Abstract
Introduction: In the field of medical research, empirical Bayesian analysis has emerged as an increasingly applicable approach. This statistical framework offers greater flexibility, enabling researchers to incorporate prior information and rigorously estimate parameters of interest. However, the selection of suitable prior distributions can be a challenging endeavor, with profound implications for the resulting inferences. To address this challenge, this study proposes a new analytical procedure that leverages resampling techniques to guide the choice of priors in Bayesian analysis. Subject and Methods: The study group consisted of patients who had been diagnosed and had died of pancreatic adenocarcinoma (cause-specific death) who had undergone both chemotherapy and radiation at stage IV of cancer. The data were collected from the Surveillance, Epidemiology, and End Results (SEER) database. Initially, the most suitable probabilistic behavior of the survival times of patients was identified parametrically via goodness-of-fit (GOF) tests, and afterward, empirical Bayesian analysis (EBA) was performed using resampling techniques (bootstrapping and the jackknife method). The Hamiltonian Monte Carlo (HMC) method was used to obtain the posterior distribution. Results: The most appropriate data distribution was found to be a two-parameter log-normal via GOF tests. A sensitivity analysis, followed by a simulation study, was performed to validate the analytical method. The performance of bootstrapped and jackknifed empirical Bayesian estimates was compared with maximum likelihood (ML) methods at each simulation stage. The empirical Bayesian estimates were found to be consistent with the ML estimates. Finally, a comparison was made among the parametric, Kaplan–Meier and empirical Bayesian survival estimates at different time points to illustrate the validity of the method. Conclusions: Determining the appropriate prior distribution is one of the crucial components in Bayesian analysis, as it can significantly influence the resulting inferences. The cautious selection of the prior information is essential, as it encapsulates the researcher’s beliefs or external prior knowledge about the parameters of interest. In the Bayesian framework, empirical resampling methods, such as bootstrapping and jackknifing, can offer valuable insights into the significance of prior selection, thus improving the consistency of statistical inferences. However, the analytical procedure is based on the time-to-event data, and the prior selection procedure can be extended to any real data, where Bayesian analysis is needed for decision-making and uncertainty quantification.
1. Introduction
Bayesian analysis is widely acknowledged due to its numerous applications in the field of applied health sciences as a means of incorporating prior information with data [1,2]. A suitable prior choice stabilizes inferences for small sample sizes, prevents biases that could produce incorrect interpretations, and guarantees that the outcomes are consistent with domain expertise. Additionally, it maintains computational stability while balancing new input with existing knowledge to produce more reliable and understandable outcomes. When priors are carefully chosen, Bayesian models become more transparent and credible, which makes them a reliable instrument for empirical inference and decision-making.
Empirical Bayes methods [3,4] are statistical inference techniques that estimate the prior distribution from the data. The term “empirical” in applied science means “data-driven”. Empirical data is a crucial component of most applied domains, and it is imperative to identify the analytical structure of the empirical data distribution accurately as the estimates from the data model various natural phenomena [5,6]. Bayesian analysis and modeling have been extensively used in applied health science research [7,8,9,10,11] as a tool for decision-making. Ref. [12] proposed Bayes estimators considering symmetric and asymmetric loss functions assuming independent gamma priors for estimating the quantity ), where X and Y represent survival times of two groups of head and neck cancer (HNC) patients observed for different therapies (radiotherapy (RT) and a combination of radiotherapy and chemotherapy (RT + CT)) by utilizing the generalized inverse Lindley stress–strength reliability model. In their study, the author carried out a broad simulation study to compare the performance of Bayes estimators with the maximum likelihood estimators based on simulated risks. Ref. [13] developed a multi-state semi-Markov regression model for stage IV non-small-cell lung cancer (NSCLC) patients based on the survival data utilizing Bayesian reasoning. The posterior distribution of the transition probabilities, resulting from the multi-state model, was claimed to be advantageous to oncologists and patients for coherent decision-making, as the inferential procedure accounts for the uncertainty in the data which relies on the conditional inference. Bayesian analysis accompanied by sensitivity studies can be useful to quantifying uncertainty due to biases, such as confounding, selection bias, and measurement error. Ref. [14] used a Monte Carlo sensitivity analysis and Bayesian bias analysis to provide a range of biases, using data from a US silica lung cancer study [15] in which the results were found to be confounded by smoking habit. In their study, the authors also assert that the types of analyses mentioned in the manuscript, which include explicitly and quantifiably taking into account the likely sources of bias, should be more widely embraced by epidemiologists. Ref. [16] implemented a Bayesian bootstrap method to quantitatively evaluate the robustness of thermal comfort against uncertain future climate, and Bayesian bootstrapping was shown to provide a systematically consistent approach to the robustness assessment of future thermal comfort. The selection of the appropriate prior through sensitivity analysis is crucial in the context of Bayesian analysis, as it might affect the statistical inference involving the population parameters. Depaoli et al. (2020) [17] explained the importance of examining the prior distribution through a sensitivity analysis approach using the interactive Shiny app. Through the simulation study and the Shiny app analysis, the authors found a noticeable impact of the prior selection on the final analysis. Morita et al. (2010) [18] described the consequences of inappropriately chosen priors in Bayesian analysis. According to the authors, well-chosen priors are crucial in Bayesian clinical trial designs as they can substantively affect the posterior distribution-based decision rules. Li, Haojie, et al. [19] performed a comparison study to access the performance of empirical Bayes (EB) and propensity score (PS) methods for road safety evaluation via simulation studies, by using EB, inverse probability weighting (IPW), and Doubly Robust (DR) estimation methods [20].
The manuscript briefly describes the process of developing the prior selection methodology, starting from real data and comparing the validity of the methodology with sensitivity analysis and simulation studies. The parametric analysis was performed as described in Section 2.1 by finding the appropriate analytical form of the study data followed by the construction of the parametric survival function. In Section 2.2, the analytical method for identifying the probability prior distribution is presented. Section 2.3 presents the empirical Bayesian analysis results followed by a sensitivity analysis of different priors. A simulation study outlined in Section 2.4 was performed to demonstrate the validity of the method with three real datasets followed by a simulation study in Section 2.5. Using different priors, a comparison study of the Bayesian survival probability estimates was performed as described in Section 2.6. Section 3 (Discussion) provides a schematic diagram describing the step-by-step process of the performed analysis, followed by the conclusion in Section 4.
