Streamlining Temporal Formal Verification over Columnar Databases
Abstract
1. Introduction
- We formally introduce the novel temporal operators optimizing the aforementioned scenarios in the context of Declare as a declarative language for formal verification (Section 3).
 - We describe the implementation of the aforementioned operators over the KnoBAB architecture leveraging columnar-oriented main memory storage (Section 4).
 - We present experimental results to evaluate the effectiveness of such newly introduced operators in the context of formal verification in Declare (Section 5).
 
2. Related Works
2.1. Languages for Temporal Formal Specifications
2.1.1. LTLf
2.1.2. Declare
2.2. KnoBAB and xtLTLf
2.2.1. KnoBAB
Logical and Physical Model
Formal Verification Tasks over Query Plans
2.2.2. xtLTLf
Table Access (“Leaf”) Operators
Unary Operators
Binary Operators
2.3. Algebraic Specification for Queries
3. Proposed Derived Operators
3.1. AndAltFuture
3.2. AndAltWFuture
3.3. AndNext
3.4. NextAnd
4. Algorithmic Implementation
| Algorithm 1 Newly proposed xtLTLf operators. | 
| 1: function AndAltFuture() 2: for all s.t. do 3: if s.t. then 4: if and and 5: 6: if then yield 7: else yield 8: end if 9: end if 10: end for 11: function AndAltWFuture() 12: for all do 13: for all s.t. do 14: if s.t. then 15: if continue; 16: if and and 17: 18: if then yield 19: else yield 20: end if 21: end if 22: end for 23: if then 24: yield 25: end if 26: end for 27: function AndNext() 28: if then return ∅ 29: for all s.t. and do 30: 31: if 32: if and then continue 33: else 34: end if 35: if then yield 36: end for 37: function NextAnd() 38: for all s.t. and do 39: 40: if 41: if and then continue 42: else 43: end if 44: if then yield 45: end for  | 
4.1. AndAltFuture
4.2. AndAltWFuture
4.3. AndNext
4.4. NextAnd
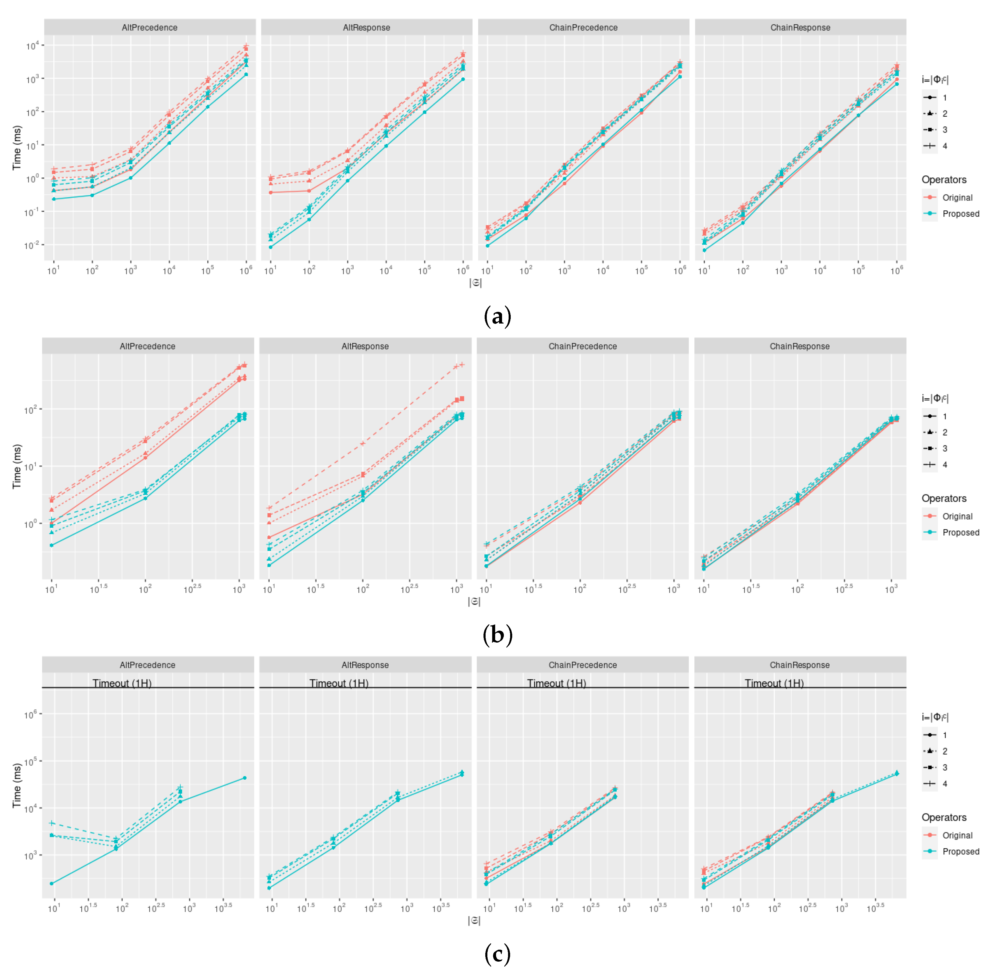
5. Empirical Evaluation
6. Conclusions and Future Works
Funding
Institutional Review Board Statement
Informed Consent Statement
Data Availability Statement
Conflicts of Interest
References
- Seshia, S.A.; Sadigh, D.; Sastry, S.S. Toward verified artificial intelligence. Commun. ACM 2022, 65, 46–55. [Google Scholar] [CrossRef]
