Nonvolatile, Reconfigurable and Narrowband Mid-Infrared Filter Based on Surface Lattice Resonance in Phase-Change Ge2Sb2Te5
Abstract
1. Introduction
2. Theory and Simulation Setup
3. Results and Discussion
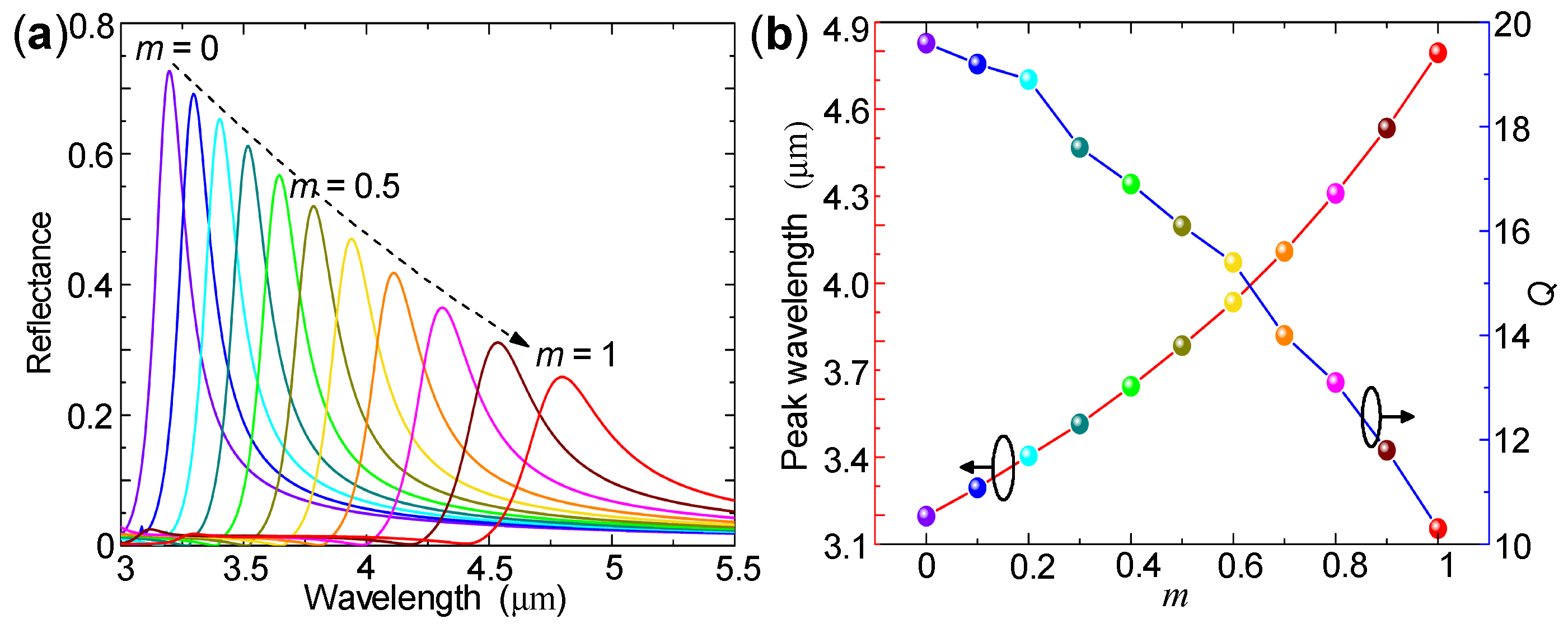
3.1. Spectral Tunability
3.2. Physics Mechanisms
3.3. Effects of Gold Nanorod Sizes
4. Conclusions
Author Contributions
Funding
Conflicts of Interest
References
- Willer, U.; Saraji, M.; Khorsandi, A.; Geiser, P.; Schade, W. Near-and mid-infrared laser monitoring of industrial processes, environment and security applications. Opt. Lasers Eng. 2006, 44, 699–710. [Google Scholar] [CrossRef]
- Bhargava, R. Infrared spectroscopic imaging: The next generation. Appl. Spectrosc. 2012, 66, 1091–1120. [Google Scholar] [CrossRef] [PubMed]
- Tattersall, G.J. Infrared thermography: A non-invasive window into thermal physiology. Comp. Biochem. Physiol. Part A Mol. Integr. Physiol. 2016, 202, 78–98. [Google Scholar] [CrossRef] [PubMed]
- Ward, J.; Valle, S. Acousto-optic devices for operation in the infrared. Proc. SPIE 2018, 10683, 1068327. [Google Scholar]
- Korablev, O.I.; Belyaev, D.A.; Dobrolenskiy, Y.S.; Trokhimovskiy, A.Y.; Kalinnikov, Y.K. Acousto-optic tunable filter spectrometers in space missions [Invited]. Appl. Opt. 2018, 57, C103–C119. [Google Scholar] [CrossRef]
- Ebermann, M.; Neumann, N.; Hiller, K.; Seifert, M.; Meinig, M.; Kurth, S. Tunable MEMS Fabry-Pérot filters for infrared microspectrometers: A review. Proc. SPIE 2016, 9760, 97600H. [Google Scholar]
- Wang, Z.; Lall, J.K.; Folwill, Y.; Zappe, H. Compact tunable mid-infrared Fabry–Pérot filters actuated by liquid crystal elastomers. J. Micromech. Microeng. 2020, 30, 075002. [Google Scholar] [CrossRef]
- Julian, M.N.; Williams, C.; Borg, S.; Bartram, S.; Kim, H.J. Reversible optical tuning of GeSbTe phase-change metasurface spectral filters for mid-wave infrared imaging. Optica 2020, 7, 746–754. [Google Scholar] [CrossRef]
- Wuttig, M.; Bhaskaran, H.; Taubner, T. Phase-change materials for non-volatile photonic applications. Nat. Photon. 2017, 11, 465–476. [Google Scholar] [CrossRef]
- Cao, T.; Cen, M. Fundamentals and applications of chalcogenide phase-change material photonics. Adv. Theory Simul. 2019, 2, 1900094. [Google Scholar] [CrossRef]
- Ding, F.; Yang, Y.; Bozhevolnyi, S.I. Dynamic metasurfaces using phase-change chalcogenides. Adv. Optical Mater. 2019, 7, 1801709. [Google Scholar] [CrossRef]