2. Material and Methods
Unlike other cancers, the incidence of pancreatic cancer continues to increase, with little improvement in survival rates [21]. Despite rapid advances in modern medical technology and significant improvements in survival rates of many cancers, pancreatic cancer continues to be an extremely fatal gastrointestinal cancer with a low 5-year survival rate and difficulty in early detection. Currently, the incidence and mortality of pancreatic cancer are surging annually worldwide. Globally, the incidence of pancreatic cancer is projected to increase to 18.6 per 100,000 in 2050, with an average annual growth of 1.1% [22]. The study data were extracted from the Surveillance, Epidemiology, and End Results (SEER) database, which is a large and enriched database for cancer operated by the National Cancer Institute (NCI) [23]. The SEER database uses de-identified data, and the available data can be used by researchers and the public for cancer statistics such as incidence, mortality, survival, and prevalence. Hence, no IRB was needed for the study. The patients at stage IV (irrespective of the racial groups) who had undergone both chemotherapy and radiation and died solely due to pancreatic adenocarcinoma (cause-specific deaths) were selected from the SEER database. Like most other cancers, pancreatic adenocarcinoma is most severe at the late stage, with a dismal overall prognosis [24], and the cohort at stage IV was chosen as the study data.
2.1. Parametric Analysis
One of the primary goals of the study is to identify parametrically the most appropriate probability distribution that characterizes the data. In order to achieve the goal, we tested different probability distributions available for time-to-event data [25,26,27,28,29,30]. However, the most appropriate probability distribution that describes the probabilistic phenomena of stage IV pancreatic cancer patients was found to be a two-parameter log-normal distribution with the location parameter and the scale parameter (Figure 1), where the values of and were obtained by maximum likelihood (ML) estimation methods.
Figure 1.
Probability density of the study data.
The appropriateness of the fitted probability distribution of the data was justified using three popular goodness-of-fit tests (Anderson–Darling (A–D), Shapiro–Wilk (SW), and Cramér–von Mises (CVM)) [31]. The following Table 1 provides the test results from three goodness-of-fit tests along with the p-values.
Table 1.
GOF test results for study data.
Parametric Survival Analysis
Once the analytical form that characterizes the data is identified probabilistically, the next goal is to obtain the parametric survival function driven by the two-parameter log-normal distribution. The parametric survival function will be used to compare the survival probability estimates obtained by the empirical method and the Kaplan–Meier method. The mathematical formulation of the parametric survival function is described as follows:
Let the random variable T denote the survival time (time-to-death) of stage IV pancreatic adenocarcinoma patients with cumulative density function , given by
where is the probability density function (PDF) of the random variable T. The survival function at time t is defined as:
gives the probability that a randomly selected specific individual from the study group survives beyond time t.
With reference to Equation (1), the parametric survival function of patients diagnosed with pancreatic cancer at stage IV is given by
where is the CDF of a standard normal distribution and is the CDF of log-normal probability distribution. We can use Equation (2) to estimate the appropriate survival probability at time t of a randomly selected patient belonging to the stage IV pancreatic adenocarcinoma patient group. Table 2 shows estimates for and in the training (60% split) and testing data (40% split) at each fold of 10-fold cross-validation (CV) [32,33,34]. As the table illustrates, the estimates in the training and testing data are comparable and consistent at each fold.
Table 2.
Comparing the training and testing data estimates at each fold.
2.2. Bayesian Framework of Data Analysis
The basic idea of frequentist statistics is that the world is described by parameters that are fixed and unknown. Since they are fixed, however, we cannot discuss them in probabilistic terms. Bayesian inference explicitly tracks and incorporates prior knowledge, and we can use the knowledge in our analysis, as prior beliefs can influence the analysis and end result.
- Identifying the Prior Distribution of the Scale Parameter via Resampling (Bootstrap and Jackknife)
In the parametric analysis in Section 2.1, we assumed the scale parameter of the two-parameter log-normal distribution as fixed (unknown), and the unknown parameter was estimated by the ML estimator.
However, in the case of Bayesian analysis, the scale parameter was assumed to be random, and we wanted to select an appropriate prior for via different resampling techniques, which can be used while performing the empirical Bayesian analysis. One could also assume both the parameters as random and use the analytical methodology. The Bayesian estimate of the posterior distribution of is termed the empirical Bayesian estimate of .
Figure 2 illustrates the random behavior of the survival time t for varying values of the scale parameter .
Figure 2.
Log-normal distribution for different scale parameters .
Assuming the scale parameter as a random variable, the next goal is to identify the posterior distribution of . The stepwise bootstrap resampling technique was used to identify the probability distribution of . The idea is to use the analytical form as the prior for the empirical Bayesian analysis (EBA). The same analytical mechanism was repeated to identify the prior using the Jackknife resampling technique.
The steps to identify the probability prior distribution via bootstrapping was as follows:
- A random sample [] of size n (in our case, it is 70) was selected from the survival data and estimate the scale parameter for by non-parametric goodness-of-fit (GOF) tests.
- We continued to select a large number of samples (1000), each of size 70, and estimate the scale parameter of the log-normal distribution for each of these 1000 samples by non-parametric GOF tests. For example, is the scale parameter estimate for
- At this point, we had 1000 estimates of : .
- From the 1000 estimates of , 1000 bootstrap estimates of were generated.
- The probability distribution of {} was identified via goodness-of-fit (GOF) tests.
Figure 3 demonstrates the mechanism of selecting the prior via bootstrap resampling. The most appropriate probability distribution for {} was found to be Gaussian with the location parameter () and scale parameter (). Since the prior distribution was identified from empirical data via bootstrapping, the prior distribution is termed the bootstrapped empirical prior (BEP), and the random variable of () is termed the bootstrapped empirical random variable. Hence, .
Figure 3.
Analytical process to identify the prior via bootstrapping: the method.
