Should Intelligence Tests Be Speeded or Unspeeded? A Brief Review of the Effects of Time Pressure on Response Processes and an Experimental Study with Raven’s Matrices
Abstract
1. Brief Literature Review of the Potential Effects of Time Pressure
1.1. Effect 1: Time Pressure Leads to Skipping Items
1.2. Effect 2: Time Pressure Taps into a Speed Factor
1.3. Effect 3: Time Pressure Constrains Response Times
1.4. Effect 4: Time Pressure Can Affect Cognitive Processing
1.5. Effect 5: Time Pressure Can Affect Anxiety and Motivation
1.6. Effect 6: Differential Effects of Time Pressure
1.7. Unanswered Questions and Rationale for the Experimental Study
2. Method
2.1. Participants
2.2. Materials
2.2.1. Raven’s Advanced Progressive Matrices
2.2.2. Working Memory Capacity
2.2.3. Need for Cognition
2.3. Procedure
2.4. Data Analysis
3. Results
3.1. Time on Task and Missed Items
3.2. Effects of Time Pressure at the Task Level
3.3. Effects of Time Pressure at the Item Level
3.4. Accuracy Conditional on Response Times
3.5. Individual Differences and Time Pressure at the Task Level
3.6. Individual Differences in RT modulation and Time Pressure at the Item Level
4. Discussion
- Participants solved between 1 and 1.5 items per minute without time pressure. Mild and high time pressure induced speeding throughout the task, without a catch-up on later item positions, despite the fact that the moderate time pressure condition allowed enough time for virtually all participants to complete all items even without speeding. Participants did not use all the available time under time pressure: the average participant finished with 50% of time left under a mild pressure and 20% of time left under a high time pressure. Most participants attempted all items even under high time pressure, but a minority spent all their available time on early items.
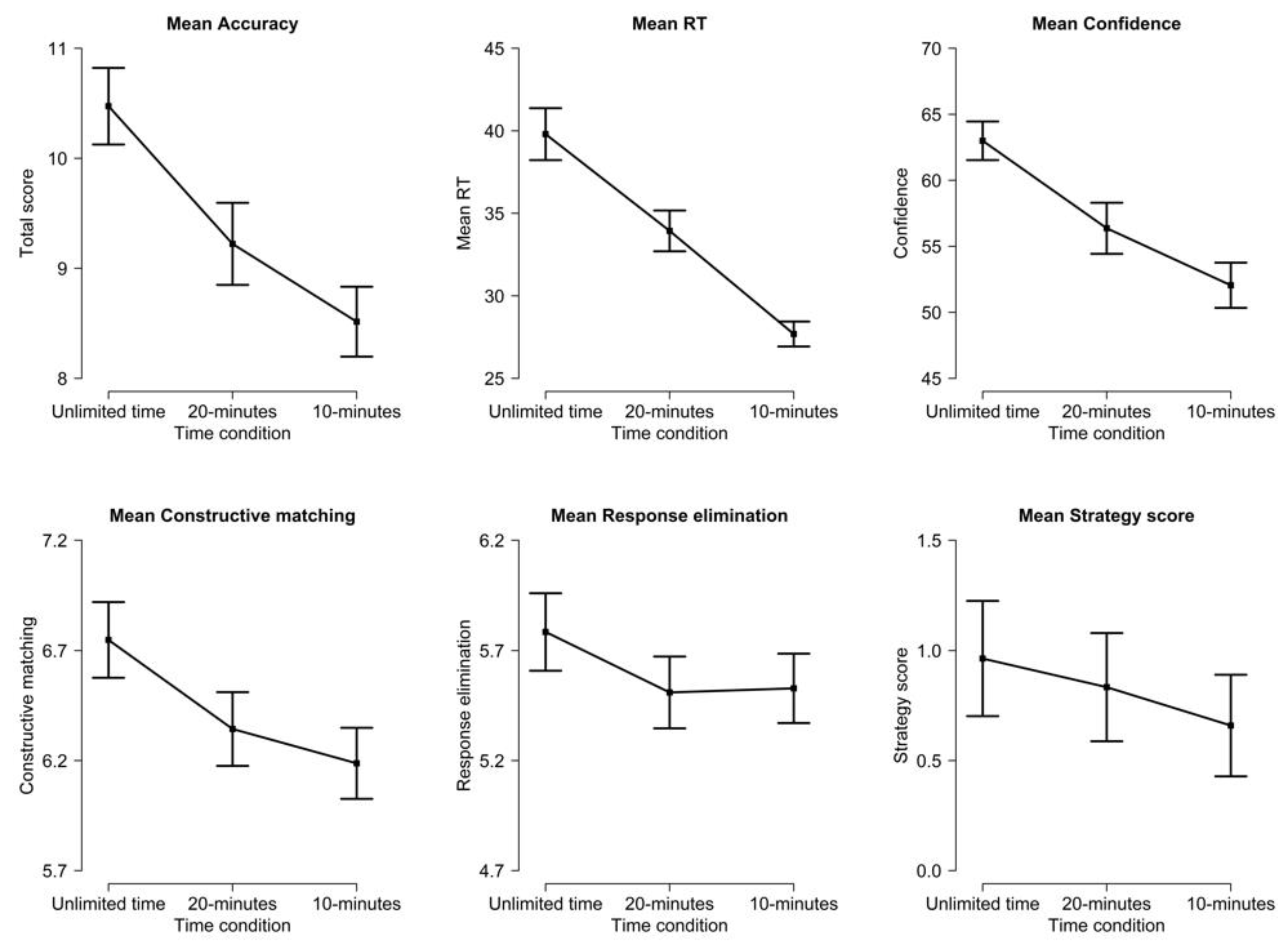
- Time pressure, even as mild as in the 20 min condition, significantly decreased accuracy, RTs, confidence in one’s answers, and the use of a constructive matching strategy. Time pressure did not significantly affect the use of a response elimination strategy or the metacognitive estimation of one’s accuracy.
- Time pressure decreased accuracy, confidence in one’s answers, and the use of constructive matching relatively uniformly across all item positions. Time pressure decreased RTs significantly more for later items in the task, i.e., those items with higher difficulty and which usually require more time for correct completion.
- Even mild time pressure induced significant or marginally significant speeding for all but two items in the task; in particular, there was significant speeding starting with the very first item. This speeding translated into a shift of the RT distribution for the whole sample towards faster RTs. Moderate time pressure had RTs closer to the high time pressure condition for the first half of the task and closer to the unlimited time condition for the second half.
- There was an effect of both mild and high time pressure on accuracy conditional on RTs; in other words, time pressure decreased accuracy regardless of participant RT, which means lower accuracy under time pressure was not solely due to speeding. The relation between RT and accuracy was somewhat negative but tended towards positive for more difficult items, especially under time pressure.
- The relationship between accuracy and individual differences in intellectual ability, working memory (WMC), or motivation (NFC) did not substantially vary as a function of time pressure. However, the relationship between RTs and individual differences was affected: individuals with higher ability, WMC, or NFC had slower RTs, but this difference tended to disappear under a time pressure for ability, WMC (significantly), and NFC (descriptively).
