wiley-VCH Verlag & Co.: Weinheim, Germany, 2012; pp. 1–264. [Google Scholar]
- Ahmad, G.E.; El Shenawy, E.T. Optimized photovoltaic system for hydrogen production. Renew. Energy 2006, 31, 1043–1054. [Google Scholar] [CrossRef]
- Kovac, A.; Marciusa, D.; Budin, L. Solar hydrogen production via alkaline water electrolysis. Int. J. Hydrogen Energy 2019, 44, 9841–9848. [Google Scholar] [CrossRef]
- Nakayama, K.; Nishi, M.J.; Taniguchi, T.; Mizusaki, S.; Nagata, Y.; Ozawa, T.C.; Noro, Y.; Samata, H. Catalysts for hydrogen generation from water vapor. Sci. Technol. Adv. Mater. 2006, 7, 52–55. [Google Scholar] [CrossRef]
- Funk, J.E. Thermochemical hydrogen production: Past and present. Int. J. Hydrogen Energy 2001, 26, 185–190. [Google Scholar] [CrossRef]
- Qi, J.; Zhang, W.; Cao, R. Solar-to-hydrogen energy conversion based on water splitting. Adv. Energy Mater. 2018, 8, 1701620. [Google Scholar] [CrossRef]
- Hisatomi, T.; Domen, K. Reaction systems for solar hydrogen production via water splitting with particulate semiconductor photocatalysts. Nat. Catal. 2019, 2, 387–399. [Google Scholar] [CrossRef]
- Matsuoka, M.; Kitano, M.; Takeuchi, M.; Tsujimaru, K.; Anpo, M.; Thomas, J.M. Photocatalysis for new energy production: Recent advances in photocatalytic water splitting reactions for hydrogen production. Catal. Today 2007, 122, 51–61. [Google Scholar] [CrossRef]
- Zhu, J.; Zäch, M. Nanostructured materials for photocatalytic hydrogen production. Curr. Opin. Colloid Interface Sci. 2009, 14, 260–269. [Google Scholar] [CrossRef]
- Gholipour, M.R.; Dinh, C.-T.; Béland, F.; Do, T.-O. Nanocomposite heterojunctions as sunlight-driven photocatalysts for hydrogen production from water splitting. Nanoscale 2015, 7, 8187–8208. [Google Scholar] [CrossRef] [PubMed]
- Ni, M.; Leung, M.K.H.; Leung, D.Y.C.; Sumathy, K. A review and recent developments in photocatalytic water-splitting using TiO2 for hydrogen production. Renew. Sustain. Energy Rev. 2007, 11, 401–425. [Google Scholar] [CrossRef]
- Basheer, A.A.; Ali, I. Water photo splitting for green hydrogen energy by green nanoparticles. Int. J. Hydrogen Energy 2019, 44, 11564–11573. [Google Scholar] [CrossRef]
- Nagarajan, D.; Lee, D.-J.; Kondo, A.; Chang, J.-S. Recent insights into biohydrogen production by microalgae—From biophotolysis to dark fermentation. Bioresour. Technol. 2017, 227, 373–387. [Google Scholar] [CrossRef] [PubMed]
- Zhao, Y.; Cimpoia, R.; Liu, Z.; Guiot, S.R. Orthogonal optimization of carboxydothermus hydrogenoformans culture medium for hydrogen production from carbon monoxide by biological water-gas shift reaction. Int. J. Hydrogen Energy 2011, 36, 10655–10665. [Google Scholar] [CrossRef]
- Wang, J.; Yin, Y. Fermentative hydrogen production using various biomass-based materials as feedstock. Renew. Sustain. Energy Rev. 2018, 92, 284–306. [Google Scholar] [CrossRef]
- Dou, B.; Zhang, H.; Song, Y.; Zhao, L.; Jiang, B.; He, M.; Ruan, C.; Chen, H.; Xu, Y. Hydrogen production from the thermochemical conversion of biomass: Issues and challenges. Sustain. Energy Fuels 2019, 3, 314–342. [Google Scholar] [CrossRef]
- Eberle, U.; Felderhoff, M.; Schüth, F. Chemical and physical solutions for hydrogen storage. Angew. Chem. Int. Ed. 2009, 48, 6608–6630. [Google Scholar] [CrossRef]
