Characteristics and Antitumor Activity of Doxorubicin-Loaded Multifunctional Iron Oxide Nanoparticles in MEC1 and RM1 Cell Lines
Abstract
1. Introduction
2. Materials and Methods
- Cultivation of cell lines;
- Obtaining the required concentration for cell research (10,000 cells/mL);
- Making different combinations of nanoparticle-drug systems (Table 1);
- Incubation of cells and nanofluid in an environment as close as possible to the organism (37 °C, 5% CO2);
- Cytotoxicity assessment of samples at 0, 24, and 48 h using the MTT method;
- Experiments were conducted twice, with each sample analyzed in duplicate;
- All the experiments included a “control”—cells that were incubated without any particles added, ensuring a clear comparison to the treated samples.
3. Results
3.1. Characterization of Nanoparticles
3.1.1. ELS and DLS Results
3.1.2. XRD Results
3.1.3. TEM Results
3.1.4. VSM Results
3.1.5. UV-Vis Optical Studies
3.1.6. FTIR Analysis
3.2. Results of Biological Studies
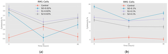
3.2.1. Effects of Nanoparticles on RM1 Cell Lines
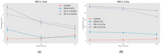
3.2.2. Effects of Functionalized Nanoparticles on MEC1 Cell Lines
3.2.3. Results of Fluorescence Microscopy Performed on MEC1 Cell Culture
4. Discussion
5. Conclusions
Author Contributions
Funding
Institutional Review Board Statement
Informed Consent Statement
Data Availability Statement
Acknowledgments
Conflicts of Interest
References
- Kurczewska, J.; Dobosz, B. Recent Progress and Challenges Regarding Magnetite-Based Nanoparticles for Targeted Drug Delivery. Appl. Sci. 2024, 14, 1132. [Google Scholar] [CrossRef]
- Kong, X.; Gao, P.; Wang, J.; Fang, Y.; Hwang, K.C. Advances of Medical Nanorobots for Future Cancer Treatments. J. Hematol. Oncol. 2023, 16, 74. [Google Scholar] [CrossRef] [PubMed]
- Lage, T.; Rodrigues, R.O.; Catarino, S.; Gallo, J.; Bañobre-López, M.; Minas, G. Graphene-Based Magnetic Nanoparticles for Theranostics: An Overview for Their Potential in Clinical Application. Nanomaterials 2021, 11, 1073. [Google Scholar] [CrossRef] [PubMed]
- Ramírez-Morales, M.A.; Goldt, A.E.; Kalachikova, P.M.; Ramirez, B.J.A.; Suzuki, M.; Zhigach, A.N.; Ben Salah, A.; Shurygina, L.I.; Shandakov, S.D.; Zatsepin, T.; et al. Albumin Stabilized Fe@C Core–Shell Nanoparticles as Candidates for Magnetic Hyperthermia Therapy. Nanomaterials 2022, 12, 2869. [Google Scholar] [CrossRef]
- Kovrigina, E.; Chubarov, A.; Dmitrienko, E. High Drug Capacity Doxorubicin-Loaded Iron Oxide Nanocomposites for Cancer Therapy. Magnetochemistry 2022, 8, 54. [Google Scholar] [CrossRef]
- Kargol, A.; Malkinski, L.; Caruntu, G. Biomedical Applications of Multiferroic Nanoparticles. In Advanced Magnetic Materials; Malkinski, L., Ed.; IntechOpen: Rijeka, Croatia, 2012; ISBN 978-953-51-0637-1. [Google Scholar]
