A Hybrid Physics-Informed and Data-Driven Approach for Predicting the Fatigue Life of Concrete Using an Energy-Based Fatigue Model and Machine Learning
Abstract
1. Introduction
2. Energy-Based Fatigue Model
2.1. Theoretical Formulation
2.2. Numerical Implementation
3. Data-Driven Fatigue Prediction
3.1. Data Generation
3.2. Learning Algorithms
3.2.1. KNN Learning Algorithm
3.2.2. DNN Learning Algorithm
3.3. Model Evaluation
- Increase the complexity of the model.
- Reduce regularization.
- Collect more data for training.
- Use a simpler model.
- Increase regularization.
4. Numerical Examples
4.1. Validation of the Energy-Based Fatigue Model
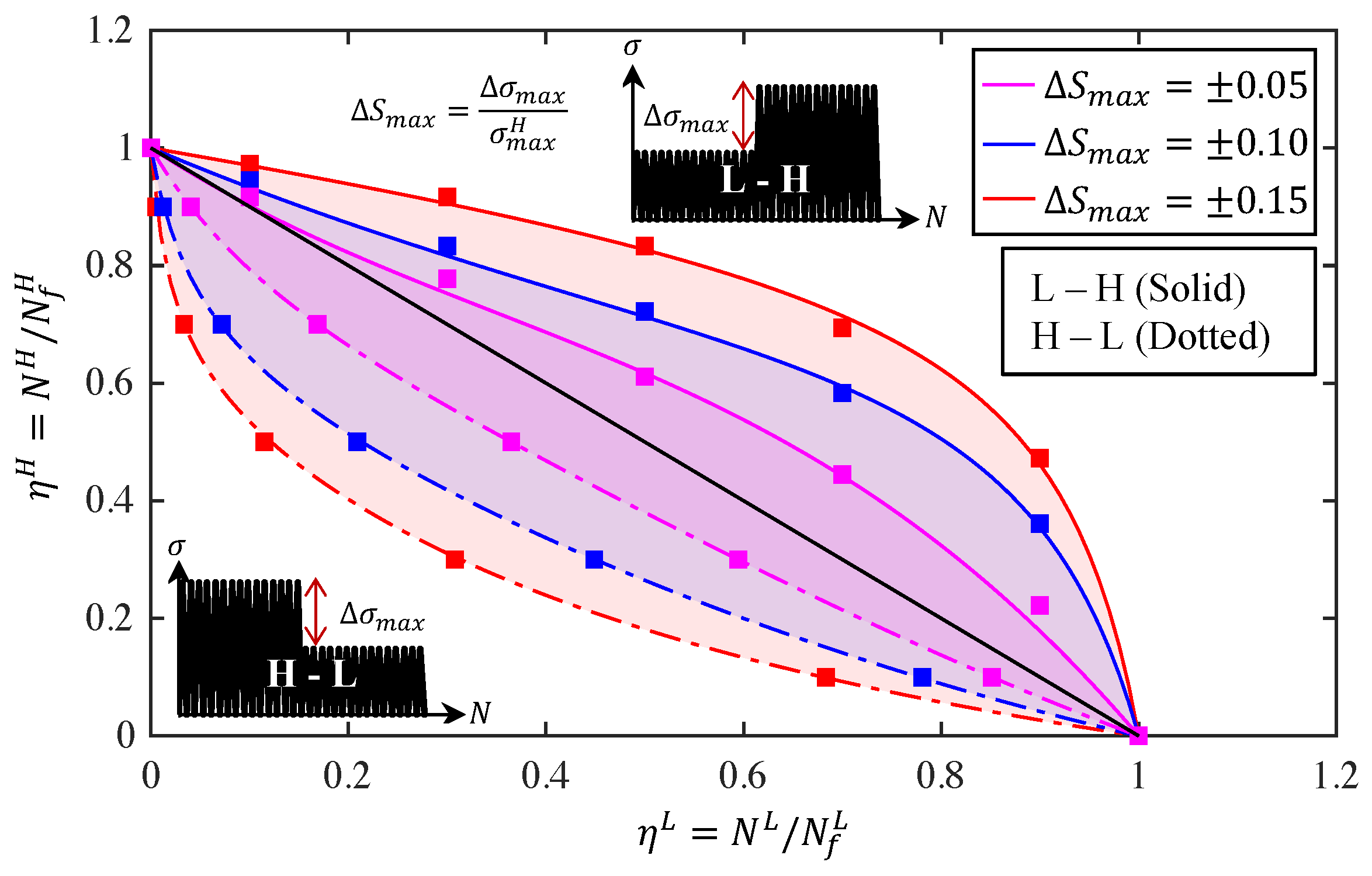
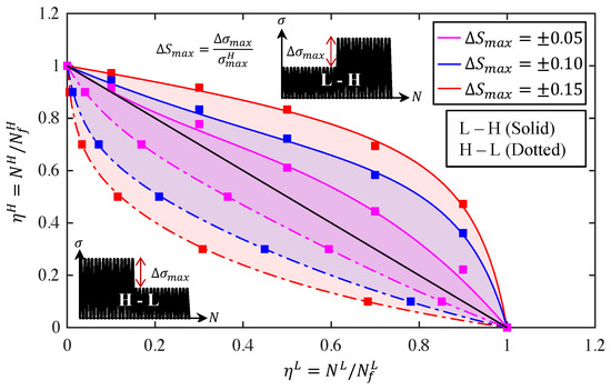
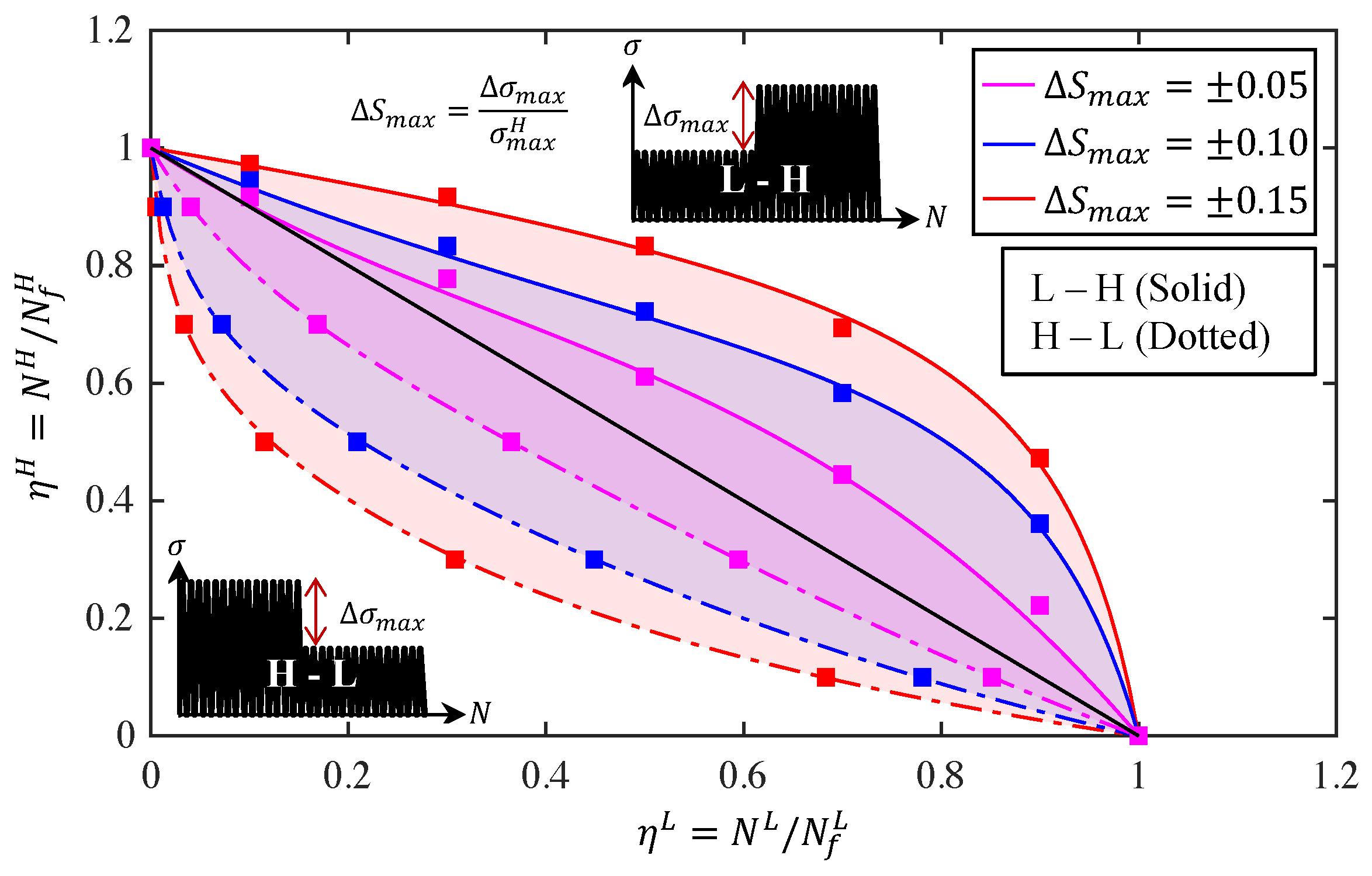
4.2. Fatigue Life Prediction Using the Energy-Based Model
4.3. Fatigue Life Prediction Using the Machine Learning Model
5. Discussion
6. Conclusions
- 1.