Adopting a similar mechanism to that described for bootstrapping, we next generated 1000 jackknife estimates of : . The most appropriate probability distribution of the jackknife estimates was again found to be Gaussian with the location parameter () and scale parameter (). We call this distribution the jackknifed empirical prior (JEP) and the random variable the jackknifed empirical random variable of (), hence, . A similar stepwise mechanism to that shown in Figure 3 can be presented for the jackknife resamples as well.
Table 3 illustrates the GOF statistics for both the processes, bootstrapping and the jackknife method, showing that we fail to reject the null hypothesis (at 5% level of significance) that the distribution of and are following Gaussian probability distribution.
Table 3.
GOF Test Results for bootstrapped empirical prior (BEP) (left) and jackknifed empirical prior (JEP) (right) of .
Figure 4 illustrates the distribution of both BEP and JEP, which will be used for the empirical Bayesian analysis (EBA).
Figure 4.
Distribution of bootstrapped empirical prior (BEP) (left) and jackknifed empirical prior (JEP) (Right).
2.3. Empirical Bayesian Analysis (EBA)
The empirical Bayesian analysis (EBA) approach has been widely employed in applied sciences [35,36]. Ref. [37] used EBA to forecast the multiple sclerosis incidence temporal trend in the Northeast of Iran. Ref. [38] proposed a methodology based on empirical Bayes to integrate the signals of adverse drug reactions (ADRs) and demonstrated that the method leads to a statistically significant result by substantially improving the signal detection accuracy. Ref. [39] proposed a generic empirical Bayesian approach for performing differential gene expression predictions from a fitted deep generative model while controlling the false discovery rate (FDR) and found that the approach outperforms the state-of-the-art methods at estimating the log fold change in gene expression levels as well as detecting differentially expressed genes between subpopulations of cells.
One of the main challenges in performing Bayesian analysis is the choice of appropriate prior. There are different methods [40,41] in the literature regarding the appropriateness of the prior selection. In our study, we propose the resampling approach to identify the analytical form of the prior. In order to estimate the posterior density , we used the Hamiltonian Monte Carlo (HMC) method [42,43,44], which is a special variant of the Markov Chain Monte Carlo (MCMC) [45,46]. We call the posterior mean of the empirical Bayesian (EB) estimate, (). With the BEP and JEP identified, they can be used for EBA. The EBA was performed using RStudio version 4.2.1 and RStan (http://mc-stan.org/rstan/ (accessed on 28 July 2023)). The mathematical formulae to compute the Bayesian estimates using the HMC are intricate. A detailed explanation of MCMC sampling and relevant mathematical details can be found in the STAN reference manual (https://mc-stan.org/docs/reference-manual/mcmc.html#hamiltonian-monte-carlo (accessed on 28 December 2024)). A useful resource for performing empirical Bayesian analysis (EBA) using R MCMC can be found in https://m-clark.github.io/posts/2019-06-21-empirical-bayes/(accessed on 28 December 2024). Other useful resources regarding Hamiltonian Monte Carlo Sampling in R within the empirical Bayesian framework can be found in [47,48]. Table 4 represents the posterior mean estimates using the bootstrap and jackknifed empirical priors along with the standard deviations and confidence ranges.
Table 4.
Comparison among different empirical estimates.
In Table 4, is the sampling distribution of the MLE of . and are bootstrapped and jackknifed empirical posterior distributions. The posterior mean and SD obtained by both the bootstrap and jackknife methods are approximately the same.
2.3.1. MCMC Diagnosis
Markov Chain Monte Carlo techniques have become vital for Bayesian analysis, enabling researchers to investigate intricate posterior distributions and make well-informed decisions. A key part of MCMC diagnostics [49] involves the trace plot, which offers a visual depiction of the sampled parameter values throughout the Markov chain. The trace plot is an effective tool for evaluating the convergence and mixing of the Markov chain. By analyzing this plot, researchers can detect issues like slow convergence, bimodal distributions, or autocorrelation within the chain that could greatly influence the dependability of Bayesian inference [50,51]. This diagnostic tool is useful for detecting possible issues with the MCMC sampling procedure, like slow mixing or the existence of multiple modes in the posterior distribution. Trace plots offer a visual depiction of the MCMC samples, enabling researchers to promptly spot potential anomalies in the chain’s behavior. After using the MCMC method, it is important to check whether the quality of a sample generated with an MCMC algorithm is sufficient to provide an accurate approximation of the target distribution. One of the MCMC diagnostic tools that play a vital role in comprehending whether there exists any problem that might affect the MCMC sample is the trace plot [52]. A trace plot assesses the convergence of Markov Chains in the MCMC method. It shows how well the sample is exploring the space of the posterior distribution. If the chains are all on top of each other (well-mixed), they are convergent and are drawn from the same distribution, as shown in Figure 5. Figure 6 illustrates the autocorrelation plot as a diagnostics alternative to the trace plot. From the plot, we see that the autocorrelation for the intercept decreases rapidly as the lag increases, indicating good mixing of the MCMC chain for this parameter. This suggests that the chain is exploring the parameter space efficiently. Similarly, the autocorrelation for sigma2 (variability) decreases with the increase in lag, which is a positive indication of convergence and mixing.
Figure 5.
Trace plot showing the convergence of four Markov chains.
Figure 6.
Autocorrelation plot for intercept and variance.
2.3.2. Sensitivity Analysis of the Priors
The selection of prior distributions, which reflect the initial assumptions about the parameters of interest, is vital in Bayesian analysis. It can have a substantial impact on the resulting posterior distributions and thus affect the conclusions drawn from the analysis. Recognizing how sensitive Bayesian analysis is to prior selection is crucial for establishing robust and dependable conclusions. One of the most crucial factors of Bayesian analysis is to check how robust the results are with the choice of a specific prior. Even after assuming a specific prior, the appropriate parameter estimation of the prior distribution is a challenging task to perform. With the help of sensitivity analysis, the goal here is to check how sensitive the results are if we differ from the BEP and JEP. A sensitivity analysis was performed with five different probability distributions and using those as priors for the EBA. Table 5 shows the posterior standard deviation (standard deviation of ), credible interval, and the range of the intervals for all priors. The main goal of this sensitivity study is to compare the performance of the bootstrapped empirical prior (BEP) () and jackknifed empirical prior (JEP) () with three popular time-to-event probability distributions: exponential, inverse-gamma, and log-normal. The parameters of the prior distributions (exponential, inverse-gamma, and log-normal) were estimated from the study data.