- Park, T.; Amatya, R.; Min, K.A.; Shin, M.C. Liposomal Iron Oxide Nanoparticles Loaded with Doxorubicin for Combined Chemo-Photothermal Cancer Therapy. Pharmaceutics 2023, 15, 292. [Google Scholar] [CrossRef]
- Rodrigues, R.O.; Sousa, P.C.; Gaspar, J.; Bañobre-López, M.; Lima, R.; Minas, G. Organ-on-a-Chip: A Preclinical Microfluidic Platform for the Progress of Nanomedicine. Small 2020, 16, 2003517. [Google Scholar] [CrossRef]
- Wang, Y.; Zhao, Q.; Han, N.; Bai, L.; Li, J.; Liu, J.; Che, E.; Hu, L.; Zhang, Q.; Jiang, T.; et al. Mesoporous Silica Nanoparticles in Drug Delivery and Biomedical Applications. Nanomed. Nanotechnol. Biol. Med. 2015, 11, 313–327. [Google Scholar] [CrossRef]
- Markhulia, J.; Kekutia, S.; Mitskevichi, N.; Mikelashvili, V.; Saneblidze, L.; Leladze, N.; Jabua, Z.; Sacarescu, L.; Kriechbaum, M.; Almásy, L. Synthesis and in Vivo Investigation of Therapeutic Effect of Magnetite Nanofluids in Mouse Prostate Cancer Model. Dig. J. Nanomater. Biostruct. 2018, 13, 1081–1090. [Google Scholar]
- Markhulia, J.; Kekutia, S.; Mikelashvili, V.; Saneblidze, L.; Tsertsvadze, T.; Maisuradze, N.; Leladze, N.; Czigány, Z.; Almásy, L. Synthesis, Characterization, and In Vitro Cytotoxicity Evaluation of Doxorubicin-Loaded Magnetite Nanoparticles on Triple-Negative Breast Cancer Cell Lines. Pharmaceutics 2023, 15, 1758. [Google Scholar] [CrossRef]
- Dockery, L.T.; Daniel, M.-C. Targeted Doxorubicin-Loaded Dendronized Gold Nanoparticles. Pharmaceutics 2023, 15, 2103. [Google Scholar] [CrossRef] [PubMed]
- Jose, S.; Sowmya, S.; Cinu, T.A.; Aleykutty, N.A.; Thomas, S.; Souto, E.B. Surface Modified PLGA Nanoparticles for Brain Targeting of Bacoside-A. Eur. J. Pharm. Sci. 2014, 63, 29–35. [Google Scholar] [CrossRef] [PubMed]
- Chaparro, C.I.P.; Simões, B.T.; Borges, J.P.; Castanho, M.A.R.B.; Soares, P.I.P.; Neves, V. A Promising Approach: Magnetic Nanosystems for Alzheimer’s Disease Theranostics. Pharmaceutics 2023, 15, 2316. [Google Scholar] [CrossRef] [PubMed]
- Poudel, P.; Park, S. Recent Advances in the Treatment of Alzheimer’s Disease Using Nanoparticle-Based Drug Delivery Systems. Pharmaceutics 2022, 14, 835. [Google Scholar] [CrossRef]
- Obaidat, I.M.; Narayanaswamy, V.; Alaabed, S.; Sambasivam, S.; Muralee Gopi, C.V.V. Principles of Magnetic Hyperthermia: A Focus on Using Multifunctional Hybrid Magnetic Nanoparticles. Magnetochemistry 2019, 5, 67. [Google Scholar] [CrossRef]
- Ioannou, P.; Baliou, S.; Samonis, G. Nanotechnology in the Diagnosis and Treatment of Antibiotic-Resistant Infections. Antibiotics 2024, 13, 121. [Google Scholar] [CrossRef]
- Palzer, J.; Eckstein, L.; Slabu, I.; Reisen, O.; Neumann, U.P.; Roeth, A.A. Iron Oxide Nanoparticle-Based Hyperthermia as a Treatment Option in Various Gastrointestinal Malignancies. Nanomaterials 2021, 11, 3013. [Google Scholar] [CrossRef]