- A novel energy-based fatigue model is proposed, driven by the accumulation of energy rather than stress in the material, which is the typical approach in most previous studies. Such a criterion can trigger damage and plasticity in the material from low to high stress levels, with the effect growing over time as energy continues to accumulate with each loading cycle.
- 2.
- The energy-based fatigue model is validated using two experimental datasets as follows: one for the stress–strain curve of concrete under low-cycle compressive fatigue loading, and the other for obtaining the S-N curve of concrete under compression across different stress ranges.
- 3.
- High-quality data are generated using the proposed physics-based model, which are then used to train various ML models, employing algorithms like KNN and DNN. Additionally, the DNN model, with three hidden layers consisting of 128, 64, and 32 neurons, outperforms the others by providing the most accurate predictions for both in-range and out-of-range query points.
- 4.
- The present study provides a more economical approach to simulating material behavior in a laboratory-sized concrete specimen, which can be used as ML-trained finite elements in FEM models of large structures, such as wind turbine towers and bridge beams.
Author Contributions
Funding
Data Availability Statement
Conflicts of Interest
Abbreviations
| ML | Machine Learning |
| KNN | k-Nearest Neighbors |
| DNN | Deep Neural Networks |
| ED-FEM | Embedded Discontinuity Finite Element Method |
| MSE | Mean Squared Error |
| MAE | Mean Absolute Error |
| FEAP | Finite Element Analysis Program |
| Probability Density Function | |
| CDF | Cumulative Distribution Function |
References
- Chudnovsky, A.; Sehanobish, K. Long-Term Strength of Materials: Reliability Assessment and Lifetime Prediction of Engineering Structures; CRC Press: Boca Raton, FL, USA, 2008. [Google Scholar]
- Suresh, S. Fatigue of Materials, 2nd ed.; Cambridge University Press: Cambridge, UK, 1998; pp. 1–7. [Google Scholar]
- Stephens, R.I.; Fatemi, A.; Stephens, R.R.; Fuchs, H.O. Metal Fatigue in Engineering; John Wiley & Sons: Hoboken, NJ, USA, 2000. [Google Scholar]
- Albert, W.A.J. Uber Treibseile am Harz. Archiv fur Mineralogie, Georgnosie. Bergbau Huttenkd. 1837, 10, 215. [Google Scholar]
- Wöhler, A. Versucheüber die festiykeit eisenbahnwagenuchsen. Z. Bauwes. 1860, 10, 8. [Google Scholar]
- Palmgren, A. The service life of ball bearings. Z. Vereines Dtsch. Ingenieure 1924, 68, 339–341. [Google Scholar]
- Miner, M.A. Cumulative damage in fatigue. Am. Soc. Mech. Eng. 1945, 12, A159–A164. [Google Scholar] [CrossRef]
- PC, P. A rational analytic theory of fatigue. Trends Engin 1961, 13, 9–14. [Google Scholar]
- Paris, P.; Erdogan, F. A critical analysis of crack propagation laws. J. Basic Eng. 1963, 85, 528–533. [Google Scholar] [CrossRef]
- British Standards Institution. Code of Practice for Fatigue Design and Assessment of Steel Structures; British Standards Institution: London, UK, 1995. [Google Scholar]
- EN 1993-1-9; Eurocode 3: Design of Steel Structures—Part 1–9: Fatigue. European Committee for Standardization: Brussels, Belgium, 2005.