 - Baier, C.; Katoen, J. Principles of Model Checking; MIT Press: Cambridge, MA, USA, 2008. [Google Scholar]
 - Bergami, G.; Maggi, F.M.; Marrella, A.; Montali, M. Aligning Data-Aware Declarative Process Models and Event Logs. In Proceedings of the Business Process Management-19th International Conference, BPM 2021, Rome, Italy, 6–10 September 2021; Lecture Notes in Computer, Science. Polyvyanyy, A., Wynn, M.T., Looy, A.V., Reichert, M., Eds.; Springer: Berlin/Heidelberg, Germany, 2021; Volume 12875, pp. 235–251. [Google Scholar]
 - Awad, A.; Decker, G.; Weske, M. Efficient Compliance Checking Using BPMN-Q and Temporal Logic. In Proceedings of the Business Process Management, 6th International Conference, BPM 2008, Milan, Italy, 2–4 September 2008; Lecture Notes in Computer, Science. Dumas, M., Reichert, M., Shan, M., Eds.; Springer: Berlin/Heidelberg, Germany, 2008; Volume 5240, pp. 326–341. [Google Scholar]
 - Weidlich, M.; Polyvyanyy, A.; Desai, N.; Mendling, J.; Weske, M. Process compliance analysis based on behavioural profiles. Inf. Syst. 2011, 36, 1009–1025. [Google Scholar] [CrossRef]
 - Catak, F.O.; Ahmed, J.; Sahinbas, K.; Khand, Z.H. Data augmentation based malware detection using convolutional neural networks. PeerJ Comput. Sci. 2021, 7, e346. [Google Scholar] [CrossRef] [PubMed]
 - Yazi, A.F.; Çatak, F.Ö.; Gül, E. Classification of Methamorphic Malware with Deep Learning (LSTM). In Proceedings of the 27th Signal Processing and Communications Applications Conference, SIU 2019, Sivas, Turkey, 24–26 April 2019; IEEE: Piscataway, NJ, USA, 2019; pp. 1–4. [Google Scholar]
 - Zheng, W.; Du, Y.; Wang, S.; Qi, L. Repair Process Models Containing Non-Free-Choice Structures Based on Logic Petri Nets. IEEE Access 2019, 7, 105132–105145. [Google Scholar] [CrossRef]
 - Xu, H.; Pang, J.; Yang, X.; Yu, J.; Li, X.; Zhao, D. Modeling clinical activities based on multi-perspective declarative process mining with openEHR’s characteristic. BMC Med. Inform. Decis. Mak. 2020, 20-S, 303. [Google Scholar] [CrossRef] [PubMed]
 - van Dongen, B. Real-Life Event Logs-Hospital Log. 2011. Available online: https://data.4tu.nl/articles/_/12716513/1 (accessed on 3 January 2024).