- The effect of individual differences on RTs varied as a function of item position. Participants with a high ability, WMC, or NFC had slower RTs specifically for more difficult items, but for all three predictors, this RT modulation tended to disappear under a high time pressure.
4.1. Question 1: Time Pressure and Speeding in Raven’s Matrices
4.2. Question 2: Time Pressure and Performance in Raven’s Matrices
4.3. Question 3: Time Pressure and Individual Differences
4.4. Limitations and Future Directions
Funding
Institutional Review Board Statement
Informed Consent Statement
Data Availability Statement
Conflicts of Interest
| 1 | Response times on the concurrent processing tasks of each complex span can also be used as an estimate of mental speed: for an example, see Unsworth et al. (2009). However, given the complex nature of the processing tasks, this speed measure is also confounded with intellectual ability. Using this measure for the analyses of individual differences gave results closer to what could be expected with a measure of intellectual ability: participants with lower speed on the concurrent processing tasks were less accurate overall, but the effect of speed decreased under time pressure. These results are not detailed here. |
References
- Ackerman, Phillip L., Margaret E. Beier, and Mary D. Boyle. 2002. Individual differences in working memory within a nomological network of cognitive and perceptual speed abilities. Journal of Experimental Psychology: General 131: 567–89. [Google Scholar] [CrossRef] [PubMed]
- Amabile, Teresa M., DeJong William, and Mark R. Lepper. 1976. Effects of externally imposed deadlines on subsequent intrinsic motivation. Journal of Personality and Social Psychology 34: 92–98. [Google Scholar] [CrossRef]
- Arthur, Winfred, and David V. Day. 1994. Development of a Short form for the Raven Advanced Progressive Matrices Test. Educational and Psychological Measurement 54: 394–403. [Google Scholar] [CrossRef]
- Ashcraft, Mark H., and Elizabeth P. Kirk. 2001. The relationships among working memory, math anxiety, and performance. Journal of Experimental Psychology: General 130: 224–37. [Google Scholar] [CrossRef]
- Attali, Yigal. 2005. Reliability of Speeded Number-Right Multiple-Choice Tests. Applied Psychological Measurement 29: 357–68. [Google Scholar] [CrossRef]
- Babcock, Renée L. 1994. Analysis of adult age differences on the Raven’s Advanced Progressive Matrices Test. Psychology and Aging 9: 303–14. [Google Scholar] [CrossRef]
- Becker, Nicolas, Florian Schmitz, Anja S. Göritz, and Frank M. Spinath. 2016. Sometimes More Is Better, and Sometimes Less Is Better: Task Complexity Moderates the Response Time Accuracy Correlation. Journal of Intelligence 4: 11. [Google Scholar] [CrossRef]
- Beilock, Sian L., and Marci S. DeCaro. 2007. From poor performance to success under stress: Working memory, strategy selection, and mathematical problem solving under pressure. Journal of Experimental Psychology: Learning, Memory, and Cognition 33: 983–98. [Google Scholar] [CrossRef] [PubMed]
- Beilock, Sian L., and Thomas H. Carr. 2005. When High-Powered People Fail: Working memory and “choking under pres-sure” in math. Psychological Science 16: 101–5. [Google Scholar] [CrossRef] [PubMed]
- Ben Zur, Hasida, and Shlomo J. Breznitz. 1981. The effect of time pressure on risky choice behavior. Acta Psychologica 47: 89–104. [Google Scholar] [CrossRef]
- Bethell-Fox, Charles E., David F. Lohman, and Richard E. Snow. 1984. Adaptive reasoning: Componential and eye movement analysis of geometric analogy performance. Intelligence 8: 205–38. [Google Scholar] [CrossRef]
- Bilker, Warren B., John A. Hansen, Colleen M. Brensinger, Jan Richard, Raquel E. Gur, and Ruben C. Gur. 2012. Development of Abbreviated Nine-Item Forms of the Raven’s Standard Progressive Matrices Test. Assessment 19: 354–69. [Google Scholar] [CrossRef] [PubMed]
- Bolsinova, Maria, and Jesper Tijmstra. 2015. Can Response Speed Be Fixed Experimentally, and Does This Lead to Unconfounded Measurement of Ability? Measurement: Interdisciplinary Research and Perspectives 13: 165–68. [Google Scholar] [CrossRef]
- Bolton, Floyd B. 1955. Experiments with The Raven’s Progressive Matrices—1938. The Journal of Educational Research 48: 629–34. [Google Scholar] [CrossRef]
- Bors, Douglas A., and Tonya L. Stokes. 1998. Raven’s Advanced Progressive Matrices: Norms for First-Year University Students and the Development of a Short Form. Educational and Psychological Measurement 58: 382–98. [Google Scholar] [CrossRef]
- Borsboom, Denny, and Gideon J. Mellenbergh. 2007. Test validity and cognitive assessment. In Cognitive Diagnostic Assessment for Education: Theory and Applications. Edited by Jacqueline Leighton and Mark Gierl. Cambridge: Cambridge University Press, pp. 85–116. [Google Scholar] [CrossRef]
- Borsboom, Denny, Gideon J. Mellenbergh, and Jaap van Heerden. 2004. The Concept of Validity. Psychological Review 111: 1061–71. [Google Scholar] [CrossRef]
- Borter, Natalie, Annik E. Völke, and Stefan J. Troche. 2020. The development of inductive reasoning under consideration of the effect due to test speededness. Psychological Test and Assessment Modeling 62: 344–58. [Google Scholar]
- Bruyer, Raymond, and Marc Brysbaert. 2011. Combining Speed and Accuracy in Cognitive Psychology: Is the Inverse Efficiency Score (IES) a Better Dependent Variable than the Mean Reaction Time (RT) and the Percentage Of Errors (PE)? Psychologica Belgica 51: 5–13. [Google Scholar] [CrossRef]
- Cacioppo, John T., Richard Petty, and Chuan Feng Kao. 1984. The Efficient Assessment of Need for Cognition. Journal of Personality Assessment 48: 306–7. [Google Scholar] [CrossRef]
- Carpenter, Patricia A., Marcel A. Just, and Peter Shell. 1990. What one intelligence test measures: A theoretical account of the processing in the Raven Progressive Matrices Test. Psychological Review 97: 404–31. [Google Scholar] [CrossRef]