- Gylltoft, K. A fracture mechanics model for fatigue in concrete. Mater. Constr. 1984, 17, 55–58. [Google Scholar] [CrossRef]
- Bažant, Z.P.; Li, Y.N. Cohesive crack with rate-dependent opening and viscoelasticity: I. mathematical model and scaling. Int. J. Fract. 1997, 86, 247–265. [Google Scholar] [CrossRef]
- Yang, B.; Mall, S.; Ravi-Chandar, K. A cohesive zone model for fatigue crack growth in quasibrittle materials. Int. J. Solids Struct. 2001, 38, 3927–3944. [Google Scholar] [CrossRef]
- Nguyen, O.; Repetto, E.A.; Ortiz, M.; Radovitzky, R.A. A cohesive model of fatigue crack growth. Int. J. Fract. 2001, 110, 351–369. [Google Scholar] [CrossRef]
- Carrara, P.; De Lorenzis, L. A coupled damage-plasticity model for the cyclic behavior of shear-loaded interfaces. J. Mech. Phys. Solids 2015, 85, 33–53. [Google Scholar] [CrossRef]
- Ma, Z.; Le Tallec, P.; Maitournam, H. An energy-based strategy for fatigue analysis in presence of general multi-axial time varying loadings. Int. J. Fatigue 2020, 132, 105367. [Google Scholar] [CrossRef]
- Ibrahimbegovic, A.; Jehel, P.; Davenne, L. Coupled damage-plasticity constitutive model and direct stress interpolation. Comput. Mech. 2008, 42, 1–11. [Google Scholar] [CrossRef]
- Jehel, P.; Davenne, L.; Ibrahimbegovic, A.; Léger, P. Towards robust viscoelastic-plastic-damage material model with different hardenings/softenings capable of representing salient phenomena in seismic loading applications. Comput. Concr. Int. J. 2010, 7, 365–386. [Google Scholar] [CrossRef]
- Alessi, R.; Vidoli, S.; De Lorenzis, L. A phenomenological approach to fatigue with a variational phase-field model: The one-dimensional case. Eng. Fract. Mech. 2018, 190, 53–73. [Google Scholar] [CrossRef]
- Carrara, P.; Ambati, M.; Alessi, R.; De Lorenzis, L. A framework to model the fatigue behavior of brittle materials based on a variational phase-field approach. Comput. Methods Appl. Mech. Eng. 2020, 361, 112731. [Google Scholar] [CrossRef]
- Schröder, J.; Pise, M.; Brands, D.; Gebuhr, G.; Anders, S. Phase-field modeling of fracture in high performance concrete during low-cycle fatigue: Numerical calibration and experimental validation. Comput. Methods Appl. Mech. Eng. 2022, 398, 115181. [Google Scholar] [CrossRef]
- Borden, M.J.; Verhoosel, C.V.; Scott, M.A.; Hughes, T.J.; Landis, C.M. A phase-field description of dynamic brittle fracture. Comput. Methods Appl. Mech. Eng. 2012, 217, 77–95. [Google Scholar] [CrossRef]
- Karma, A.; Kessler, D.A.; Levine, H. Phase-field model of mode III dynamic fracture. Phys. Rev. Lett. 2001, 87, 045501. [Google Scholar] [CrossRef]
- Miehe, C.; Hofacker, M.; Welschinger, F. A phase field model for rate-independent crack propagation: Robust algorithmic implementation based on operator splits. Comput. Methods Appl. Mech. Eng. 2010, 199, 2765–2778. [Google Scholar] [CrossRef]
- Miehe, C.; Welschinger, F.; Hofacker, M. Thermodynamically consistent phase-field models of fracture: Variational principles and multi-field FE implementations. Int. J. Numer. Methods Eng. 2010, 83, 1273–1311. [Google Scholar] [CrossRef]
- Spatschek, R.; Brener, E.; Karma, A. Phase field modeling of crack propagation. Philos. Mag. 2011, 91, 75–95. [Google Scholar] [CrossRef]
- Tufail, S.; Riggs, H.; Tariq, M.; Sarwat, A.I. Advancements and challenges in machine learning: A comprehensive review of models, libraries, applications, and algorithms. Electronics 2023, 12, 1789. [Google Scholar] [CrossRef]
- Noor ali, K.; Hemmati, M.; Miraftabzadeh, S.M.; Mohammadi, Y.; Bayati, N. A Mini Review of the Impacts of Machine Learning on Mobility Electrifications. Energies 2024, 17, 6069. [Google Scholar] [CrossRef]
- Tang, Y.; Wang, Y.; Wu, D.; Chen, M.; Pang, L.; Sun, J.; Feng, W.; Wang, X. Exploring temperature-resilient recycled aggregate concrete with waste rubber: An experimental and multi-objective optimization analysis. Rev. Adv. Mater. Sci. 2023, 62, 20230347. [Google Scholar] [CrossRef]