- Mu, X.; Li, J.; Yan, S.; Zhang, H.; Zhang, W.; Zhang, F.; Jiang, J. siRNA Delivery with Stem Cell Membrane-Coated Magnetic Nanoparticles for Imaging-Guided Photothermal Therapy and Gene Therapy. ACS Biomater. Sci. Eng. 2018, 4, 3895–3905. [Google Scholar] [CrossRef]
- Chowdhury, P.; Roberts, A.M.; Khan, S.; Hafeez, B.B.; Chauhan, S.C.; Jaggi, M.; Yallapu, M.M. Magnetic Nanoformulations for Prostate Cancer. Drug Discov. Today 2017, 22, 1233–1241. [Google Scholar] [CrossRef]
- Singh, N.; Sallem, F.; Mirjolet, C.; Nury, T.; Sahoo, S.K.; Millot, N.; Kumar, R. Polydopamine Modified Superparamagnetic Iron Oxide Nanoparticles as Multifunctional Nanocarrier for Targeted Prostate Cancer Treatment. Nanomaterials 2019, 9, 138. [Google Scholar] [CrossRef]
- Hillmen, P.; Pitchford, A.; Bloor, A.; Broom, A.; Young, M.; Kennedy, B.; Walewska, R.; Furtado, M.; Preston, G.; Neilson, J.R.; et al. Ibrutinib and Rituximab versus Fludarabine, Cyclophosphamide, and Rituximab for Patients with Previously Untreated Chronic Lymphocytic Leukaemia (FLAIR): Interim Analysis of a Multicentre, Open-Label, Randomised, Phase 3 Trial. Lancet Oncol. 2023, 24, 535–552. [Google Scholar] [CrossRef] [PubMed]
- Russell, E.; Dunne, V.; Russell, B.; Mohamud, H.; Ghita, M.; McMahon, S.J.; Butterworth, K.T.; Schettino, G.; McGarry, C.K.; Prise, K.M. Impact of Superparamagnetic Iron Oxide Nanoparticles on in Vitro and in Vivo Radiosensitisation of Cancer Cells. Radiat. Oncol. 2021, 16, 104. [Google Scholar] [CrossRef] [PubMed]
- Hernandes, E.P.; Lazarin-Bidóia, D.; Bini, R.D.; Nakamura, C.V.; Cótica, L.F.; de Oliveira Silva Lautenschlager, S. Doxorubicin-Loaded Iron Oxide Nanoparticles Induce Oxidative Stress and Cell Cycle Arrest in Breast Cancer Cells. Antioxidants 2023, 12, 237. [Google Scholar] [CrossRef] [PubMed]
- Biffi, S.; Capolla, S.; Garrovo, C.; Zorzet, S.; Lorenzon, A.; Rampazzo, E.; Spretz, R.; Pozzato, G.; Nunez, L.; Macor, P.; et al. Targeted Tumor Imaging of Anti-CD20-Polymeric Nanoparticles Developed for the Diagnosis of B-Cell Malignancies. Int. J. Nanomed. 2015, 10, 4099. [Google Scholar] [CrossRef] [PubMed][Green Version]
- Mikelashvili, V.; Kekutia, S.; Markhulia, J.; Saneblidze, L.; Jabua, Z.; Almásy, L.; Kriechbaum, M. Folic Acid Conjugation of Magnetite Nanoparticles Using Pulsed Electrohydraulic Discharges. J. Serbian Chem. Soc. 2021, 86, 181–194. [Google Scholar] [CrossRef]
- Xia, H.; Luo, X.; Yin, W. Inhibition of Prostate Cancer Growth by Immunization with a GM-CSF-Modified Mouse Prostate Cancer RM-1 Cell Vaccine in a Novel Murine Model. Oncol. Lett. 2018, 15, 538–544. [Google Scholar] [CrossRef]
- Stacchini, A.; Aragno, M.; Vallario, A.; Alfarano, A.; Circosta, P.; Gottardi, D.; Faldella, A.; Rege-Cambrin, G.; Thunberg, U.; Nilsson, K.; et al. MEC1 and MEC2: Two New Cell Lines Derived from B-Chronic Lymphocytic Leukaemia in Prolymphocytoid Transformation. Leuk. Res. 1999, 23, 127–136. [Google Scholar] [CrossRef]