- Caviola, Sara, Emma Carey, Irene C. Mammarella, and Denes Szucs. 2017. Stress, Time Pressure, Strategy Selection and Math Anxiety in Mathematics: A Review of the Literature. Frontiers in Psychology 8: 1488. [Google Scholar] [CrossRef]
- Cella, Matteo, Simon Dymond, Andrew Cooper, and Oliver Turnbull. 2007. Effects of decision-phase time constraints on emotion-based learning in the Iowa Gambling Task. Brain and Cognition 64: 164–69. [Google Scholar] [CrossRef]
- Chuderski, Adam. 2013. When are fluid intelligence and working memory isomorphic and when are they not? Intelligence 41: 244–62. [Google Scholar] [CrossRef]
- Chuderski, Adam. 2015. The broad factor of working memory is virtually isomorphic to fluid intelligence tested under time pressure. Personality and Individual Differences 85: 98–104. [Google Scholar] [CrossRef]
- Chuderski, Adam. 2016. Time pressure prevents relational learning. Learning and Individual Differences 49: 361–65. [Google Scholar] [CrossRef]
- Colom, Roberto, Jesús Privado, Luis F. García, Eduardo Estrada, Lara Cuevas, and Pei-Chun Shih. 2015. Fluid intelligence and working memory capacity: Is the time for working on intelligence problems relevant for explaining their large relationship? Personality and Individual Differences 79: 75–80. [Google Scholar] [CrossRef]
- Conway, Andrew R. A., Michael J. Kane, Michael F. Bunting, D. Zach Hambrick, Oliver Wilhelm, and Randall W. Engle. 2005. Working memory span tasks: A methodological review and user’s guide. Psychonomic Bulletin & Review 12: 769–86. [Google Scholar] [CrossRef]
- Conway, Andrew R. A., Nelson Cowan, Michael F. Bunting, David J. Therriault, and Scott R. B. Minkoff. 2002. A latent variable analysis of working memory capacity, short-term memory capacity, processing speed, and general fluid intelligence. Intelligence 30: 163–83. [Google Scholar] [CrossRef]
- Coyle, Thomas R. 2013. Effects of processing speed on intelligence may be underestimated: Comment on Demetriou et al. (2013). Intelligence 41: 732–34. [Google Scholar] [CrossRef]
- Cronbach, Lee J. 1949. Essentials of Psychological Testing. New York: Harper and Brothers. [Google Scholar]
- Cronbach, Lee J., and W. G. Warrington. 1951. Time-limit tests: Estimating their reliability and degree of speeding. Psychometrika 16: 167–88. [Google Scholar] [CrossRef] [PubMed]
- Danthiir, Vanessa, Richard D. Roberts, Ralf Schulze, and Oliver Wilhelm. 2005. Mental Speed: On Frameworks, Paradigms, and a Platform for the Future. In Handbook of Understanding and Measuring Intelligence. Edited by Oliver Wilhelm and Randall W. Engle. Thousand Oaks: Sage Publications, Inc., pp. 27–46. [Google Scholar] [CrossRef]
- Davidson, William M., and John B. Carroll. 1945. Speed and Level Components in Time-Limit Scores: A Factor Analysis. Educational and Psychological Measurement 5: 411–27. [Google Scholar] [CrossRef]
- Davison, Mark L., Robert Semmes, Lan Huang, and Catherine N. Close. 2012. On the Reliability and Validity of a Numerical Reasoning Speed Dimension Derived From Response Times Collected in Computerized Testing. Educational and Psychological Measurement 72: 245–63. [Google Scholar] [CrossRef]
- de Winter, Joost C. F., Dimitra Dodou, and Yke B. Eisma. 2021. Calmly Digesting the Problem: Eye Movements and Pupil Size while Solving Raven’s Matrices. Unpublished preprint. Researchgate. October 6. [Google Scholar]
- DeDonno, Michael A., and Heath A. Demaree. 2008. Perceived time pressure and the Iowa Gambling Task. Judgment and Decision Making 3: 636–40. [Google Scholar] [CrossRef]
- Demetriou, Andreas, George Spanoudis, Michael Shayer, Antigoni Mouyi, Smaragda Kazi, and Maria Platsidou. 2013. Cycles in speed-working memory-G relations: Towards a developmental–differential theory of the mind. Intelligence 41: 34–50. [Google Scholar] [CrossRef]
- Dennis, Ian, and Jonathan St B. T. Evans. 1996. The speed-error trade-off problem in psychometric testing. British Journal of Psychology 87: 105–29. [Google Scholar] [CrossRef]
- Diedenhofen, Birk, and Jochen Musch. 2015. cocor: A Comprehensive Solution for the Statistical Comparison of Correlations. PLoS ONE 10: e0121945–e0121945. [Google Scholar] [CrossRef]
- DiTrapani, Jack, Minjeong Jeon, Paul De Boeck, and Ivailo Partchev. 2016. Attempting to differentiate fast and slow intelligence: Using generalized item response trees to examine the role of speed on intelligence tests. Intelligence 56: 82–92. [Google Scholar] [CrossRef]
- Dodonova, Yulia A., and Yury S. Dodonov. 2013. Faster on easy items, more accurate on difficult ones: Cognitive ability and performance on a task of varying difficulty. Intelligence 41: 1–10. [Google Scholar] [CrossRef]
- Draheim, Christopher, Cody A. Mashburn, Jessie D. Martin, and Randall W. Engle. 2019. Reaction time in differential and developmental research: A review and commentary on the problems and alternatives. Psychological Bulletin 145: 508–35. [Google Scholar] [CrossRef]
- Duncan, John, Daphne Chylinski, Daniel J. Mitchell, and Apoorva Bhandari. 2017. Complexity and compositionality in fluid intelligence. Proceedings of the National Academy of Sciences of the United States of America 114: 5295–99. [Google Scholar] [CrossRef]
- Engle, Randall W., and Michael J. Kane. 2004. Executive Attention, Working Memory Capacity, and a Two-Factor Theory of Cognitive Control. In The Psychology of Learning and Motivation: Advances in Research and Theory. Edited by Brian H. Ross. Amsterdam: Elsevier Science, vol. 44, pp. 145–99. [Google Scholar]
- Estrada, Eduardo, Francisco J. Román, Francisco J. Abad, and Roberto Colom. 2017. Separating power and speed components of standardized intelligence measures. Intelligence 61: 159–68. [Google Scholar] [CrossRef]