- Wang, H.; Leung, D.C.Y.; Leung, M.K.H.; Ni, M. A review on hydrogen production using aluminum and aluminum alloys. Renew. Sustain. Energy Rev. 2009, 13, 845–853. [Google Scholar] [CrossRef]
- Mahmoodi, K.; Alinejad, B. Enhancement of hydrogen generation rate in reaction of aluminum with water. Int. J. Hydrogen Energy 2010, 35, 5227–5232. [Google Scholar] [CrossRef]
- Fan, M.-Q.; Sun, L.-X.; Xu, F. Experiment assessment of hydrogen production from activated aluminum alloys in portable generator for fuel cell applications. Energy 2010, 35, 2922–2926. [Google Scholar] [CrossRef]
- Bunker, C.E.; Smith, M.J.; Shiral Fernando, K.A.; Harruff, B.A.; Lewis, W.K.; Gord, J.R.; Guliants, E.A.; Phelps, D.K. Spontaneous hydrogen generation from organic-capped Al nanoparticles and water. ACS Appl. Mater. Interfaces 2010, 2, 11–14. [Google Scholar] [CrossRef] [PubMed]
- Xiao, F.; Guo, Y.; Li, J.; Yang, R. Hydrogen generation from hydrolysis of activated aluminum composites in tap water. Energy 2018, 157, 608–614. [Google Scholar] [CrossRef]
- Santos, D.M.F.; Sequeira, C.A.C. Sodium borohydride as a fuel for the future. Renew. Sustain. Energy Rev. 2011, 15, 3980–4001. [Google Scholar] [CrossRef]
- Çakanyıldırım, Ç.; Gürü, M. Production of NaBH4 and hydrogen release with catalyst. Renew. Energy 2009, 34, 2362–2365. [Google Scholar] [CrossRef]
- Gil-San-Millan, R.; Grau-Atienz, A.; Johnson, D.T.; Rico-Francés, S.; Serrano, E.; Linares, N.; García-Martínez, J. Improving hydrogen production from the hydrolysis of ammonia borane by using multifunctional catalysts. Int. J. Hydrogen Energy 2018, 43, 17100–17111. [Google Scholar] [CrossRef]
- Huang, M.; Ouyang, L.; Wang, H.; Liu, J.; Zhu, M. Hydrogen generation by hydrolysis of MgH2 and enhanced kinetics performance of ammonium chloride introducing. Int. J. Hydrogen Energy 2015, 40, 6145–6150. [Google Scholar] [CrossRef]
- Huang, M.; Ouyang, L.; Chen, Z.; Peng, C.; Zhu, X.; Zhu, M. Hydrogen production via hydrolysis of Mg-oxide composites. Int. J. Hydrogen Energy 2017, 42, 22305–22311. [Google Scholar] [CrossRef]
- Tan, Z.H.; Ouyang, L.Z.; Huang, J.M.; Liu, J.W.; Wang, H.; Shao, H.Y.; Zhu, M. Hydrogen generation via hydrolysis of Mg2Si. J. Alloys Compd. 2019, 770, 108–115. [Google Scholar] [CrossRef]
- Ma, M.; Yang, L.; Ouyang, L.; Shao, H.; Zhu, M. Promoting hydrogen generation from the hydrolysis of Mg-Graphite composites by plasma-assisted milling. Energy 2019, 167, 1205–1211. [Google Scholar] [CrossRef]
- Alasmar, E.; Aubert, I.; Durand, A.; Nakhl, M.; Zakhour, M.; Gaudin, E.; Bobet, J.-L. Hydrogen generation from Mg-NdNiMg15 composites by hydrolysis reaction. Int. J. Hydrogen Energy 2019, 44, 523–530. [Google Scholar] [CrossRef]
- Stern, A.G. A new sustainable hydrogen clean energy paradigm. Int. J. Hydrogen Energy 2018, 43, 4244–4255. [Google Scholar] [CrossRef]
- Weaver, E.R.; Berry, W.M.; Bohnson, V.L.; Gordon, B.D. The Ferrosilicon Process for the Generation of Hydrogen; NACA Technical Report 40; National Bureau of Standards: Washington, DC, USA, 1920; pp. 429–468. Available online: https://ntrs.nasa.gov/search.jsp?R=19930091069 (accessed on 16 July 2020).
