A Large-Area and Nanoscale Graphene Oxide Diaphragm-Based Extrinsic Fiber-Optic Fabry–Perot Acoustic Sensor Applied for Partial Discharge Detection in Air
Abstract
1. Introduction
2. Materials and Methods
2.1. Structural Design of the Sensing Probe
2.2. Production of the Sensing Probe
3. Results and Discussion
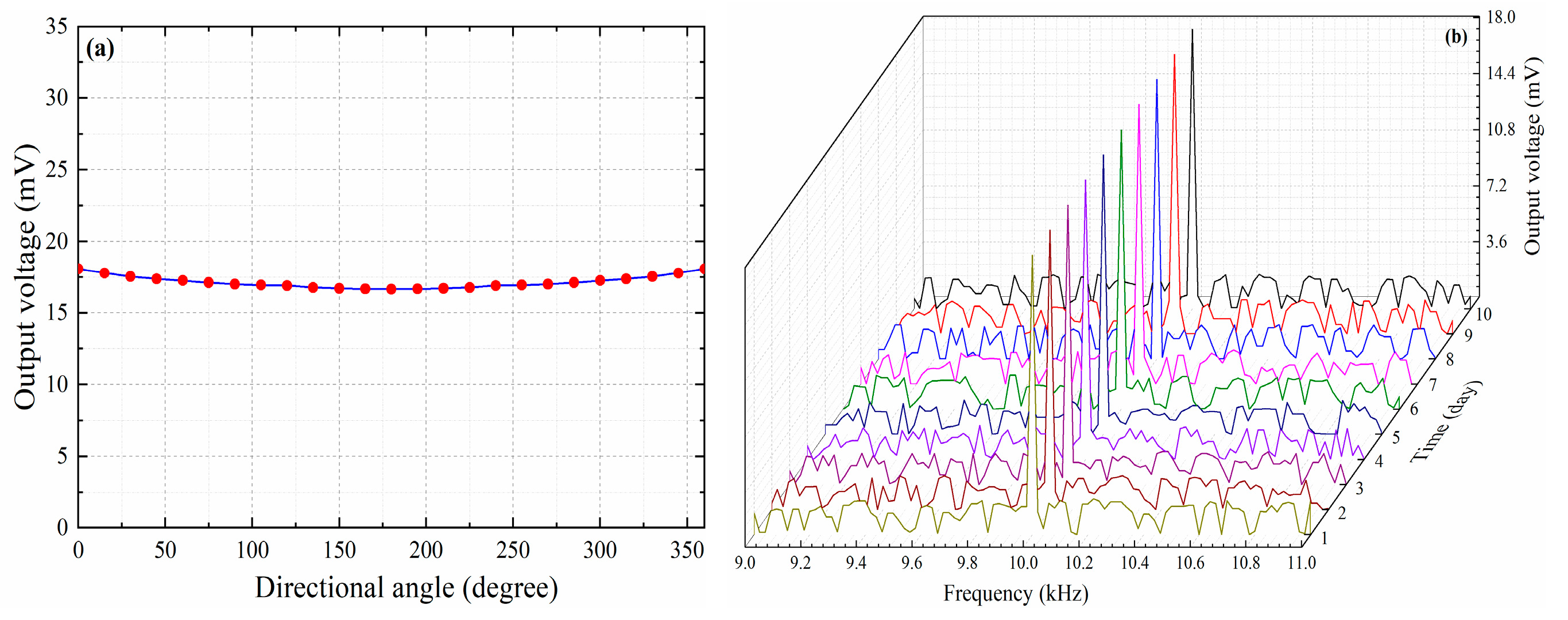
3.1. Performance Tests of the Proposed Sensor
3.2. Experiment on the Detection of Partial Discharges in Air
4. Conclusions
Author Contributions
Funding
Acknowledgments
Conflicts of Interest
References
- Ma, G.M.; Zhou, H.Y.; Zhang, M.; Li, C.R.; Yin, Y.; Wu, Y.Y. A high sensitivity fiber-optic sensor for GIS partial discharge detection. IEEE Sens. J. 2019, 19, 9235–9243. [Google Scholar] [CrossRef]
- Qian, S.; Chen, H.; Xu, Y.; Su, L. High sensitivity detection of partial discharge acoustic emission within power transformer by Sagnac Fiber optic sensor. IEEE Trans. Dielectr. Electr. Insul. 2018, 25, 2313–2320. [Google Scholar] [CrossRef]
- Ren, M.; Wang, S.Y.; Zhou, J.R.; Zhuang, T.X.; Yang, S.J. Multispectral detection of partial discharge in SF6 gas with silicon photomultiplier-based sensor array. Sens. Actuators A 2018, 283, 113–122. [Google Scholar] [CrossRef]
- Ma, G.M.; Zhou, H.Y.; Shi, C.; Li, Y.B.; Zhang, Q.; Li, C.R.; Zhang, Q. Distributed partial discharge detection in a power transformer based on phase-shifted FBG. IEEE Sens. J. 2018, 18, 2788–2795. [Google Scholar] [CrossRef]
- Xie, Q.; Wang, Y.Y.; Li, T.; Bian, X.M.; Zhang, H.W.; Xu, Y.Q. Application of signal sparse decomposition in the detection of partial discharge by ultrasonic array method. IEEE Trans. Dielectr. Electr. Insul. 2015, 22, 2031–2040. [Google Scholar] [CrossRef]
- Yu, B.; Kim, D.W.; Deng, J.D.; Xiao, H.; Wang, A. Fiber Fabry-Perot sensors for detection of partial discharges in power transformers. Appl. Opt. 2003, 42, 3241–3250. [Google Scholar] [CrossRef]
- Wang, X.D.; Li, B.Q.; Xiao, Z.X.; Lee, S.H.; Roman, H.; Russo, O.L.; Chin, K.K.; Farmer, K.R. An ultra-sensitive optical MEMS sensor for partial discharge detection. J. Micromech. Microeng. 2005, 15, 521–527. [Google Scholar] [CrossRef]
- Lee, C.L.; Ho, H.Y.; Gu, J.H.; Yeh, T.Y.; Tseng, C.H. Dual hollow core fiber-based Fabry-Perot interferometer for measuring the thermo-optic coefficients of liquids. Opt. Lett. 2015, 40, 459–462. [Google Scholar] [CrossRef] [PubMed]
- Li, Z.; Jia, P.G.; Fang, G.C.; Liang, H.; Liang, T.; Liu, W.Y.; Xiong, J.J. Microbubble-based fiber-optic Fabry-Perot pressure sensor for high-temperature application. Appl. Opt. 2018, 57, 1738–1743. [Google Scholar] [CrossRef] [PubMed]