- Eysenck, Michael W., and Manuel G. Calvo. 1992. Anxiety and Performance: The Processing Efficiency Theory. Cognition and Emotion 6: 409–34. [Google Scholar] [CrossRef]
- Faul, Franz, Edgar Erdfelder, Albert-Georg Lang, and Axel Buchner. 2007. G*Power 3: A flexible statistical power analysis program for the social, behavioral, and biomedical sciences. Behavior Research Methods 39: 175–91. [Google Scholar] [CrossRef]
- Feldt, Leonard S. 1969. A test of the hypothesis that cronbach’s alpha or kuder-richardson coefficent twenty is the same for two tests. Psychometrika 34: 363–73. [Google Scholar] [CrossRef]
- Friedman, Naomi P, and Akira Miyake. 2004. The reading span test and its predictive power for reading comprehension ability. Journal of Memory and Language 51: 136–58. [Google Scholar] [CrossRef]
- Frischkorn, Gidon T., and Anna-Lena Schubert. 2018. Cognitive Models in Intelligence Research: Advantages and Recommendations for Their Application. Journal of Intelligence 6: 34. [Google Scholar] [CrossRef] [PubMed]
- Fry, Astrid F., and Sandra Hale. 1996. Processing Speed, Working Memory, and Fluid Intelligence: Evidence for a Developmental Cascade. Psychological Science 7: 237–41. [Google Scholar] [CrossRef]
- Fry, Astrid F., and Sandra Hale. 2000. Relationships among processing speed, working memory, and fluid intelligence in children. Biological Psychology 54: 1–34. [Google Scholar] [CrossRef]
- Gimmig, David, Pascal Huguet, Jean-Paul Caverni, and François Cury. 2006. Choking under pressure and working memory capacity: When performance pressure reduces fluid intelligence. Psychonomic Bulletin & Review 13: 1005–10. [Google Scholar] [CrossRef]
- Goldhammer, Frank, and Rinke H. Klein Entink. 2011. Speed of reasoning and its relation to reasoning ability. Intelligence 39: 108–19. [Google Scholar] [CrossRef]
- Goldhammer, Frank, and Ulf Kroehne. 2014. Controlling Individuals’ Time Spent on Task in Speeded Performance Measures: Experimental time limits, posterior time limits, and response time modeling. Applied Psychological Measurement 38: 255–67. [Google Scholar] [CrossRef]
- Goldhammer, Frank, Johannes Naumann, and Samuel Greiff. 2015. More is not Always Better: The Relation between Item Response and Item Response Time in Raven’s Matrices. Journal of Intelligence 3: 21–40. [Google Scholar] [CrossRef]
- Goldhammer, Frank, Johannes Naumann, Annette Stelter, Krisztina Tóth, Heiko Rölke, and Eckhard Klieme. 2014. The time on task effect in reading and problem solving is moderated by task difficulty and skill: Insights from a computer-based large-scale assessment. Journal of Educational Psychology 106: 608–26. [Google Scholar] [CrossRef]
- Goldhammer, Frank. 2015. Measuring Ability, Speed, or Both? Challenges, Psychometric Solutions, and What Can Be Gained From Experimental Control. Measurement: Interdisciplinary Research and Perspectives 13: 133–64. [Google Scholar] [CrossRef] [PubMed]
- Gonthier, Corentin, and Jean-Luc Roulin. 2020. Intraindividual strategy shifts in Raven’s matrices, and their dependence on working memory capacity and need for cognition. Journal of Experimental Psychology: General 149: 564–79. [Google Scholar] [CrossRef]
- Gonthier, Corentin, and Noémylle Thomassin. 2015. Strategy use fully mediates the relationship between working memory capacity and performance on Raven’s matrices. Journal of Experimental Psychology: General 144: 916–24. [Google Scholar] [CrossRef]
- Gonthier, Corentin, Noémylle Thomassin, and Jean-Luc Roulin. 2016. The composite complex span: French validation of a short working memory task. Behavior Research Methods 48: 233–42. [Google Scholar] [CrossRef] [PubMed]
- Gonthier, Corentin. 2022. An easy way to improve scoring of memory span tasks: The edit distance, beyond “correct recall in the correct serial position”. Behavior Research Methods 55: 1–16. [Google Scholar] [CrossRef]
- Gulliksen, Harold. 1950a. Speed versus power tests. In Theory of mental tests. Edited by Harold Gulliksen. Hoboken: John Wiley & Sons Inc., pp. 230–44. [Google Scholar] [CrossRef]
- Gulliksen, Harold. 1950b. The reliability of speeded tests. Psychometrika 15: 259–69. [Google Scholar] [CrossRef] [PubMed]
- Hamel, Ronald, and Verena D. Schmittmann. 2006. The 20-Minute Version as a Predictor of the Raven Advanced Progressive Matrices Test. Educational and Psychological Measurement 66: 1039–46. [Google Scholar] [CrossRef]
- Hong, Maxwell R., and Ying Cheng. 2019. Clarifying the Effect of Test Speededness. Applied Psychological Measurement 43: 611–23. [Google Scholar] [CrossRef]
- Ibrahim, Ali Mohamed, and Ali Mahdi Kazem. 2013. Psychometric properties of scores from an embedded and independently-administered short form of the Raven’s Advanced Progressive Matrices. International Journal of Learning Management Systems 1: 25–35. [Google Scholar] [CrossRef]
- Jastrzębski, Jan, Iwona Ciechanowska, and Adam Chuderski. 2018. The strong link between fluid intelligence and working memory cannot be explained away by strategy use. Intelligence 66: 44–53. [Google Scholar] [CrossRef]
- Jensen, Arthur R. 1993. Why Is Reaction Time Correlated With Psychometric g? Current Directions in Psychological Science 2: 53–56. [Google Scholar] [CrossRef]
- Jensen, Arthur R. 1998. The g Factor: The Science of Mental Ability. Westport: Praeger Publishers/Greenwood Publishing Group. [Google Scholar]
- Jin, Kuan-Yu, Chia-Ling Hsu, Ming Ming Chiu, and Po-Hsi Chen. 2023. Modeling Rapid Guessing Behaviors in Computer-Based Testlet Items. Applied Psychological Measurement 47: 19–33. [Google Scholar] [CrossRef]
- Johnson, Eric J., John W. Payne, and James R. Bettman. 1993. Adapting to time constraints. In Time Pressure and Stress in Human Judgment and Decision Making. Edited by Ola Svenson and A. John Maule. New York: Springer. [Google Scholar] [CrossRef]
- Kail, Robert V. 2000. Speed of information processing: Developmental change and links to intelligence. Journal of School Psychology 38: 51–61. [Google Scholar] [CrossRef]