Table 5.
Sensitivity analysis of the priors.
Table 5 shows that the posterior SD, credible interval, and confidence ranges are consistent for the BEP and JEP. The prior via the bootstrap method seems to provide the most precise estimate with the narrowest credible interval.
However, the goodness-of-fit tests in Table 3 identified the appropriate BEP and JEP as Gaussian for the scale parameter ; one might argue that the distribution of should be a life distribution as . Since , another sensitivity study was performed after estimating the parameters of the life distribution from the BEP (). To illustrate the sensitivity study, a two-parameter gamma distribution was considered as our targeted prior whose parameters were estimated from the estimated BEP. One can try to estimate the parameters of some other life distributions (Weibull, log-normal, etc.) with the same analytical method. Let Y be a random variable such that . Then, the probability distribution function of Y is given by with and . To estimate the accurate values of , and , one can solve the equations , the bootstrapped prior mean (BPM), and , the bootstrapped prior variance (BPV). Solving the two equations, we obtain , and . Table 6 compares the sensitivity of different gamma priors. The middle one is the optimum gamma prior obtained by equating the mean and variance of BEP with , and , where . The first and third gamma priors from Table 6 were obtained by varying the values of and such that . However, the posterior SDs are comparable for all three priors, and the credible interval is the tightest for the .
Table 6.
Sensitivity of some gamma priors.
2.4. Moving Beyond Survival Data: Comparing Priors with Real-Valued Data
In this section, we present three real datasets to compare the posterior mean, standard deviation, credible intervals (CIs), and credible ranges (CRs) of the bootstrapped empirical prior (BEP) and jackknifed empirical prior (JEP) with four additional priors, namely, the shrinkage prior [53], non-informative prior, beta prior, and gamma prior [54]. The first dataset that was used to perform the analysis was the heart attack risk prediction dataset https://www.kaggle.com/datasets/iamsouravbanerjee/heart-attack-prediction-dataset (accessed on 28 January 2025). This dataset encapsulates a wide range of factors including age, cholesterol levels, blood pressure, smoking habits, exercise patterns, dietary preferences, and more, aiming to explain the intricate interplay of these attributes in determining the likelihood of a heart attack. In order to perform the empirical Bayesian analysis (EBA), the cholesterol variable was used from the above dataset.
The second dataset that was utilized to conduct the Bayesian analysis was the noncommunicable disease (NCD) risk factor data https://ncdrisc.org/data-downloads-blood-pressure.html (accessed on 28 January 2025). The data describe the average systolic blood pressure (mmHg), diastolic blood pressure (mmHg), and the prevalence of elevated blood pressure along with the 95% uncertainty intervals from 1975 to 2015 for different countries of the world. The average diastolic blood pressure was considered for the Bayesian analysis.
The third dataset that was used to perform the analysis was the Pima Indian Diabetes data https://www.kaggle.com/datasets/uciml/pima-indians-diabetes-database (accessed on 28 January 2025). The data describe the factors related to diabetes among the Pima Indian women living near Phoenix, Arizona, originally collected by the US National Institute of Diabetes and Digestive and Kidney Diseases. We used the body mass index (BMI) from the dataset to conduct the analysis.
2.5. Simulation Study
In the Section “Identifying the Prior Distribution of the Scale Parameter via Re-Sampling (Bootstrap and Jackknife)”, the method of selecting the suitable prior was explained. Resampling techniques (bootstrapping and the jackknife method) were used in the prior selection procedure. The size of each selected sample was , with 70 samples in total, and Gaussian priors (both for bootstrapping and the jackknife method with slight differences in parameter estimates) were identified to be the most suitable priors. We wanted to investigate whether the priors changed for both resampling techniques and how they differed from small samples to large samples.
First, we simulated observations from an exponential distribution with rate = 2. The exponential distribution was assumed as the parent distribution because of its simplicity. Samples (with varying sizes, starting from 20 to 1000) were drawn from . The priors (BEP and JEP) were identified at each simulation stage using GOF tests. Table 7 illustrates probability distributions at each stage for 10 simulations using bootstrapping and the jackknife method. We call this process of identifying probability distribution for the prior at each stage of simulation the distributional simulation. The simulation result shows that the BEP and JEP are consistent at each simulation stage except for and . After determining the most appropriate BEP and JEP at each simulation stage, empirical Bayesian analysis (EBA) was performed at each stage, and the results were compared for the parametric, bootstrapped empirical Bayes (BEB), and jackknifed empirical Bayes (JEB) methods as illustrated in Table 8.
Table 7.
Identifying the priors via simulation from the exponential distribution.
Table 8.
Comparing the bootstrap and jackknife empirical Bayesian estimates with MLE.
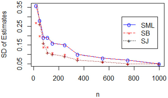
Figure 7 graphically illustrates the behavior of the standard deviations of the estimates , , and with respect to different number of simulated samples. As illustrated, the empirical Bayesian estimates and perform more precisely than .
Figure 7.
Comparing the SDs of ML, bootstrap, and jackknife estimates.
2.6. Comparing the Survival Probability Estimates
Comparing Bayesian survival probability estimates at specific time points with different priors is crucial owing to a variety reasons like sensitivity analysis, checking robustness, and model validation. Comparison with different priors also helps in understanding the interpretability at clinically relevant time points, uncertainty quantification, and practical decision-making in health science research. Table 9 presents a relative comparison among the survival estimates () for specific values of t obtained using the non-parametric Kaplan-Meier method [55], parametric method (ML), bootstrapped empirical prior (BEP), jackknifed empirical prior (JEP), shrinkage prior, non-informative prior, beta prior, and gamma prior. As illustrated, the survival probability estimates using the BEP and JEP are consistent with other priors and parametric survival probability estimates (driven by the two-parameter log-normal distribution).
Table 9.
Survival estimates .