- Auner, N. Silicon as an intermediary between renewable energy and hydrogen. Dtsch. Bank Res. 2004, 11, 1–11. Available online: https://www.econstor.eu/handle/10419/21871 (accessed on 16 July 2020).
- Tichapondwa, S.M.; Focke, W.W.; Del Fabbro, O.; Mkhize, S.; Muller, E. Suppressing H2 evolution by silicon powder dispersions. J. Energetic Mater. 2011, 29, 326–343. [Google Scholar] [CrossRef][Green Version]
- Gevorgyan, A.; Mkrtchyan, S.; Grigoryan, T.; Iaroshenko, V.O. Application of silicon-initiated water splitting for the reduction of organic substrates. ChemPlusChem 2018, 375–382. [Google Scholar] [CrossRef]
- Ma, W.; Li, J.; Sun, H.; Chen, J.; Wang, D.; Mao, Z. Robust hydrogen generation over layered crystalline silicon materials via integrated H2 evolution routes. Int. J. Hydrogen Energy 2020. [Google Scholar] [CrossRef]
- Zhang, D.; Shi, J.; Zi, W.; Wang, P.; Liu, S. Recent advances in photoelectrochemical applications of silicon materials for solar-to-chemicals conversion. ChemSusChem 2017, 10, C4324–C4341. [Google Scholar] [CrossRef]
- Chandrasekaran, S.; Kaeffer, N.; Cagnon, L.; Aldakov, D.; Fize, J.; Nonglaton, G.; Baleras, F.; Mailley, P.; Artero, V. A robust ALD-protected silicon-based hybrid photoelectrode for hydrogen evolution under aqueous conditions. Chem. Sci. 2019, 10, 4469–4475. [Google Scholar] [CrossRef]
- Lysenko, V.; Bidault, F.; Alekseev, S.; Zaitsev, V.; Barbier, D.; Turpin, C.; Geobaldo, F.; Rivolo, P.; Garrone, E. Study of porous silicon nanostructures as hydrogen reservoirs. J. Phys. Chem. B 2005, 109, 19711–19718. [Google Scholar] [CrossRef] [PubMed]
- Litvinenko, S.; Alekseev, S.; Lysenko, V.; Venturello, A.; Geobaldo, F.; Gulina, L.; Kuznetsov, G.; Tolstoy, V.; Skryshevsky, V.; Garrone, E.; et al. Hydrogen production from nano-porous Si powder formed by stain etching. Int. J. Hydrogen Energy 2010, 35, 6773–6778. [Google Scholar] [CrossRef]
- Goller, B.; Kovalev, D.; Sreseli, O. Nanosilicon in water as a source of hydrogen: Size and pH matter. Nanotechnology 2011, 22, 305402. [Google Scholar] [CrossRef]
- Imamura, K.; Kimura, K.; Fujie, S.; Kobayashi, H. Hydrogen generation from water using Si nanopowder fabricated from swarf. J. Nanopart. Res. 2016, 18, 116. [Google Scholar] [CrossRef]
- Imamura, K.; Kobayashi, Y.; Matsuda, S.; Akai, T.; Kobayashi, H. Reaction of Si nanopowder with water investigated by FT-IR and XPS. AIP Adv. 2017, 7, 085310. [Google Scholar] [CrossRef]
- Kobayashi, Y.; Matsuda, S.; Imamura, K.; Kobayashi, H. Hydrogen generation by reaction of Si nanopowder with neutral water. J. Nanopart. Res. 2017, 19, 176. [Google Scholar] [CrossRef]