- Liao, C.R.; Liu, S.; Xu, L.; Wang, C.; Wang, Y.P.; Li, Z.Y.; Wang, Q.; Wang, D.N. Sub-micron silica diaphragm-based fiber-tip Fabry-Perot interferometer for pressure measurement. Opt. Lett. 2014, 39, 2827–2830. [Google Scholar] [CrossRef] [PubMed]
- Yin, X.L.; Shen, Y.D.; Su, D.; Shao, Z.H. High-spatial-resolution ultrasonic sensor using a fiber-optic Fabry-Perot interferometer. Opt. Commun. 2019, 453, 1–6. [Google Scholar] [CrossRef]
- Ma, J.; Yu, Y.Q.; Jin, W. Demodulation of diaphragm based acoustic sensor using Sagnac interferometer with stable phase bias. Opt. Express 2015, 23, 29268–29278. [Google Scholar] [CrossRef] [PubMed]
- Wang, Y.; Wang, D.N.; Wang, C.; Hu, T.Y. Compressible fiber optic micro-Fabry-Perot cavity with ultra-high pressure sensitivity. Opt. Express 2013, 21, 14084–14089. [Google Scholar] [CrossRef] [PubMed]
- Liu, J.; Jia, P.G.; Zhang, H.X.; Tian, X.D.; Liang, H.; Hong, Y.P.; Liang, T.; Liu, W.Y.; Xiong, J.J. Fiber-optic Fabry-Perot pressure sensor based on low-temperature co-fired ceramic technology for high-temperature applications. Appl. Opt. 2018, 57, 4211–4215. [Google Scholar] [CrossRef] [PubMed]
- Guo, F.W.; Fink, T.; Han, M.; Koester, L.; Turner, J.; Huang, J.S. High-sensitivity, high-frequency extrinsic Fabry-Perot interferometric fiber-tip sensor based on a thin silver diaphragm. Opt. Lett. 2012, 37, 1505–1507. [Google Scholar] [CrossRef]
- Yu, F.F.; Liu, Q.W.; Gan, X.; Hu, M.X.; Zhang, T.Y.; Li, C.; Kang, F.Y.; Terrones, M.; Lv, R.T. Ultrasensitive pressure detection of few-layer MoS2. Adv. Mater. 2017, 29, 1–9. [Google Scholar] [CrossRef]
- Ma, J.; Xuan, H.F.; Ho, H.L.; Jin, W.; Yang, Y.H.; Fan, S.C. Fiber-optic Fabry-Perot acoustic sensor with multilayer graphene diaphragm. IEEE Photonics Technol. Lett. 2013, 25, 932–935. [Google Scholar] [CrossRef]
- Murphy, K.A.; Gunther, M.F.; Vengsarkar, A.M.; Claus, R.O. Quadrature phase-shifted, extrinsic Fabry-Perot fiber-optic sensors. Opt. Lett. 1991, 16, 273–275. [Google Scholar] [CrossRef]
- Wang, F.Y.; Shao, Z.Z.; Xie, J.H.; Hu, Z.L.; Luo, H.; Hu, Y.M. Extrinsic Fabry-Perot underwater acoustic sensor based on micromachined center-embossed diaphragm. IEEE Photonics Technol. Lett. 2014, 32, 4026–4034. [Google Scholar]
- Liu, L.; Lu, P.; Wang, S.; Fu, X.; Sun, Y.; Liu, D.M.; Zhang, J.S.; Xu, H.; Yao, Q.P. UV adhesive diaphragm-based FPI sensor for very-low-frequency acoustic sensing. IEEE Photonics J. 2016, 8, 1–9. [Google Scholar] [CrossRef]
- Gallego, D.; Lamela, H. High-sensitivity ultrasound interferometric single-mode polymer fiber-optic sensors for biomedical applications. Opt. Lett. 2009, 34, 1807–1809. [Google Scholar] [CrossRef] [PubMed]
- Xu, F.; Shi, J.H.; Gong, K.; Li, H.F.; Hui, R.Q.; Yu, B.L. Fiber-optic acoustic pressure sensor based on large-area nanolayer silver diaphragm. Opt. Lett. 2014, 39, 2838–2840. [Google Scholar] [CrossRef] [PubMed]