- Kail, Robert V. 2007. Longitudinal Evidence That Increases in Processing Speed and Working Memory Enhance Children’s Reasoning. Psychological Science 18: 312–13. [Google Scholar] [CrossRef] [PubMed]
- Kail, Robert, and Timothy A. Salthouse. 1994. Processing speed as a mental capacity. Acta Psychologica 86: 199–225. [Google Scholar] [CrossRef]
- Kang, Inhan, Paul De Boeck, and Ivailo Partchev. 2022. A randomness perspective on intelligence processes. Intelligence 91: 101632. [Google Scholar] [CrossRef]
- Kellogg, Jeffry S., Derek R. Hopko, and Mark H. Ashcraft. 1999. The Effects of Time Pressure on Arithmetic Performance. Journal of Anxiety Disorders 13: 591–600. [Google Scholar] [CrossRef]
- Klein Entink, Rinke H., Jean-Paul Fox, and Willem J. van der Linden. 2009a. A Multivariate Multilevel Approach to the Modeling of Accuracy and Speed of Test Takers. Psychometrika 74: 21–48. [Google Scholar] [CrossRef]
- Klein Entink, Rinke H., Jörg-Tobias Kuhn, Lutz F. Hornke, and Jean-Paul Fox. 2009b. Evaluating cognitive theory: A joint modeling approach using responses and response times. Psychological Methods 14: 54–75. [Google Scholar] [CrossRef]
- Kuhn, Jörg-Tobias, and Jochen Ranger. 2015. Measuring Speed, Ability, or Motivation: A Comment on Goldhammer. Measurement: Interdisciplinary Research and Perspectives 13: 173–76. [Google Scholar] [CrossRef]
- Kyllonen, Patrick C., and Jiyun Zu. 2016. Use of Response Time for Measuring Cognitive Ability. Journal of Intelligence 4: 14. [Google Scholar] [CrossRef]
- Kyllonen, Patrick, Robert Hartman, Amber Sprenger, Jonathan Weeks, Maria Bertling, Kevin McGrew, Sarah Kriz, Jonas Bertling, James Fife, and Lazar Stankov. 2018. General fluid/inductive reasoning battery for a high-ability population. Behavior Research Methods 51: 507–22. [Google Scholar] [CrossRef] [PubMed]
- Laurence, Paulo Guirro, and Elizeu Coutinho Macedo. 2022. Cognitive strategies in matrix-reasoning tasks: State of the art. Psychonomic Bulletin & Review 30: 147–59. [Google Scholar] [CrossRef]
- Lépine, Raphaë Lle, Parrouillet Pierre, and Valérie Camos. 2005. What makes working memory spans so predictive of high-level cognition? Psychonomic Bulletin & Review 12: 165–70. [Google Scholar] [CrossRef]
- Lerche, Veronika, Mischa von Krause, Andreas Voss, Gidon T. Frischkorn, Anna-Lena Schubert, and Dirk Hagemann. 2020. Diffusion modeling and intelligence: Drift rates show both domain-general and domain-specific relations with intelligence. Journal of Experimental Psychology: General 149: 2207–49. [Google Scholar] [CrossRef] [PubMed]
- Lu, Ying, and Stephen G. Sireci. 2007. Validity Issues in Test Speededness. Educational Measurement: Issues and Practice 26: 29–37. [Google Scholar] [CrossRef]
- McGrew, Kevin S. 2009. CHC theory and the human cognitive abilities project: Standing on the shoulders of the giants of psychometric intelligence research. Intelligence 37: 1–10. [Google Scholar] [CrossRef]
- McGrew, Kevin S. 2023. Carroll’s Three-Stratum (3S) Cognitive Ability Theory at 30 Years: Impact, 3S-CHC Theory Clarification, Structural Replication, and Cognitive–Achievement Psychometric Network Analysis Extension. Journal of Intelligence 11: 32. [Google Scholar] [CrossRef]
- Mitchum, Ainsley L., and Colleen M. Kelley. 2010. Solve the problem first: Constructive solution strategies can influence the accuracy of retrospective confidence judgments. Journal of Experimental Psychology: Learning, Memory, and Cognition 36: 699–710. [Google Scholar] [CrossRef] [PubMed]
- Moran, Tim P. 2016. Anxiety and working memory capacity: A meta-analysis and narrative review. Psychological Bulletin 142: 831–64. [Google Scholar] [CrossRef] [PubMed]
- Must, Olev, and Aasa Must. 2013. Changes in test-taking patterns over time. Intelligence 41: 780–90. [Google Scholar] [CrossRef]
- Oshima, T. C. 1994. The Effect of Speededness on Parameter Estimation in Item Response Theory. Journal of Educational Measurement 31: 200–19. [Google Scholar] [CrossRef]
- Partchev, Ivailo, and Paul De Boeck. 2012. Can fast and slow intelligence be differentiated? Intelligence 40: 23–32. [Google Scholar] [CrossRef]
- Perret, Patrick, and Bruno Dauvier. 2018. Children’s Allocation of Study Time during the Solution of Raven’s Progressive Matrices. Journal of Intelligence 6: 9. [Google Scholar] [CrossRef] [PubMed]
- Plass, James A., and Kennedy T. Hill. 1986. Children’s achievement strategies and test performance: The role of time pressure, evaluation anxiety, and sex. Developmental Psychology 22: 31–36. [Google Scholar] [CrossRef]
- Poulton, Antoinette, Kathleen Rutherford, Sarah Boothe, Madeleine Brygel, Alice Crole, Gezelle Dali, Loren Richard Bruns Jr, Richard O. Sinnott, and Robert Hester. 2022. Evaluating untimed and timed abridged versions of Raven’s Advanced Progressive Matrices. Journal of Clinical and Experimental Neuropsychology 44: 73–84. [Google Scholar] [CrossRef] [PubMed]
- Preckel, Franzis, Christina Wermer, and Frank M. Spinath. 2011. The interrelationship between speeded and unspeeded divergent thinking and reasoning, and the role of mental speed. Intelligence 39: 378–88. [Google Scholar] [CrossRef]
- R Core Team. 2023. R: A Language and Environment for Statistical Computing. Vienna: R Foundation for Statistical Computing. Available online: https://www.R-project.org/ (accessed on 1 January 2023).
- Raven, J. 2008. General introduction and overview: The Raven Progressive Matrices Tests: Their theoretical basis and measurement model. In Uses and Abuses of Intelligence: Studies Advancing Spearman and Raven’s Quest for Non-Arbitrary Metrics. Competency Motivation Project. EDGE 2000. Romanian Psychological Testing Services SRL. Edited by John Raven and Jean Raven. Unionville: Royal Fireworks Press. [Google Scholar]