- Erogbogbo, F.; Lin, T.; Tucciarone, P.M.; LaJoie, K.M.; Lai, L.; Patki, G.D.; Prasad, P.N.; Swihart, M.T. On-demand hydrogen generation using nanosilicon: Splitting water without light, heat, or electricity. Nano Lett. 2013, 13, 451–456. [Google Scholar] [CrossRef]
- Allongue, P.; Henry de Villeneuve, C.; Bernard, M.C.; Péou, J.E.; Boutry-Forveille, A.; Lévy-Clément, C. Relationship between porous silicon formation and hydrogen incorporation. Thin Solid Films 1997, 297, 1–4. [Google Scholar] [CrossRef]
- Martın, P.; Fernández, J.F.; Sánchez, C. Hydrogen surface coverage of as-prepared nanocrystalline porous silicon. Mater. Sci. Eng. B 2004, 108, 166–170. [Google Scholar] [CrossRef]
- Kale, P.; Gangal, A.C.; Edla, R.; Sharma, P. Investigation of hydrogen storage behavior of silicon nanoparticles. Int. J. Hydrogen Energy 2012, 37, 3741–3747. [Google Scholar] [CrossRef]
- Manilov, A.I.; Litvinenko, S.V.; Alekseev, S.A.; Kuznetsov, G.V.; Skryshevsky, V.А. Use of powders and composites based on porous and crystalline silicon in the hydrogen power industry. Ukr. J. Phys. 2010, 55, 928–935. [Google Scholar]
- Manilov, A.I.; Alekseev, S.A.; Skryshevsky, V.A.; Litvinenko, S.V.; Kuznetsov, G.V.; Lysenko, V. Influence of palladium particles impregnation on hydrogen behavior in meso-porous silicon. J. Alloys Compd. 2010, 492, 466–472. [Google Scholar] [CrossRef]
- Zhan, C.; Chu, P.K.; Ren, D.; Xin, Y.; Huo, K.; Zou, Y.; Huang, N.K. Release of hydrogen during transformation from porous silicon to silicon oxide at normal temperature. Int. J. Hydrogen Energy 2011, 36, 4513–4517. [Google Scholar] [CrossRef]
- Pastushenko, A.; Litvinenko, S.; Lysenko, V.; Skryshevsky, V. Self-regulated hydrogen generation with the use of nano-powders: Application for portable fuel cells. Phys. Sci. Technol. 2018, 5, 50–59. [Google Scholar] [CrossRef]
- Dai, F.; Zai, J.; Yi, R.; Gordin, M.L.; Sohn, H.; Chen, S.; Wang, D. Bottom-up synthesis of high surface area mesoporous crystalline silicon and evaluation of its hydrogen evolution performance. Nat. Commun. 2014, 5, 3605. [Google Scholar] [CrossRef]
- Liu, D.; Ma, J.; Long, R.; Gao, C.; Xiong, Y. Silicon nanostructures for solar-driven catalytic applications. Nano Today 2017, 17, 96–116. [Google Scholar] [CrossRef]
- Chandrasekaran, S.; Nann, T.; Voelcker, N.H. Silicon nanowire photocathodes for photoelectrochemical hydrogen production. Nanomaterials 2016, 6, 144. [Google Scholar] [CrossRef]
- Bahruji, H.; Bowker, M.; Davies, P.R. Photoactivated reaction of water with silicon nanoparticles. Int. J. Hydrogen Energy 2009, 34, 8504–8510. [Google Scholar] [CrossRef]
- Mathews, N.R.; Sebastian, P.J.; Mathew, X.; Agarwal, V. Photoelectrochemical characterization of porous Si. Int. J. Hydrogen Energy 2003, 8, 629–632. [Google Scholar] [CrossRef]