- Abdollahramezani, S.; Hemmatyar, O.; Taghinejad, H.; Krasnok, A.; Kiarashinejad, Y.; Zandehshahvar, M.; Alù, A.; Adibi, A. Tunable nanophotonics enabled by chalcogenide phase-change materials. Nanophotonics 2020, 9, 20200039. [Google Scholar] [CrossRef]
- Cao, T.; Zhang, L.; Simpson, R.E.; Cryan, M.J. Mid-infrared tunable polarization-independent perfect absorber using a phase-change metamaterial. J. Opt. Soc. Am. B 2013, 30, 1580–1585. [Google Scholar] [CrossRef]
- Cao, T.; Simpson, R.E.; Cryan, M.J. Study of tunable negative index metamaterials based on phase-change materials. J. Opt. Soc. Am. B 2013, 30, 439–444. [Google Scholar] [CrossRef]
- Tittl, A.; Michel, A.K.U.; Schäferling, M.; Yin, X.; Gholipour, B.; Cui, L.; Wuttig, M.; Taubner, T.; Neubrech, F.; Giessen, H. A switchable mid-infrared plasmonic perfect absorber with multispectral thermal imaging capability. Adv. Mater. 2015, 27, 4597–4603. [Google Scholar] [CrossRef]
- Tian, X.; Xu, J.; Xu, K.; Ma, X.; Duan, X.; Yang, P.; Ding, P.; Li, Z.Y. Wavelength-selective, tunable and switchable plasmonic perfect absorbers based on phase change materials Ge2Sb2Te5. EPL 2019, 128, 67001. [Google Scholar] [CrossRef]
- Ding, X.; Yang, X.; Wang, J.; Guo, K.; Shen, F.; Zhou, H.; Sun, R.; Ding, Z.; Gao, J.; Guo, Z. Theoretical analysis and simulation of a tunable mid-infrared filter based on Ge2Sb2Te5 (GST) metasurface. Superlatt. Microstruct. 2019, 132, 106169. [Google Scholar] [CrossRef]
- Zhou, K.; Cheng, Q.; Lu, L.; Li, B.; Song, J.; Si, M.; Luo, Z. Multichannel tunable narrowband mid-infrared optical filter based on phase-change material Ge2Sb2Te5 defect layers. Appl. Opt. 2020, 59, 595–600. [Google Scholar] [CrossRef]
- Williams, C.; Hong, N.; Julian, M.; Borg, S.; Kim, H.J. Tunable mid-wave infrared Fabry-Perot bandpass filters using phase-change GeSbTe. Opt. Express 2020, 28, 10583–10594. [Google Scholar] [CrossRef]
- Rudé, M.; Mkhitaryan, V.; Cetin, A.E.; Miller, T.A.; Carrilero, A.; Wall, S.; de Abajo, F.J.G.; Altug, H.; Pruneri, V. Ultrafast and broadband tuning of resonant optical nanostructures using phase-change materials. Adv. Opt. Mater. 2016, 4, 1060–1066. [Google Scholar] [CrossRef]
- Trimby, L.; Wright, D.; Baldycheva, A. Phase-change band-pass filters for multispectral imaging. Proc. SPIE 2018, 10541, 105412B. [Google Scholar]