- Palai, P.K.; Mondal, A.; Chakraborti, C.K.; Banerjee, I.; Pal, K. Green Synthesized Amino-PEGylated Silver Decorated Graphene Nanoplatform as a Tumor-Targeted Controlled Drug Delivery System. SN Appl. Sci. 2019, 1, 269. [Google Scholar] [CrossRef]
- Andhariya, N.; Chudasama, B.; Mehta, R.V.; Upadhyay, R.V. Biodegradable Thermoresponsive Polymeric Magnetic Nanoparticles: A New Drug Delivery Platform for Doxorubicin. J. Nanopart. Res. 2011, 13, 1677–1688. [Google Scholar] [CrossRef]
- Kciuk, M.; Gielecińska, A.; Mujwar, S.; Kołat, D.; Kałuzińska-Kołat, Ż.; Celik, I.; Kontek, R. Doxorubicin—An Agent with Multiple Mechanisms of Anticancer Activity. Cells 2023, 12, 659. [Google Scholar] [CrossRef]
- Jedrzejczyk, M.; Wisniewska, K.; Kania, K.D.; Marczak, A.; Szwed, M. Transferrin-Bound Doxorubicin Enhances Apoptosis and DNA Damage through the Generation of Pro-Inflammatory Responses in Human Leukemia Cells. Int. J. Mol. Sci. 2020, 21, 9390. [Google Scholar] [CrossRef] [PubMed]
- Nieciecka, D.; Celej, J.; Żuk, M.; Majkowska-Pilip, A.; Żelechowska-Matysiak, K.; Lis, A.; Osial, M. Hybrid System for Local Drug Delivery and Magnetic Hyperthermia Based on SPIONs Loaded with Doxorubicin and Epirubicin. Pharmaceutics 2021, 13, 480. [Google Scholar] [CrossRef] [PubMed]
- Huang, Y.; Mao, K.; Zhang, B.; Zhao, Y. Superparamagnetic Iron Oxide Nanoparticles Conjugated with Folic Acid for Dual Target-Specific Drug Delivery and MRI in Cancer Theranostics. Mater. Sci. Eng. C 2017, 70, 763–771. [Google Scholar] [CrossRef] [PubMed]













| Designations | Composition | Concentrations (mg/mL) |
|---|---|---|
| DOX-0.1% | Doxorubicin | 1.84 mM |
| DOX-0.05% | 0.92 mM | |
| DOX-0.02% | 0.37 mM | |
| S0-0.1% | Bare nanoparticles | 1.00 mg/mL |
| S0-0.05% | 0.50 mg/mL | |
| S0-0.02% | 0.20 mg/mL | |
| S1-0.1% | Citric-acid-coated nanoparticles | 1.00 mg/mL |
| S1-0.05% | 0.50 mg/mL | |
| S1-0.02% | 0.20 mg/mL | |
| S2-0.1% | Electrohydraulically treated Citric-acid-coated nanoparticles | 1.00 mg/mL |
| S2-0.05% | 0.50 mg/mL | |
| S2-0.02% | 0.20 mg/mL | |
| S3-1:1-0.1% | Citric-acid-coated nanoparticles functionalized with doxorubicin | 0.50 mg/mL |
| S3-1:1-0.05% | 0.25 mg/mL | |
| S3-1:1-0.02% | 0.10 mg/mL | |
| S3-1:5-0.10% | 0.83 mg/mL | |
| S3-1:5-0.05% | 0.42 mg/mL | |
| S3-1:5-0.02% | 0.17 mg/mL | |
| S3-1:10-0.10% | 0.91 mg/mL | |
| S3-1:10-0.05% | 0.45 mg/mL | |
| S3-1:10-0.02% | 0.18 mg/mL | |
| S4-1:1-0.1% | Electrohydraulically treated Citric-acid-coated nanoparticles functionalized with doxorubicin | 0.50 mg/mL |
| S4-1:1-0.05% | 0.25 mg/mL | |
| S4-1:1-0.02% | 0.10 mg/mL | |
| S4-1:5-0.1% | 0.83 mg/mL | |
| S4-1:5-0.05% | 0.42 mg/mL | |
| S4-1:5-0.02% | 0.17 mg/mL | |