- Song, H.; Liu, D.; Yang, J.; Wang, L.; Xu, H.; Xiong, Y. Highly crystalline mesoporous silicon spheres for efficient visible photocatalytic hydrogen evolution. ChamNanoMat 2016, 3, 22–26. [Google Scholar] [CrossRef]
- Ali, M.; Starkov, V.V.; Gosteva, E.A.; Druzhinin, A.V.; Sattar, S. Water splitting using porous silicon photo-electrodes for hydrogen production. J. Phys. Conf. Ser. 2017, 917, 052008. [Google Scholar] [CrossRef]
- Barabash, R.N.; Alekseev, S.A.; Zaitsev, V.N.; Barbier, D. Oxidation resistance of porous silicon and modification of porous silicon by vinylsilanes. Ukr. Khim. Zh. 2006, 72, 78–84. [Google Scholar]
- Manilov, A.I. Problems of application of porous silicon to chemical and photocatalytic productions of hydrogen. Ukr. J. Phys. 2016, 61, 233–239. [Google Scholar] [CrossRef]
- Halimaoui, A. Porous silicon formation by anodisation. In Properties of Porous Silicon; Canham, L., Ed.; INSPEC, The IEE: London, UK, 1997; pp. 2–12. [Google Scholar]
- Nychyporuk, T.; Lysenko, V.; Barbier, D. Fractal nature of porous silicon nanocrystallites. Phys. Rev. B 2005, 71, 115402. [Google Scholar] [CrossRef]









© 2020 by the authors. Licensee MDPI, Basel, Switzerland. This article is an open access article distributed under the terms and conditions of the Creative Commons Attribution (CC BY) license (http://creativecommons.org/licenses/by/4.0/).
Share and Cite
Mussabek, G.; Alekseev, S.A.; Manilov, A.I.; Tutashkonko, S.; Nychyporuk, T.; Shabdan, Y.; Amirkhanova, G.; Litvinenko, S.V.; Skryshevsky, V.A.; Lysenko, V. Kinetics of Hydrogen Generation from Oxidation of Hydrogenated Silicon Nanocrystals in Aqueous Solutions. Nanomaterials 2020, 10, 1413. https://doi.org/10.3390/nano10071413
Mussabek G, Alekseev SA, Manilov AI, Tutashkonko S, Nychyporuk T, Shabdan Y, Amirkhanova G, Litvinenko SV, Skryshevsky VA, Lysenko V. Kinetics of Hydrogen Generation from Oxidation of Hydrogenated Silicon Nanocrystals in Aqueous Solutions. Nanomaterials. 2020; 10(7):1413. https://doi.org/10.3390/nano10071413
Chicago/Turabian StyleMussabek, Gauhar, Sergei A. Alekseev, Anton I. Manilov, Sergii Tutashkonko, Tetyana Nychyporuk, Yerkin Shabdan, Gulshat Amirkhanova, Sergei V. Litvinenko, Valeriy A. Skryshevsky, and Vladimir Lysenko. 2020. "Kinetics of Hydrogen Generation from Oxidation of Hydrogenated Silicon Nanocrystals in Aqueous Solutions" Nanomaterials 10, no. 7: 1413. https://doi.org/10.3390/nano10071413
APA StyleMussabek, G., Alekseev, S. A., Manilov, A. I., Tutashkonko, S., Nychyporuk, T., Shabdan, Y., Amirkhanova, G., Litvinenko, S. V., Skryshevsky, V. A., & Lysenko, V. (2020). Kinetics of Hydrogen Generation from Oxidation of Hydrogenated Silicon Nanocrystals in Aqueous Solutions. Nanomaterials, 10(7), 1413. https://doi.org/10.3390/nano10071413