- Liu, L.; Lu, P.; Liao, H.; Wang, S.; Yang, W.; Liu, D.M.; Zhang, J.S. Fiber-optic Michelson interferometric acoustic sensor based on a PP/PET diaphragm. IEEE Sens. J. 2016, 16, 3054–3058. [Google Scholar] [CrossRef]
- Eda, G.; Fanchini, G.; Chhowalla, M. Large-area ultrathin films of reduced graphene oxide as a transparent and flexible electronic material. Nat. Nanotechnol. 2008, 3, 270–274. [Google Scholar] [CrossRef] [PubMed]
- Dikin, D.A.; Stankovich, S.; Zimney, E.J.; Piner, R.D.; Dommett, G.H.B.; Evmenenko, G.; Nguyen, S.T.; Ruoff, R.S. Preparation and characterization of graphene oxide paper. Nature 2007, 448, 457–460. [Google Scholar] [CrossRef] [PubMed]
- Park, S.; Lee, K.S.; Bozoklu, G.; Cai, W.; Nguyen, S.T.; Ruoff, R.S. Graphene oxide papers modified by divalentions-enhancing mechanical properties via chemical cross-linking. ACS Nano 2008, 2, 572–578. [Google Scholar] [CrossRef] [PubMed]
- Suk, J.W.; Piner, R.D.; An, J.H.; Ruoff, R.S. Mechanical properties of Mano layer graphene oxide. ACS Nano 2010, 4, 6557–6564. [Google Scholar] [CrossRef]
- Chen, L.H.; Chan, C.C.; Yuan, W.; Goh, S.K.; Sun, J. High performance chitosan diaphragm-based fiber-optic acoustic sensor. Sens. Actuators A 2010, 163, 42–47. [Google Scholar] [CrossRef]














Publisher’s Note: MDPI stays neutral with regard to jurisdictional claims in published maps and institutional affiliations. |
© 2020 by the authors. Licensee MDPI, Basel, Switzerland. This article is an open access article distributed under the terms and conditions of the Creative Commons Attribution (CC BY) license (http://creativecommons.org/licenses/by/4.0/).
Share and Cite
Wang, S.; Chen, W. A Large-Area and Nanoscale Graphene Oxide Diaphragm-Based Extrinsic Fiber-Optic Fabry–Perot Acoustic Sensor Applied for Partial Discharge Detection in Air. Nanomaterials 2020, 10, 2312. https://doi.org/10.3390/nano10112312
Wang S, Chen W. A Large-Area and Nanoscale Graphene Oxide Diaphragm-Based Extrinsic Fiber-Optic Fabry–Perot Acoustic Sensor Applied for Partial Discharge Detection in Air. Nanomaterials. 2020; 10(11):2312. https://doi.org/10.3390/nano10112312
Chicago/Turabian StyleWang, Shuchao, and Weigen Chen. 2020. "A Large-Area and Nanoscale Graphene Oxide Diaphragm-Based Extrinsic Fiber-Optic Fabry–Perot Acoustic Sensor Applied for Partial Discharge Detection in Air" Nanomaterials 10, no. 11: 2312. https://doi.org/10.3390/nano10112312
APA StyleWang, S., & Chen, W. (2020). A Large-Area and Nanoscale Graphene Oxide Diaphragm-Based Extrinsic Fiber-Optic Fabry–Perot Acoustic Sensor Applied for Partial Discharge Detection in Air. Nanomaterials, 10(11), 2312. https://doi.org/10.3390/nano10112312