- Raven, John C. 1938. Progressive Matrices. London: H. K. Lewis and Co. [Google Scholar]
- Raven, John, John C. Raven, and John H. Court. 1998. Raven Manual: Section 4, Advanced Progressive Matrices. Oxford: Oxford Psychologists Press. [Google Scholar]
- Redick, Thomas S., James M. Broadway, Matt E. Meier, Princy S. Kuriakose, Nash Unsworth, Michael J. Kane, and Randall W. Engle. 2012. Measuring Working Memory Capacity With Automated Complex Span Tasks. European Journal of Psychological Assessment 28: 164–71. [Google Scholar] [CrossRef]
- Ren, Xuezhu, Tengfei Wang, Michael Altmeyer, and Karl Schweizer. 2014. A learning-based account of fluid intelligence from the perspective of the position effect. Learning and Individual Differences 31: 30–35. [Google Scholar] [CrossRef]
- Ren, Xuezhu, Tengfei Wang, Sumin Sun, Mi Deng, and Karl Schweizer. 2018. Speeded testing in the assessment of intelligence gives rise to a speed factor. Intelligence 66: 64–71. [Google Scholar] [CrossRef]
- Rindler, Susan Ellerin. 1979. Pitfalls in assessing test speededness. Journal of Educational Measurement 16: 261–70. [Google Scholar] [CrossRef]
- Roberts, Richard D., and Lazar Stankov. 1999. Individual differences in speed of mental processing and human cognitive abilities: Toward a taxonomic model. Learning and Individual Differences 11: 1–120. [Google Scholar] [CrossRef]
- Salama-Younes, M. 2011. Etudes socio-cognitives des besoins fondamentaux: Echelles de mesure et application sociocognitive pour une population d’étudiant de l’université. Unpublished Doctoral Dissertation, Université Rennes 2, Rennes, France. [Google Scholar]
- Salthouse, Timothy A. 1992. Influence of processing speed on adult age differences in working memory. Acta Psychologica 79: 155–70. [Google Scholar] [CrossRef]
- Salthouse, Timothy A. 1996. The processing-speed theory of adult age differences in cognition. Psychological Review 103: 403–28. [Google Scholar] [CrossRef]
- Schneider, W. Joel, and Kevin S. McGrew. 2018. The Cattell-Horn-Carroll theory of cognitive abilities. In Contemporary Intellectual Assessment: Theories, Tests, and Issues, 4th ed. Edited by Dawn P. Flanagan and Erin M. McDonough. New York: The Guilford Press. [Google Scholar]
- Schnipke, Deborah L., and David J. Scrams. 1997. Modeling Item Response Times With a Two-State Mixture Model: A New Method of Measuring Speededness. Journal of Educational Measurement 34: 213–32. [Google Scholar] [CrossRef]
- Schubert, Anna-Lena, Dirk Hagemann, Gidon T. Frischkorn, and Sabine C. Herpertz. 2018. Faster, but not smarter: An experimental analysis of the relationship between mental speed and mental abilities. Intelligence 71: 66–75. [Google Scholar] [CrossRef]
- Schweizer, Karl, and Xuezhu Ren. 2013. The position effect in tests with a time limit: The consideration of inter-ruption and working speed. Psychological Test and Assessment Modeling 55: 62–78. [Google Scholar]
- Schweizer, Karl, Dorothea Krampen, and Brian F. French. 2021. Does rapid guessing prevent the detection of the effect of a time limit in testing? Methodology: European Journal of Research Methods for the Behavioral and Social Sciences 17: 168–88. [Google Scholar] [CrossRef]
- Schweizer, Karl, Siegbert Reiß, and Stefan Troche. 2019a. Does the Effect of a Time Limit for Testing Impair Structural Investigations by Means of Confirmatory Factor Models? Educational and Psychological Measurement 79: 40–64. [Google Scholar] [CrossRef]
- Schweizer, Karl, Siegbert Reiß, Xuezhu Ren, Tengfei Wang, and Stefan J. Troche. 2019b. Speed Effect Analysis Using the CFA Framework. Frontiers in Psychology 10: 239. [Google Scholar] [CrossRef]
- Semmes, Robert, Mark L. Davison, and Catherine Close. 2011. Modeling Individual Differences in Numerical Reasoning Speed as a Random Effect of Response Time Limits. Applied Psychological Measurement 35: 433–46. [Google Scholar] [CrossRef]
- Shaw, Amy, Fabian Elizondo, and Patrick L. Wadlington. 2020. Reasoning, fast and slow: How noncognitive factors may alter the ability-speed relationship. Intelligence 83: 101490. [Google Scholar] [CrossRef]
- Snow, Richard E. 1980. Aptitude processes. In Aptitude, Learning, and Instruction: Cognitive Process Analyses of Aptitude. Edited by Richard E. Snow, Pat-Anthony Federico and William E. Montague. Hillsdale: Erlbaum, vol. 1, pp. 27–63. [Google Scholar]
- St Clair-Thompson, Helen L. 2007. The influence of strategies on relationships between working memory and cognitive skills. Memory 15: 353–65. [Google Scholar] [CrossRef]
- Stafford, Richard E. 1971. The Speededness Quotient: A New Descriptive Statistic for Tests. Journal of Educational Measurement 8: 275–77. [Google Scholar] [CrossRef]
- Sussman, Rachel F., and Robert Sekuler. 2022. Feeling rushed? Perceived time pressure impacts executive function and stress. Acta Psychologica 229: 103702. [Google Scholar] [CrossRef]
- Tancoš, Martin, Edita Chvojka, Michal Jabůrek, and Šárka Portešová. 2023. Faster ≠ Smarter: Children with Higher Levels of Ability Take Longer to Give Incorrect Answers, Especially When the Task Matches Their Ability. Journal of Intelligence 11: 63. [Google Scholar] [CrossRef] [PubMed]
- Tatel, Corey E., Zachary R. Tidler, and Phillip L. Ackerman. 2020. Process differences as a function of test modifications: Construct validity of Raven’s advanced progressive matrices under standard, abbreviated and/or speeded conditions—A meta-analysis. Intelligence 90: 101604. [Google Scholar] [CrossRef]
- Thomassin, Noémylle, Corentin Gonthier, Michel Guerraz, and Jean-Luc Roulin. 2015. The Hard Fall Effect: High working memory capacity leads to a higher, but less robust short-term memory performance. Experimental Psychology 62: 89–97. [Google Scholar] [CrossRef] [PubMed]
- Thorndike, Edward L., Elsie Oschrin Bregman, Margaret Vara Cobb, and Ella Woodyard. 1926. The Measurement of Intelligence. New York: Teachers College Bureau of Publications. [Google Scholar]