- Lim, Y.T.; Yi, W.; Wang, H. Application of Machine Learning in Construction Productivity at Activity Level: A Critical Review. Appl. Sci. 2024, 14, 10605. [Google Scholar] [CrossRef]
- Naffer-Chevassier, K.; De Vuyst, F.; Goardou, Y. Enhanced Drag Force Estimation in Automotive Design: A Surrogate Model Leveraging Limited Full-Order Model Drag Data and Comprehensive Physical Field Integration. Computation 2024, 12, 207. [Google Scholar] [CrossRef]
- Vo, V.T.; Noeiaghdam, S.; Sidorov, D.; Dreglea, A.; Wang, L. Solving Nonlinear Energy Supply and Demand System Using Physics-Informed Neural Networks. Computation 2025, 13, 13. [Google Scholar] [CrossRef]
- Bao, H.; Wu, S.; Wu, Z.; Kang, G.; Peng, X.; Withers, P.J. A machine-learning fatigue life prediction approach of additively manufactured metals. Eng. Fract. Mech. 2021, 242, 107508. [Google Scholar] [CrossRef]
- Zhan, Z.; Hu, W.; Meng, Q. Data-driven fatigue life prediction in additive manufactured titanium alloy: A damage mechanics based machine learning framework. Eng. Fract. Mech. 2021, 252, 107850. [Google Scholar] [CrossRef]
- Wang, H.; Li, B.; Gong, J.; Xuan, F.Z. Machine learning-based fatigue life prediction of metal materials: Perspectives of physics-informed and data-driven hybrid methods. Eng. Fract. Mech. 2023, 284, 109242. [Google Scholar] [CrossRef]
- Mirzaei, A.M. Stress, Strain, or Energy? which one is superior predictor of fatigue life in notched Components? A novel Machine Learning-Based framework. Eng. Fract. Mech. 2024, 309, 110401. [Google Scholar] [CrossRef]
- Son, J.; Yang, S. A new approach to machine learning model development for prediction of concrete fatigue life under uniaxial compression. Appl. Sci. 2022, 12, 9766. [Google Scholar] [CrossRef]
- Liang, G.Q.; Chen, X.; Jiang, B.Y.; Jiang, C.S. Fatigue life prediction of concrete under cyclic compression based on gradient boosting regression tree. Mater. Struct. 2023, 56, 172. [Google Scholar] [CrossRef]
- Ibrahimbegovic, A. Nonlinear Solid Mechanics: Theoretical Formulations and Finite Element Solution Methods; Springer Science & Business Media: Berlin/Heidelberg, Germany, 2009; Volume 160. [Google Scholar]
- Ljukovac, S.; Ibrahimbegovic, A.; Mejia-Nava, R.A.; Imamovic, I. Geometrically exact 3D beam theory with embedded strong discontinuities for modeling of localized failure in bending. Int. J. Solids Struct. 2024, 297, 112850. [Google Scholar] [CrossRef]
- Ibrahimbegović, A.; Chorfi, L. Viscoplasticity model at finite deformations with combined isotropic and kinematic hardening. Comput. Struct. 2000, 77, 509–525. [Google Scholar] [CrossRef]
- Kassab, M.P.; Campello, E.D.M.B.; Ibrahimbegovic, A. A geometrically exact thin-walled rod model with warping and stress-resultant-based plasticity obtained with a two-level computational approach. Comput. Methods Appl. Mech. Eng. 2025, 433, 117497. [Google Scholar] [CrossRef]
- Suljević, S.; Ibrahimbegovic, A.; Dolarević, S. Hybrid stress and heat-flux formulation of thermodynamics for long-term simulations in thermo-viscoplasticity. Int. J. Numer. Methods Eng. 2024, 125, e7436. [Google Scholar] [CrossRef]
- Imandoust, S.B.; Bolandraftar, M. Application of k-nearest neighbor (knn) approach for predicting economic events: Theoretical background. Int. J. Eng. Res. Appl. 2013, 3, 605–610. [Google Scholar]
- Li, J.; Cheng, J.H.; Shi, J.Y.; Huang, F. Brief introduction of back propagation (BP) neural network algorithm and its improvement. In Advances in Computer Science and Information Engineering; Springer: Berlin/Heidelberg, Germany, 2012; pp. 553–558. [Google Scholar]
- Abiodun, O.I.; Jantan, A.; Omolara, A.E.; Dada, K.V.; Mohamed, N.A.; Arshad, H. State-of-the-art in artificial neural network applications: A survey. Heliyon 2018, 4, e00938. [Google Scholar] [CrossRef]
- Taylor, R.L. FEAP-A Finite Element Analysis Program. 2014. Available online: http://projects.ce.berkeley.edu/feap/ (accessed on 7 January 2025).