- Kravets, V.G.; Kabashin, A.V.; Barnes, W.L.; Grigorenko, A.N. Plasmonic surface lattice resonances: A review of properties and applications. Chem. Rev. 2018, 118, 5912–5951. [Google Scholar] [CrossRef] [PubMed]
- Rajeeva, B.B.; Lin, L.; Zheng, Y. Design and applications of lattice plasmon resonances. Nano Res. 2018, 11, 4423–4440. [Google Scholar] [CrossRef]
- Wang, W.; Ramezani, M.; Väkeväinen, A.I.; Törmä, P.; Rivas, J.G.; Odom, T.W. The rich photonic world of plasmonic nanoparticle arrays. Mater. Today 2018, 21, 303–314. [Google Scholar] [CrossRef]
- Li, Z.; Butun, S.; Aydin, K. Ultranarrow band absorbers based on surface lattice resonances in nanostructured metal surfaces. ACS Nano 2014, 8, 8242–8248. [Google Scholar] [CrossRef]
- Chen, Y.G.; Kao, T.S.; Ng, B.; Li, X.; Luo, X.G.; Luk’yanchuk, B.; Maier, S.A.; Hong, M.H. Hybrid phase-change plasmonic crystals for active tuning of lattice resonances. Opt. Express 2013, 21, 13691–13698. [Google Scholar] [CrossRef]
- Michel, A.K.U.; Chigrin, D.N.; Maß, T.W.W.; Schönauer, K.; Salinga, M.; Wuttig, M.; Taubner, T. Using low-loss phase-change materials for mid-infrared antenna resonance tuning. Nano Lett. 2013, 13, 3470–3475. [Google Scholar] [CrossRef]
- West, P.R.; Ishii, S.; Naik, G.V.; Emani, N.K.; Shalaev, V.M.; Boltasseva, A. Searching for better plasmonic materials. Laser Photonics Rev. 2010, 4, 795–808. [Google Scholar] [CrossRef]
- Chew, L.T.; Dong, W.; Liu, L.; Zhou, X.; Behera, J.; Liu, H.; Sreekanth, K.V.; Mao, L.; Cao, T.; Yang, J.; et al. Chalcogenide active photonics. Proc. SPIE 2017, 10345, 103451B. [Google Scholar]
- Moharam, M.G.; Pommet, D.A.; Grann, E.B.; Gaylord, T.K. Stable implementation of the rigorous coupled-wave analysis for surface-relief gratings: enhanced transmittance matrix approach. J. Opt. Soc. Am. A 1995, 12, 1077–1086. [Google Scholar] [CrossRef]
- Lalanne, P. Improved formulation of the coupled-wave method for two-dimensional gratings. J. Opt. Soc. Am. A 1997, 14, 1592–1598. [Google Scholar] [CrossRef]
- David, A.; Benisty, H. Fast factorization rule and plane-wave expansion method for two-dimensional photonic crystals with arbitrary hole-shape. Phys. Rev. B Condens. Matter Mater. 2006, 73, 075107. [Google Scholar] [CrossRef]
- Olmon, R.L.; Slovick, B.; Johnson, T.W.; Shelton, D.; Oh, S.H.; Boreman, G.D.; Raschke, M.B. Optical dielectric function of gold. Phys. Rev. B Condens. Matter Mater. 2012, 86, 235147. [Google Scholar] [CrossRef]