- Traub, Ross E., and Ronald K. Hambleton. 1972. The Effect of Scoring Instructions and Degree of Speededness on the Validity and Reliability of Multiple-Choice Tests1. Educational and Psychological Measurement 32: 737–58. [Google Scholar] [CrossRef]
- Unsworth, Nash, Richard P. Heitz, Josef C. Schrock, and Randall W. Engle. 2005. An automated version of the operation span task. Behavior Research Methods 37: 498–505. [Google Scholar] [CrossRef] [PubMed]
- Unsworth, Nash, Thomas S. Redick, Chad E. Lakey, and Diana L. Young. 2010. Lapses in sustained attention and their relation to executive control and fluid abilities: An individual differences investigation. Intelligence 38: 111–22. [Google Scholar] [CrossRef]
- Unsworth, Nash, Thomas S. Redick, Richard P. Heitz, James M. Broadway, and Randall W. Engle. 2009. Complex working memory span tasks and higher-order cognition: A latent-variable analysis of the relationship between processing and storage. Memory 17: 635–54. [Google Scholar] [CrossRef]
- van der Linden, Wim J. 2009. Conceptual issues in response-time modeling. Journal of Educational Measurement 46: 247–72. [Google Scholar] [CrossRef]
- van der Maas, Han L. J., Dylan Molenaar, Gunter Maris, Rogier A. Kievit, and Denny Borsboom. 2011. Cognitive psychology meets psychometric theory: On the relation between process models for decision making and latent variable models for individual differences. Psychological Review 118: 339–56. [Google Scholar] [CrossRef]
- Verguts, Tom, and Paul De Boeck. 2002. The induction of solution rules in Raven’s Progressive Matrices Test. The European Journal of Cognitive Psychology 14: 521–47. [Google Scholar] [CrossRef]
- Verguts, Tom, Paul De Boeck, and Eric Maris. 1999. Generation speed in Raven’s progressive matrices test. Intelligence 27: 329–45. [Google Scholar] [CrossRef]
- Vernon, Philip A. 1983. Speed of information processing and general intelligence. Intelligence 7: 53–70. [Google Scholar] [CrossRef]
- Vernon, Philip A., and Lida Kantor. 1986. Reaction time correlations with intelligence test scores obtained under either timed or untimed conditions. Intelligence 10: 315–30. [Google Scholar] [CrossRef]
- Vernon, Philip A., Sue Nador, and Lida Kantor. 1985. Reaction times and speed-of-processing: Their relationship to timed and untimed measures of intelligence. Intelligence 9: 357–74. [Google Scholar] [CrossRef]
- Wilhelm, Oliver, and Ralf Schulze. 2002. The relation of speeded and unspeeded reasoning with mental speed. Intelligence 30: 537–54. [Google Scholar] [CrossRef]
- Wise, Steven L., and Xiaojing Kong. 2005. Response Time Effort: A New Measure of Examinee Motivation in Computer-Based Tests. Applied Measurement in Education 18: 163–83. [Google Scholar] [CrossRef]
- Wollack, James A., Allan S. Cohen, and Craig S. Wells. 2003. A Method for Maintaining Scale Stability in the Presence of Test Speededness. Journal of Educational Measurement 40: 307–30. [Google Scholar] [CrossRef]
- Wood, Simon N. 2017. Generalized Additive Models: An Introduction with R, 2nd ed. Boca Raton: Chapman and Hall/CRC. [Google Scholar]
- Wright, Peter. 1974. The harassed decision maker: Time pressures, distractions, and the use of evidence. Journal of Applied Psychology 59: 555–61. [Google Scholar] [CrossRef]







| Condition | Measure | M | SD | Skew | Kurtosis | Range | α |
|---|---|---|---|---|---|---|---|
| Unlimited time (n = 97) | Accuracy | 10.47 | 3.43 | 0.02 | −0.47 | 2–18 | 0.74 |
| Response time | 39.80 | 15.50 | 1.15 | 1.77 | 13.21–101.23 | 0.85 | |
| Confidence | 63.00 | 14.43 | 0.12 | −0.82 | 32.72–93.44 | 0.85 | |
| Constructive matching | 6.75 | 1.69 | −0.98 | 0.51 | 1.67–9 | 0.94 | |
| Response elimination | 5.78 | 1.74 | −0.53 | −0.47 | 1.44–8.50 | 0.92 | |
| Strategy use | 0.96 | 2.58 | −0.06 | 0.91 | −6.16–7.11 | 0.92 | |
| 20 min time pressure (n = 99) | Accuracy | 9.22 | 3.71 | 0.15 | −0.49 | 1–18 | 0.77 |
| Response time | 33.94 | 12.32 | 0.69 | 0.36 | 10.58–69.43 | 0.81 | |
| Confidence | 56.37 | 19.25 | −0.05 | −0.63 | 12.78–94.56 | 0.92 | |
| Constructive matching | 6.34 | 1.67 | −0.40 | −0.41 | 2.06–9 | 0.93 | |
| Response elimination | 5.51 | 1.63 | −0.37 | −0.49 | 1.11–8.78 | 0.92 | |
| Strategy use | 0.83 | 2.45 | 0.41 | 0.07 | −4.94–7.66 | 0.92 | |
| 10 min time pressure (n = 99) | Accuracy | 8.52 | 3.16 | −0.13 | −0.36 | 1–15 | 0.68 |
| Response time | 27.69 | 7.54 | 1.84 | 10.55 | 10.63–72.05 | 0.65 | |
| Confidence | 52.05 | 17.03 | −0.20 | −0.16 | 8.78–96.17 | 0.89 | |
| Constructive matching | 6.19 | 1.61 | −0.67 | 0.16 | 1–8.88 | 0.92 | |
| Response elimination | 5.53 | 1.57 | −0.12 | −0.71 | 2.17–8.78 | 0.90 | |
| Strategy use | 0.66 | 2.30 | −0.31 | 0.64 | −7.11–6.33 | 0.89 |
| Percentile | Time-on-Task (Minutes) | Item Completion Rate (Items/Minute) |
|---|---|---|
| 02.5% | 06.23 | 2.89 |
| 05% | 06.60 | 2.73 |
| 10% | 06.97 | 2.58 |
| 25% | 08.77 | 2.05 |
| 50% | 11.29 | 1.59 |
| 75% | 14.51 | 1.24 |
| 90% | 18.45 | 0.98 |
| 95% | 20.61 | 0.87 |
| 97.5% | 21.43 | 0.84 |
| Measure | F(2, 292) | p | η2p | HSD |
|---|---|---|---|---|
| Accuracy | 8.13 | <0.001 | 0.05 | (10 = 20) < UN |
| Response time | 24.14 | <0.001 | 0.14 | 10 < 20 < UN |
| Confidence | 10.25 | <0.001 | 0.07 | (10 = 20) < UN |
| Constructive matching | 2.99 | 0.050 | 0.02 | 10 < UN |
| Response elimination | 0.85 | 0.428 | 0.01 | ns |
| Strategy score | 0.38 | 0.681 | 0.00 | ns |
| Item | Mean RT in Seconds | ANOVA Results | |||||
|---|---|---|---|---|---|---|---|
| Unlimited | 20-min | 10-min | F(2, 292) | p | η2 | HSD | |
| Item 01 | 29.80 | 20.70 | 21.37 | 12.99 | <0.001 | 0.08 | (10 = 20) < UN |
| Item 02 | 19.34 | 17.31 | 15.93 | 3.11 | 0.046 | 0.02 | 10 < UN |
| Item 03 | 17.53 | 15.46 | 14.82 | 2.61 | 0.075 | 0.02 | ns |
| Item 04 | 21.57 | 20.46 | 19.74 | 0.52 | 0.592 | 0.00 | ns |