3. Discussion
One of the primary focuses of this study was to develop a methodology to select the appropriate prior for Bayesian analysis. Two prior selection techniques using bootstrapping (bootstrapped empirical prior (BEP)) and the jackknife method (jackknifed empirical prior (JEP)) were proposed.
The whole process was developed starting from real data (survival times of stage IV pancreatic adenocarcinoma patients) and comparing the methodology with the simulated data. Figure 8 illustrates the schematic process of performing the analysis. Table 4 shows using empirical estimates that and happen to provide reduced variance and tighter confidence range. The performance is the best (SD = 0.01, CR = 0.04) for . The performance of was also validated from Table 5 in Section 2.3.2, which details the sensitivity analysis performed to compare the performance of posterior estimates from the empirical priors (BEP and JEP) with three other probability distributions. Sensitivity analysis is a vital component in Bayesian analysis, particularly when it comes to the selection of prior distributions [56,57,58]. This is especially crucial in the context of empirical Bayesian methods, where the prior distribution is estimated from the data. Scientists have developed various techniques to evaluate the impact of prior assumptions on the analysis results, empowering them to make more informed, and robust decisions confirming the reliability of their findings. One approach to sensitivity analysis in Bayesian analysis is to estimate probabilistic sensitivity measures, which quantify the influence of uncertain inputs, such as prior assumptions, on the model outputs and posterior distribution. These methods can be especially useful when dealing with complex computer simulations or high-dimensional parameter spaces, where the sample size available for analysis may be limited due to computational constraints [59].
Figure 8.
Steps performed at each stage of the analysis.
To further justify the applicability of the prior selection procedure, the parameters of the two-parameter gamma distribution were estimated from the bootstrapped empirical prior (BEP). Subsequently, they were compared with two other gamma priors (Table 6). This process illustrates how one can estimate the parameters of any well-known life distributions, and consider them as potential priors for Bayesian analysis from the BEP or JEP. Furthermore, to illustrate the applicability of the method, in addition to the survival data, three real datasets are presented in Section 2.4. Corresponding to the three datasets, three tables (Table 10, Table 11 and Table 12) were constructed by computing the posterior mean, posterior standard deviation, credible interval, and credible range of the scale parameter. In each of the cases, we compared the BEP and JEP with four different priors, namely, the shrinkage prior, gamma prior, beta prior, and non-informative prior. As illustrated in the tables, for each dataset, the four additional priors produced consistent posterior means when compared with the BEP and JEP. The BEP and JEP also produced the smallest standard deviations and the tightest credible ranges compared to the other priors. The gamma, beta, and the non-informative priors produced consistent estimates across all three datasets. However, the shrinkage prior produced the largest posterior standard deviation, and the widest confidence range.
Table 10.
Comparing the prior estimates using the heart attack risk prediction dataset.
Table 11.
Comparing the prior estimates using the NCD risk factor blood pressure data.
Table 12.
Comparing the prior estimates using the Pima Indian Diabetes data.
In Bayesian survival modeling, comparing survival estimates with various priors aids in determining how much the outcomes rely on the prior selection. It is essential to carefully choose priors based on prior knowledge or empirical data. If the estimates vary drastically among priors, this suggests a strong influence of prior assumptions [60]. Additionally, survival predictions are frequently used to inform policy decisions in clinical settings. Stakeholders must be aware of this uncertainty if outcomes significantly differ for various priors. For instance, consistency among logical prior choices improves credibility when assessing the efficacy of a novel treatment. If survival estimates remain stable across different priors, this suggests that the model is robust and that the data provide strong evidence for the survival probabilities [61]. In our analysis, the Bayesian survival probability estimates (Table 9) were found to be consistent across all priors when compared to the standard parametric and non-parametric KM methods, implying the robustness of the applicability of the JEP and BEP in survival analysis.
Simulation studies can play a crucial role in the selection of appropriate prior distributions for Bayesian analysis [62]. By generating data from known distributions and examining the influence of different prior choices on the resulting posterior distribution, researchers can obtain valuable insights into the sensitivity of the analysis to the prior specification. This information can then be used to inform the selection of a prior distribution that is both informative and robust to potential misspecification [63,64]. The simulation study is expected to provide a thorough investigation into the validity of Bayesian priors from the initial parametric probability distribution. The findings through the simulation study can enhance the understanding of how prior distributions influence Bayesian inference and assist researchers and practitioners in making well-informed decisions when applying Bayesian methods. Additionally, the results may have wider implications for the use of Bayesian techniques across different fields, where the validity of prior assumptions is a critical factor [18,65]. Furthermore, simulation studies can be especially beneficial when the data-generating process is not well comprehended or when there is limited prior knowledge available [66]. By studying the empirical Bayesian model performance under different prior assumptions, researchers can gain valuable insights into the strengths and shortcomings of their approach, which can influence their appropriate prior selection approach [62]. While performing the simulation study, the exponential distribution (a time-to-event distribution other than log-normal which was fitted to the survival data) was selected to check whether the bootstrapped empirical prior (BEP) and jackknifed empirical prior (JEP) behave similarly (have the same probability distribution) for simulated samples of different sample sizes. As Table 7 illustrates, eight out of ten simulations identified the same prior (log-normal) both as BEP and JEP. From this result, we can conclude that the prior selection procedure is robust irrespective of a particular probability distribution. While comparing the mean, standard deviation, and confidence intervals (credible intervals) for , , and (Table 8) at each simulated stage, happens to provide the highest precision with tightest credible interval (C.I) and low bias.
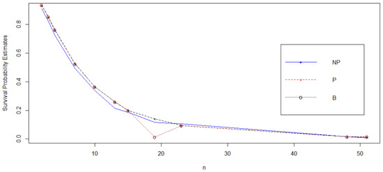
In Figure 9, the survival probability estimates () were plotted using the non-parametric (NP) KM method, parametric maximum likelihood (P) method, and Bayesian (B) method . The estimates obtained by the three methods as shown are similar and consistent for different values of t with rare exceptions.
Figure 9.
NP, P, and B are indicated as non-parametric KM, parametric, and Bayesian survival curve, respectively.