- Aspnes, D. Local-field effects and effective-medium theory: A microscopic perspective. Am. J. Phys. 1982, 50, 704–709. [Google Scholar] [CrossRef]
- Wang, W.; Watkins, N.; Yang, A.; Schaller, R.D.; Schatz, G.C.; Odom, T.W. Ultrafast dynamics of lattice plasmon lasers. J. Phys. Chem. Lett. 2019, 10, 3301–3306. [Google Scholar] [CrossRef]
- Muravitskaya, A.; Movsesyan, A.; Kostcheev, S.; Adam, P.M. Polarization switching between parallel and orthogonal collective resonances in arrays of metal nanoparticles. J. Opt. Soc. Am. B 2019, 36, E65–E70. [Google Scholar] [CrossRef]
- Huttunen, M.J.; Dolgaleva, K.; Törmä, P.; Boyd, R.W. Ultra-strong polarization dependence of surface lattice resonances with out-of-plane plasmon oscillations. Opt. Express 2016, 24, 28279–28289. [Google Scholar] [CrossRef]






| Work | Spectral Tunability | Efficiencies | Quality Factors |
|---|---|---|---|
| Ref. [8] | 2.91 m–3.41 m | 70–70% | 45–45 |
| Ref. [13] | 2.23 m–2.46 m | 96–80% | 44.6–61.5 |
| Ref. [19] | 4.26 m–4.55 m | 60–75% | 70–90 |
| Ref. [26] | 1.89 m–2.27 m | 17–28% | 17–13 |
| This work | 3.179 m–4.795 m | 72.6–25.8% | 19.6–10.3 |
Publisher’s Note: MDPI stays neutral with regard to jurisdictional claims in published maps and institutional affiliations. |
© 2020 by the authors. Licensee MDPI, Basel, Switzerland. This article is an open access article distributed under the terms and conditions of the Creative Commons Attribution (CC BY) license (http://creativecommons.org/licenses/by/4.0/).
Share and Cite
Shi, X.; Chen, C.; Liu, S.; Li, G. Nonvolatile, Reconfigurable and Narrowband Mid-Infrared Filter Based on Surface Lattice Resonance in Phase-Change Ge2Sb2Te5. Nanomaterials 2020, 10, 2530. https://doi.org/10.3390/nano10122530
Shi X, Chen C, Liu S, Li G. Nonvolatile, Reconfigurable and Narrowband Mid-Infrared Filter Based on Surface Lattice Resonance in Phase-Change Ge2Sb2Te5. Nanomaterials. 2020; 10(12):2530. https://doi.org/10.3390/nano10122530
Chicago/Turabian StyleShi, Xingzhe, Changshui Chen, Songhao Liu, and Guangyuan Li. 2020. "Nonvolatile, Reconfigurable and Narrowband Mid-Infrared Filter Based on Surface Lattice Resonance in Phase-Change Ge2Sb2Te5" Nanomaterials 10, no. 12: 2530. https://doi.org/10.3390/nano10122530
APA StyleShi, X., Chen, C., Liu, S., & Li, G. (2020). Nonvolatile, Reconfigurable and Narrowband Mid-Infrared Filter Based on Surface Lattice Resonance in Phase-Change Ge2Sb2Te5. Nanomaterials, 10(12), 2530. https://doi.org/10.3390/nano10122530