| S4-1:10-0.1% | 0.91 mg/mL | |
| S4-1:10-0.05% | 0.45 mg/mL | |
| S4-1:10-0.02% | 0.18 mg/mL | |
| SPIONs-FA-0.05% | Folic-acid-conjugated nanoparticles | 0.45 mg/mL |
| SPIONs-FA-0.02% | 0.18 mg/mL | |
| SPIONs-EHD-FA-0.05% | Electrohydraulically treated Folic-acid-conjugated nanoparticles | 0.50 mg/mL |
| SPIONs-EHD-FA-0.02% | 0.20 mg/mL | |
| SPIONs-FA-Dox-0.05% | Folic-acid-conjugated nanoparticles functionalized with doxorubicin | 0.45 mg/mL |
| SPIONs-FA-Dox-0.02% | 0.18 mg/mL | |
| SPIONs-EHD-FA-Dox-0.05% | Electrohydraulically treated Folic-acid-conjugated nanoparticles functionalized with doxorubicin | 0.45 mg/mL |
| SPIONs-EHD-FA-Dox-0.02% | 0.18 mg/mL |
Disclaimer/Publisher’s Note: The statements, opinions and data contained in all publications are solely those of the individual author(s) and contributor(s) and not of MDPI and/or the editor(s). MDPI and/or the editor(s) disclaim responsibility for any injury to people or property resulting from any ideas, methods, instructions or products referred to in the content. |
© 2024 by the authors. Licensee MDPI, Basel, Switzerland. This article is an open access article distributed under the terms and conditions of the Creative Commons Attribution (CC BY) license (https://creativecommons.org/licenses/by/4.0/).
Share and Cite
Maisuradze, N.; Kekutia, S.; Markhulia, J.; Tsertsvadze, T.; Mikelashvili, V.; Saneblidze, L.; Chkhaidze, N.; Horváth, Z.E.; Almásy, L.; Mitskevichi, N. Characteristics and Antitumor Activity of Doxorubicin-Loaded Multifunctional Iron Oxide Nanoparticles in MEC1 and RM1 Cell Lines. J. Funct. Biomater. 2024, 15, 364. https://doi.org/10.3390/jfb15120364
Maisuradze N, Kekutia S, Markhulia J, Tsertsvadze T, Mikelashvili V, Saneblidze L, Chkhaidze N, Horváth ZE, Almásy L, Mitskevichi N. Characteristics and Antitumor Activity of Doxorubicin-Loaded Multifunctional Iron Oxide Nanoparticles in MEC1 and RM1 Cell Lines. Journal of Functional Biomaterials. 2024; 15(12):364. https://doi.org/10.3390/jfb15120364
Chicago/Turabian StyleMaisuradze, Nino, Shalva Kekutia, Jano Markhulia, Tamar Tsertsvadze, Vladimer Mikelashvili, Liana Saneblidze, Nikoloz Chkhaidze, Zsolt Endre Horváth, László Almásy, and Nunu Mitskevichi. 2024. "Characteristics and Antitumor Activity of Doxorubicin-Loaded Multifunctional Iron Oxide Nanoparticles in MEC1 and RM1 Cell Lines" Journal of Functional Biomaterials 15, no. 12: 364. https://doi.org/10.3390/jfb15120364
APA StyleMaisuradze, N., Kekutia, S., Markhulia, J., Tsertsvadze, T., Mikelashvili, V., Saneblidze, L., Chkhaidze, N., Horváth, Z. E., Almásy, L., & Mitskevichi, N. (2024). Characteristics and Antitumor Activity of Doxorubicin-Loaded Multifunctional Iron Oxide Nanoparticles in MEC1 and RM1 Cell Lines. Journal of Functional Biomaterials, 15(12), 364. https://doi.org/10.3390/jfb15120364