4. Conclusions
Empirical resampling approaches, including techniques such as bootstrapping and the jackknife method, can be leveraged to study the influences of different prior selections on Bayesian analyses [67]. By iteratively resampling the data and evaluating the resulting posterior distributions, researchers can develop an enhanced comprehension of how the selection of the prior distribution impacts the sensitivity of the inferences [62]. Thus, Bayesian methods, with the careful selection of prior information, can offer powerful tools for decision-making and analysis across diverse research and applied domains. The choice of priors in Bayesian survival analysis can significantly impact the resulting estimates. Bayesian methods allow for prior information to be incorporated, offering more flexibility and the ability to integrate expert knowledge. However, the prior distributions selected can greatly influence the estimates. It is crucial to carefully consider the appropriateness and sensitivity of the priors used.
This study provides a brief overview of how empirical Bayesian analysis (EBA) can be performed by selecting the appropriate prior, using resampling techniques for time-to-event data. The BEP and JEP survival estimates were compared with four different priors (shrinkage, non-informative, beta, and gamma) at different time points. The consistent empirical survival estimates for different priors demonstrate the validity of the study. Also, three additional examples using real datasets were provided to substantiate our claim. The sensitivity analysis and simulation study justify the prior selection procedure. When little or no information is available regarding the prior, the proposed methodology might be helpful in selecting the appropriate prior for real data.
Author Contributions
A.C. was responsible for conceptualization, data extraction, data analysis, data visualization, and structuring the manuscript. M.D.P. proofread and helped structure the manuscript. All authors have read and agreed to the published version of the manuscript.
Funding
This research received no external funding.
Institutional Review Board Statement
Not applicable.
Informed Consent Statement
Not applicable.
Data Availability Statement
Data can be extracted from https://seer.cancer.gov/seerstat/ (accessed on 28 February 2021).
Acknowledgments
The author is grateful to the National Cancer Institute (NCI) for making the SEER data publicly available for researchers.
Conflicts of Interest
The authors declare no conflicts of interest.
References
- Pennello, G.; Thompson, L. Experience with reviewing Bayesian medical device trials. J. Biopharm. Stat. 2007, 18, 81–115. [Google Scholar] [CrossRef] [PubMed]
- Gunn-Sandell, L.B.; Bedrick, E.J.; Hutchins, J.L.; Berg, A.A.; Kaizer, A.M.; Carlson, N.E. A practical guide to adopting Bayesian analyses in clinical research. J. Clin. Transl. Sci. 2024, 8, e3. [Google Scholar] [CrossRef] [PubMed]
- Casella, G. An introduction to empirical Bayes data analysis. Am. Stat. 1985, 39, 83–87. [Google Scholar] [CrossRef]
- Verrall, R.J. Bayes and empirical Bayes estimation for the chain ladder model. ASTIN Bull. J. IAA 1990, 20, 217–243. [Google Scholar] [CrossRef]
- Segovia, J.; Bartlett, R.F.; Edwards, A.C. An empirical analysis of the dimensions of health status measures. Soc. Sci. Med. 1989, 29, 761–768. [Google Scholar] [CrossRef] [PubMed]
- Gehris, M.; Ijaz, A.; Chakraborty, A.; Jebai, R.; Li, W.; Osibogun, O.; Mortazavizadeh, Z.; Alemohammad, S.Y.; Olufemi, E.; Bursac, Z.; et al. Epilepsy and nicotine use: Exploring disparities in ENDS and cigarette use among US adults with epilepsy. Epilepsy Behav. 2025, 162, 110177. [Google Scholar] [CrossRef]
- Achcar, J.A.; Brookmeyer, R.; Hunter, W.G. An application of Bayesian analysis to medical follow-up data. Stat. Med. 1985, 4, 509–520. [Google Scholar] [CrossRef] [PubMed]
- Doss, H.; Huffer, F.W. Monte Carlo methods for Bayesian analysis of survival data using mixtures of Dirichlet process priors. J. Comput. Graph. Stat. 2003, 12, 282–307. [Google Scholar] [CrossRef]
- Urridge, J. Empirical Bayes analysis of survival time data. J. R. Stat. Soc. Ser. B Stat. Methodol. 1981, 43, 65–75. [Google Scholar] [CrossRef]
- Campbell, G. Bayesian statistics in medical devices: Innovation sparked by the FDA. J. Biopharm. Stat. 2011, 21, 871–887. [Google Scholar] [CrossRef]
- Ajmal, M.; Danish, M.Y.; Arshad, I.A. Objective Bayesian analysis for Weibull distribution with application to random censorship model. J. Stat. Comput. Simul. 2022, 92, 43–59. [Google Scholar] [CrossRef]
- Sharma, V.K. Bayesian analysis of head and neck cancer data using generalized inverse Lindley stress–strength reliability model. Commun. Stat.-Theory Methods 2018, 47, 1155–1180. [Google Scholar] [CrossRef]
- Armero, C.; Cabras, S.; Castellanos, M.; Perra, S.; Quirós, A.; Oruezábal, M.; Sánchez-Rubio, J. Bayesian analysis of a disability model for lung cancer survival. Stat. Methods Med Res. 2016, 25, 336–351. [Google Scholar] [CrossRef] [PubMed]
- Steenland, K.; Greenland, S. Monte Carlo sensitivity analysis and Bayesian analysis of smoking as an unmeasured confounder in a study of silica and lung cancer. Am. J. Epidemiol. 2004, 160, 384–392. [Google Scholar] [CrossRef] [PubMed]