| Item 05 | 24.61 | 20.34 | 18.80 | 3.90 | 0.021 | 0.03 | 10 < UN |
| Item 06 | 24.19 | 21.10 | 20.19 | 2.71 | 0.068 | 0.02 | ns |
| Item 07 | 34.61 | 28.15 | 26.13 | 6.36 | 0.002 | 0.04 | (10 = 20) < UN |
| Item 08 | 33.53 | 28.42 | 25.47 | 8.77 | <0.001 | 0.06 | (10 = 20) < UN |
| Item 09 | 29.22 | 26.17 | 23.44 | 2.09 | 0.125 | 0.01 | ns |
| Item 10 | 39.43 | 27.28 | 26.51 | 6.18 | 0.002 | 0.04 | (10 = 20) < UN |
| Item 11 | 48.27 | 36.24 | 30.59 | 17.32 | <0.001 | 0.11 | (10 = 20) < UN |
| Item 12 | 53.74 | 45.97 | 34.47 | 12.80 | <0.001 | 0.08 | 10 < (20 = UN) |
| Item 13 | 41.61 | 35.88 | 28.49 | 9.79 | <0.001 | 0.06 | 10 < (20 = UN) |
| Item 14 | 57.62 | 45.81 | 32.93 | 12.45 | <0.001 | 0.08 | 10 < 20 < UN |
| Item 15 | 50.70 | 48.80 | 32.86 | 16.16 | <0.001 | 0.10 | 10 < (20 = UN) |
| Item 16 | 72.70 | 62.93 | 44.53 | 11.74 | <0.001 | 0.08 | 10 < (20 = UN) |
| Item 17 | 72.85 | 61.63 | 41.99 | 12.82 | <0.001 | 0.08 | 10 < (20 = UN) |
| Item 18 | 45.12 | 47.68 | 36.40 | 3.42 | 0.034 | 0.02 | 10 < (20 = UN) |
| Measure | Correlation with Ability | Correlation with WMC | Correlation with NFC | ||||||
|---|---|---|---|---|---|---|---|---|---|
| Free | 20-min | 10-min | Free | 20-min | 10-min | Free | 20-min | 10-min | |
| Accuracy | 1.00 | 1.00 | 1.00 | 0.32 | 0.34 | 0.42 | 0.39 | 0.43 | 0.30 |
| Response time | 0.51 | 0.45 | 0.24 | 0.19 | 0.14 | -0.07 | 0.18 | 0.16 | 0.02 |
| Confidence | 0.53 | 0.65 | 0.29 | 0.25 | 0.54 | 0.30 | 0.36 | 0.47 | 0.28 |
| Constructive matching | 0.30 | 0.31 | 0.28 | 0.19 | 0.30 | 0.23 | 0.34 | 0.30 | 0.36 |
| Response elimination | −0.36 | −0.16 | −0.36 | −0.24 | −0.19 | −0.26 | −0.29 | −0.17 | −0.28 |
| Test | Condition | Predictor | ||
|---|---|---|---|---|
| Ability | WMC | NFC | ||
| Main effect of predictor on accuracy | Unlimited | - | F = 7.29, edf = 1.52, p = 0.003 | F = 16.42, edf = 1.00, p < 0.001 |
| 20 min | - | F = 14.83, edf = 1.00, p < 0.001 | F = 23.81, edf = 1.00, p < 0.001 | |
| 10 min | - | F = 8.47, edf = 1.64, p < 0.001 | F = 8.43, edf = 1.00, p = 0.004 | |
| Difference between −2/+2 SD | Unlimited | 13.65 | 4.11 | 5.39 |
| 20 min | 14.78 | 5.03 | 6.32 | |
| 10 min | 12.58 | 5.77 | 3.66 | |
| Difference between conditions | Unlimited vs. 20 min | - | F = 0.20, p = 0.658 | F = 0.25, p = 0.618 |
| Unlimited vs. 10 min | - | F = 0.73, p = 0.517 | F = 0.89, p = 0.347 | |
| 20 min vs. 10 min | - | F = 0.54, p = 0.628 | F = 2.16, p = 0.143 | |
| Test | Condition | Predictor | ||
|---|---|---|---|---|
| Ability | WMC | NFC | ||
| Main effect of predictor on RTs | Unlimited | F = 15.48, edf = 2.94, p < 0.001 | F = 3.42, edf = 2.03, p = 0.024 | F = 5.08, edf = 1.00, p = 0.025 |
| 20 min | F = 26.42, edf = 1.00, p < 0.001 | F = 1.31, edf = 1.69, p = 0.295 | F = 2.71, edf = 1.00, p = 0.101 | |
| 10 min | F = 1.73, edf = 1.82, p = 0.148 | F = 0.92, edf = 1.96, p = 0.364 | F = 0.02, edf = 1.00, p = 0.896 | |
| Difference between −2/+2 SD | Unlimited | 26.47 | 9.98 | 11.34 |
| 20 min | 22.17 | 5.20 | 8.06 | |
| 10-min | 7.92 | −2.10 | 0.63 | |
| Difference between conditions | Unlimited vs. 20 min | F = 2.00, p = 0.089 | F = 0.68, p = 0.559 | F = 0.22, p = 0.640 |
| Unlimited vs. 10 min | F = 6.30, p < 0.001 | F = 3.21, p = 0.022 | F = 2.38, p = 0.123 | |
| 20 min vs. 10 min | F = 3.08, p = 0.035 | F = 1.46, p = 0.200 | F = 1.18, p = 0.278 | |
| Test | Condition | Predictor | ||
|---|---|---|---|---|
| Ability | WMC | NFC | ||
| Interaction between predictor and item position | Unlimited | F = 21.61, edf = 10.88, p < 0.001 | F = 6.84, edf = 2.15, p < 0.001 | F = 6.54, edf = 7.71, p < 0.001 |
| 20 min | F = 20.28, edf = 5.08, p < 0.001 | F = 4.58, edf = 8.96, p < 0.001 | F = 7.83, edf = 3.26, p < 0.001 | |
| 10 min | F = 17.23, edf = 3.06, p < 0.001 | F = 4.35, edf = 3.12, p = 0.007 | F = 1.63, edf = 1.00, p = 0.202 | |
| Difference between conditions | Unlimited vs. 20 min | F = 3.41, p = 0.025 | F = 1.91, p = 0.037 | F = 2.19, p = 0.049 |
| Unlimited vs. 10 min | F = 12.80, p < 0.001 | F = 1.75, p = 0.218 | F = 5.71, p = 0.002 | |
| 20 min vs. 10 min | F = 5.09, p = 0.006 | F = 3.85, p = 0.050 | F = 4.35, p = 0.007 | |
Disclaimer/Publisher’s Note: The statements, opinions and data contained in all publications are solely those of the individual author(s) and contributor(s) and not of MDPI and/or the editor(s). MDPI and/or the editor(s) disclaim responsibility for any injury to people or property resulting from any ideas, methods, instructions or products referred to in the content. |
© 2023 by the author. Licensee MDPI, Basel, Switzerland. This article is an open access article distributed under the terms and conditions of the Creative Commons Attribution (CC BY) license (https://creativecommons.org/licenses/by/4.0/).
Share and Cite
Gonthier, C. Should Intelligence Tests Be Speeded or Unspeeded? A Brief Review of the Effects of Time Pressure on Response Processes and an Experimental Study with Raven’s Matrices. J. Intell. 2023, 11, 120. https://doi.org/10.3390/jintelligence11060120
Gonthier C. Should Intelligence Tests Be Speeded or Unspeeded? A Brief Review of the Effects of Time Pressure on Response Processes and an Experimental Study with Raven’s Matrices. Journal of Intelligence. 2023; 11(6):120. https://doi.org/10.3390/jintelligence11060120
Chicago/Turabian StyleGonthier, Corentin. 2023. "Should Intelligence Tests Be Speeded or Unspeeded? A Brief Review of the Effects of Time Pressure on Response Processes and an Experimental Study with Raven’s Matrices" Journal of Intelligence 11, no. 6: 120. https://doi.org/10.3390/jintelligence11060120
APA StyleGonthier, C. (2023). Should Intelligence Tests Be Speeded or Unspeeded? A Brief Review of the Effects of Time Pressure on Response Processes and an Experimental Study with Raven’s Matrices. Journal of Intelligence, 11(6), 120. https://doi.org/10.3390/jintelligence11060120