- Ramtani, S. Contribution to the Modeling of the Multi-Axial Behavior of Damaged Concrete with Description of the Unilateral Characteristics. Ph.D. Thesis, Paris 6 University, Paris, France, 1990. [Google Scholar]
- Mazars, J.; Berthaud, Y.; Ramtani, S. The unilateral behaviour of damaged concrete. Eng. Fract. Mech. 1990, 35, 629–635. [Google Scholar] [CrossRef]
- Awad, M.E.M. Strength and Deformation Characteristics of Plain Concrete Subjected to High Repeated and Sustained Loads; University of Illinois at Urbana-Champaign: Champaign, IL, USA, 1971. [Google Scholar]
- Suljević, S.; Ibrahimbegovic, A.; Dolarević, S. Regularized variational formulation and 3D discrete approximation with enhanced performance in thermoelasticity and thermo-damage. Comput. Mech. 2025; in press. [Google Scholar]














| Features | Range | Unit |
|---|---|---|
| Elastic modulus (E) | [20, 30, 40] | GPa |
| Inital fatigue modulus () | [100, 150, 200] | MPa |
| Fatigue decay rate () | [0.5, 1.0, 1.5] | - |
| Fatigue decay rate () | [0.3, 0.5, 0.7] | - |
| Threshold stress () | [25, 30, 35] | MPa |
| Stress ratio (R) | [0, 0.3, 0.6] | - |
| Maximum stress () | [20, 30, 40, 50] | MPa |
| Number of cycles (N) | - | - |
| Fatigue variable () | - | - |
| Accumulated energy (G) | - | MPa |
| Activation Function | Formula | Range | Use Case |
|---|---|---|---|
| Linear | (, ∞) | Output layer | |
| Sigmoid | (0, 1) | Output layer | |
| Tanh | (−1, 1) | Hidden layer | |
| ReLU | (0, ∞) | Hidden layer | |
| Leaky ReLU | (, ∞) | Hidden layer |
| Name | Algorithm | Parameter | MSE (%) |
|---|---|---|---|
| Model 1 | KNN | 1.51 | |
| Model 2 | DNN | * | 35.5 |
| Model 3 | DNN | * | 0.92 |
| Model 4 | DNN | * | 0.35 |
Disclaimer/Publisher’s Note: The statements, opinions and data contained in all publications are solely those of the individual author(s) and contributor(s) and not of MDPI and/or the editor(s). MDPI and/or the editor(s) disclaim responsibility for any injury to people or property resulting from any ideas, methods, instructions or products referred to in the content. |
© 2025 by the authors. Licensee MDPI, Basel, Switzerland. This article is an open access article distributed under the terms and conditions of the Creative Commons Attribution (CC BY) license (https://creativecommons.org/licenses/by/4.0/).
Share and Cite
Rana, H.; Ibrahimbegovic, A. A Hybrid Physics-Informed and Data-Driven Approach for Predicting the Fatigue Life of Concrete Using an Energy-Based Fatigue Model and Machine Learning. Computation 2025, 13, 61. https://doi.org/10.3390/computation13030061
Rana H, Ibrahimbegovic A. A Hybrid Physics-Informed and Data-Driven Approach for Predicting the Fatigue Life of Concrete Using an Energy-Based Fatigue Model and Machine Learning. Computation. 2025; 13(3):61. https://doi.org/10.3390/computation13030061
Chicago/Turabian StyleRana, Himanshu, and Adnan Ibrahimbegovic. 2025. "A Hybrid Physics-Informed and Data-Driven Approach for Predicting the Fatigue Life of Concrete Using an Energy-Based Fatigue Model and Machine Learning" Computation 13, no. 3: 61. https://doi.org/10.3390/computation13030061
APA StyleRana, H., & Ibrahimbegovic, A. (2025). A Hybrid Physics-Informed and Data-Driven Approach for Predicting the Fatigue Life of Concrete Using an Energy-Based Fatigue Model and Machine Learning. Computation, 13(3), 61. https://doi.org/10.3390/computation13030061