- Kriebel, D.; Rosenberg, B.J. Lung cancer: Another good reason to control silica. Cancer Causes Control 2001, 12, 785–787. [Google Scholar] [CrossRef]
- Cui, C.; Raslan, R.; Korolija, I.; Chalabi, Z. On the robustness of thermal comfort against uncertain future climate: A Bayesian bootstrap method. Build. Environ. 2022, 226, 109665. [Google Scholar] [CrossRef]
- Depaoli, S.; Winter, S.D.; Visser, M. The importance of prior sensitivity analysis in Bayesian statistics: Demonstrations using an interactive Shiny App. Front. Psychol. 2020, 11, 608045. [Google Scholar] [CrossRef]
- Morita, S.; Thall, P.F.; Müller, P. Evaluating the impact of prior assumptions in Bayesian biostatistics. Stat. Biosci. 2010, 2, 1–17. [Google Scholar] [CrossRef]
- Li, H.; Graham, D.J.; Ding, H.; Ren, G. Comparison of empirical Bayes and propensity score methods for road safety evaluation: A simulation study. Accid. Anal. Prev. 2019, 129, 148–155. [Google Scholar] [CrossRef]
- Robins, J.M.; Rotnitzky, A.; Zhao, L.P. Analysis of semiparametric regression models for repeated outcomes in the presence of missing data. J. Am. Stat. Assoc. 1995, 90, 106–121. [Google Scholar] [CrossRef]
- Khalaf, N.; El-Serag, H.B.; Abrams, H.R.; Thrift, A.P. Burden of pancreatic cancer: From epidemiology to practice. Clin. Gastroenterol. Hepatol. 2021, 19, 876–884. [Google Scholar] [CrossRef]
- Hu, J.X.; Zhao, C.F.; Chen, W.B.; Liu, Q.C.; Li, Q.W.; Lin, Y.Y.; Gao, F. Pancreatic cancer: A review of epidemiology, trend, and risk factors. World J. Gastroenterol. 2021, 27, 4298. [Google Scholar] [CrossRef]
- Duggan, M.A.; Anderson, W.F.; Altekruse, S.; Penberthy, L.; Sherman, M.E. The surveillance, epidemiology and end results (SEER) program and pathology: Towards strengthening the critical relationship. Am. J. Surg. Pathol. 2016, 40, e94. [Google Scholar] [CrossRef]
- Kleeff, J.; Korc, M.; Apte, M.; La Vecchia, C.; Johnson, C.D.; Biankin, A.V.; Neale, R.E.; Tempero, M.; Tuveson, D.A.; Hruban, R.H.; et al. Pancreatic cancer. Nat. Rev. Dis. Prim. 2016, 2, 1–22. [Google Scholar] [CrossRef]
- Chakraborty, A.; Tsokos, C.P. A modern approach of survival analysis of patients with pancreatic cancer. Am. J. Cancer Res. 2021, 11, 4725. [Google Scholar] [PubMed]
- Carroll, K.J. On the use and utility of the Weibull model in the analysis of survival data. Control. Clin. Trials 2003, 24, 682–701. [Google Scholar] [CrossRef] [PubMed]
- Cox, C.; Chu, H.; Schneider, M.F.; Munoz, A. Parametric survival analysis and taxonomy of hazard functions for the generalized gamma distribution. Stat. Med. 2007, 26, 4352–4374. [Google Scholar] [CrossRef] [PubMed]
- Gupta, R.C.; Kannan, N.; Raychaudhuri, A. Analysis of lognormal survival data. Math. Biosci. 1997, 139, 103–115. [Google Scholar] [CrossRef] [PubMed]
- Chakraborty, A.; Tsokos, C.P. An AI-driven Predictive Model for Pancreatic Cancer Patients Using Extreme Gradient Boosting. J. Stat. Theory Appl. 2023, 22, 262–282. [Google Scholar] [CrossRef]
- Clarke, R.T. Estimating trends in data from the Weibull and a generalized extreme value distribution. Water Resour. Res. 2002, 38, 25-1–25-10. [Google Scholar] [CrossRef]
- Evans, D.L.; Drew, J.H.; Leemis, L.M. The distribution of the Kolmogorov–Smirnov, Cramer–von Mises, and Anderson–Darling test statistics for exponential populations with estimated parameters. In Computational Probability Applications; Springer: Cham, Switzerland, 2017; pp. 165–190. [Google Scholar]
- Fushiki, T. Estimation of prediction error by using K-fold cross-validation. Stat. Comput. 2011, 21, 137–146. [Google Scholar] [CrossRef]
- Chakraborty, A. Data-Driven Analytical Predictive Modeling for Pancreatic Cancer, Financial & Social Systems. Ph.D. Thesis, University of South Florida, Tampa, FL, USA, 2022. [Google Scholar]
- Chakraborty, A.; Tsokos, C. A Stock Optimization Problem in Finance: Understanding Financial and Economic Indicators through Analytical Predictive Modeling. Mathematics 2024, 12, 2407. [Google Scholar] [CrossRef]
- Basu, P.; Fu, L.; Saretto, A.; Sun, W. An empirical bayes approach to controlling the false discovery exceedance. J. Bus. Econ. Stat. 2024, 42, 1041–1052. [Google Scholar] [CrossRef]
- Cosgrove, J.A.; Rose, R.A.; Lee, B.R.; Huhr, S.; Wulczyn, F. Reducing Confounding Bias in Nonexperimental Evaluation: An Application of Empirical Bayes Residuals. J. Soc. Soc. Work Res. 2024, 15, 5–26. [Google Scholar] [CrossRef]
- Taghizadeh-Diva, S.E.; Khosravi, A.; Zolfaghari, S.; Hosseinzadeh, A. Multiple sclerosis incidence temporal trend in the Northeast of Iran: Using the Empirical Bayesian method. Mult. Scler. Relat. Disord. 2023, 70, 104469. [Google Scholar] [CrossRef]
- Harpaz, R.; DuMouchel, W.; LePendu, P.; Shah, N.H. Empirical Bayes model to combine signals of adverse drug reactions. In Proceedings of the 19th ACM SIGKDD International Conference on Knowledge Discovery and Data Mining, Chicago, IL, USA, 11–14 August 2013; pp. 1339–1347. [Google Scholar]
- Boyeau, P.; Regier, J.; Gayoso, A.; Jordan, M.I.; Lopez, R.; Yosef, N. An empirical Bayes method for differential expression analysis of single cells with deep generative models. Proc. Natl. Acad. Sci. USA 2023, 120, e2209124120. [Google Scholar] [CrossRef] [PubMed]
- Ibrahim, J.G.; Laud, P.W. On Bayesian analysis of generalized linear models using Jeffreys’s prior. J. Am. Stat. Assoc. 1991, 86, 981–986. [Google Scholar] [CrossRef]
- Kass, R.E.; Wasserman, L. The selection of prior distributions by formal rules. J. Am. Stat. Assoc. 1996, 91, 1343–1370. [Google Scholar] [CrossRef]
- Neal, R.M. MCMC using Hamiltonian dynamics. Handb. Markov Chain Monte Carlo 2011, 2, 2. [Google Scholar]
- Leimkuhler, B.; Reich, S. Simulating Hamiltonian Dynamics; Cambridge University Press: Cambridge, UK, 2004. [Google Scholar]
- Nishio, M.; Arakawa, A. Performance of Hamiltonian Monte Carlo and No-U-Turn Sampler for estimating genetic parameters and breeding values. Genet. Sel. Evol. 2019, 51, 73. [Google Scholar] [CrossRef] [PubMed]
- Hachicha, A.; Hachicha, F. Analysis of the bitcoin stock market indexes using comparative study of two models SV with MCMC algorithm. Rev. Quant. Financ. Account. 2021, 56, 647–673. [Google Scholar] [CrossRef]
- Martino, L. A review of multiple try MCMC algorithms for signal processing. Digit. Signal Process. 2018, 75, 134–152. [Google Scholar] [CrossRef]
- Martin, A.D.; Quinn, K.M.; Park, J.H. MCMCpack: Markov Chain Monte Carlo in R. J. Stat. Softw. 2011, 42, 1–21. [Google Scholar] [CrossRef]
- Kien, D.T.; Wei, N.H.; Chaudhuri, S. elhmc: An R Package for Hamiltonian Monte Carlo Sampling in Bayesian Empirical Likelihood. arXiv 2022, arXiv:2209.01289. [Google Scholar]
- Cowles, M.K.; Carlin, B.P. Markov chain Monte Carlo convergence diagnostics: A comparative review. J. Am. Stat. Assoc. 1996, 91, 883–904. [Google Scholar] [CrossRef]
- Mendes, J.M.; Coelho, P.S. Addressing hospitalisations with non-error-free data by generalised SEIR modelling of COVID-19 pandemic. Sci. Rep. 2021, 11, 19617. [Google Scholar] [CrossRef] [PubMed]
- Strickland, C.M.; Denham, R.J.; Alston, C.L.; Mengersen, K.L. A Python package for Bayesian estimation using Markov chain Monte Carlo. In Case Studies in Bayesian Statistical Modelling and Analysis; John Wiley & Sons, Ltd.: Hoboken, NJ, USA, 2012; pp. 421–460. [Google Scholar]
- Vehtari, A.; Gelman, A.; Simpson, D.; Carpenter, B.; Bürkner, P.C. Rank-normalization, folding, and localization: An improved R2 for assessing convergence of MCMC (with discussion). Bayesian Anal. 2021, 16, 667–718. [Google Scholar] [CrossRef]
- Van Erp, S.; Oberski, D.L.; Mulder, J. Shrinkage priors for Bayesian penalized regression. J. Math. Psychol. 2019, 89, 31–50. [Google Scholar] [CrossRef]
- Kerman, J. Neutral noninformative and informative conjugate beta and gamma prior distributions. Electron. J. Stat. 2011, 5, 1450–1470. [Google Scholar] [CrossRef]
- Bland, J.M.; Altman, D.G. Survival probabilities (the Kaplan-Meier method). BMJ 1998, 317, 1572–1580. [Google Scholar] [CrossRef] [PubMed]
- Weiss, R. An approach to Bayesian sensitivity analysis. J. R. Stat. Soc. Ser. B Stat. Methodol. 1996, 58, 739–750. [Google Scholar] [CrossRef]
- Kleijnen, J.P. Sensitivity analysis and optimization in simulation: Design of experiments and case studies. In Proceedings of the 27th Conference on Winter Simulation, Arlington, VA, USA, 3–6 December 1995; pp. 133–140. [Google Scholar]
- Berger, J.O.; Sun, D. Objective priors for the bivariate normal model. Ann. Stat. 2008, 36, 963–982. [Google Scholar] [CrossRef]
- Antoniano-Villalobos, I.; Borgonovo, E.; Lu, X. Bayesian estimation of probabilistic sensitivity measures. arXiv 2019, arXiv:1907.09424. [Google Scholar]
- Tsokos, C.P.; Chakraborty, A. Models for Cancer Diseases. US Patent App. 18/487,984, 9 May 2024. [Google Scholar]
- Ashby, D.; Smith, A.F. Evidence-based medicine as Bayesian decision-making. Stat. Med. 2000, 19, 3291–3305. [Google Scholar] [CrossRef] [PubMed]
- Abbas, N. On classical and Bayesian reliability of systems using bivariate generalized geometric distribution. J. Stat. Theory Appl. 2023, 22, 151–169. [Google Scholar] [CrossRef]
- VanderPlas, J. Frequentism and bayesianism: A python-driven primer. arXiv 2014, arXiv:1411.5018. [Google Scholar]
- Benavoli, A.; Corani, G.; Demšar, J.; Zaffalon, M. Time for a change: A tutorial for comparing multiple classifiers through Bayesian analysis. J. Mach. Learn. Res. 2017, 18, 1–36. [Google Scholar]
- Van Dongen, S. Prior specification in Bayesian statistics: Three cautionary tales. J. Theor. Biol. 2006, 242, 90–100. [Google Scholar] [CrossRef]
- Louis, T.A. Introduction to Bayesian methods II: Fundamental concepts. Clin. Trials 2005, 2, 291–294. [Google Scholar] [CrossRef] [PubMed]
- Stauffer, H.B. Application of Bayesian statistical inference and decision theory to a fundamental problem in natural resource science: The adaptive management of an endangered species. Nat. Resour. Model. 2008, 21, 264–284. [Google Scholar] [CrossRef]
Disclaimer/Publisher’s Note: The statements, opinions and data contained in all publications are solely those of the individual author(s) and contributor(s) and not of MDPI and/or the editor(s). MDPI and/or the editor(s) disclaim responsibility for any injury to people or property resulting from any ideas, methods, instructions or products referred to in the content. |
© 2025 by the authors. Licensee MDPI, Basel, Switzerland. This article is an open access article distributed under the terms and conditions of the Creative Commons Attribution (CC BY) license (https://creativecommons.org/licenses/by/4.0/).