 - Petermann, A.; Junghanns, M.; Müller, R.; Rahm, E. FoodBroker-Generating Synthetic Datasets for Graph-Based Business Analytics. In Proceedings of the Big Data Benchmarking-5th International Workshop, WBDB 2014, Potsdam, Germany, 5–6 August 2014; Revised Selected Papers; Lecture Notes in Computer Science. Rabl, T., Sachs, K., Poess, M., Baru, C.K., Jacobsen, H., Eds.; Lecture Notes in Computer, Science. Springer: Berlin/Heidelberg, Germany, 2014; Volume 8991, pp. 145–155. [Google Scholar]
 - Petsis, S.; Karamanou, A.; Kalampokis, E.; Tarabanis, K. Forecasting and explaining emergency department visits in a public hospital. J. Intell. Inf. Syst. 2022, 59, 479–500. [Google Scholar] [CrossRef]
 - Giacomo, G.D.; Vardi, M.Y. Linear Temporal Logic and Linear Dynamic Logic on Finite Traces. In Proceedings of the IJCAI 2013, Proceedings of the 23rd International Joint Conference on Artificial Intelligence, Beijing, China, 3–9 August 2013; Rossi, F., Ed.; AAAI Press: Menlo Park, CA, USA, 2013; pp. 854–860. [Google Scholar]
 - Pesić, M.; Schonenberg, H.; van der Aalst, W.M. DECLARE: Full Support for Loosely-Structured Processes. In Proceedings of the 11th IEEE International Enterprise Distributed Object Computing Conference (EDOC 2007), Annapolis, MD, USA, 15–19 October 2007; p. 287. [Google Scholar]
 - Cuzzocrea, A. Temporal Big Data Analytics: New Frontiers for Big Data Analytics Research. In Proceedings of the 28th International Symposium on Temporal Representation and Reasoning (TIME 2021), Klagenfurt, Austria, 27–29 September 2021; Combi, C., Eder, J., Reynolds, M., Eds.; Leibniz International Proceedings in Informatics (LIPIcs): Dagstuhl, Germany, 2021; Volume 206, pp. 4:1–4:7. [Google Scholar]
 - Amer-Yahia, S.; Palpanas, T.; Tsytsarau, M.; Kleisarchaki, S.; Douzal, A.; Christophides, V. Temporal Analytics in Social Media. In Encyclopedia of Database Systems, 2nd ed.; Liu, L., Özsu, M.T., Eds.; Springer: Berlin/Heidelberg, Germany, 2018. [Google Scholar] [CrossRef]
 - Schönig, S.; Rogge-Solti, A.; Cabanillas, C.; Jablonski, S.; Mendling, J. Efficient and Customisable Declarative Process Mining with SQL. In Advanced Information Systems Engineering, Proceedings of the 28th International Conference, CAiSE 2016, Ljubljana, Slovenia, 13–17 June 2016; Lecture Notes in Computer, Science; Nurcan, S., Soffer, P., Bajec, M., Eder, J., Eds.; Springer: Berlin/Heidelberg, Germany, 2016; Volume 9694, pp. 290–305. [Google Scholar]
 - Huang, S.; Zhu, E.; Chaudhuri, S.; Spiegelberg, L. T-Rex: Optimizing Pattern Search on Time Series. Proc. ACM Manag. Data 2023, 1, 130:1–130:26. [Google Scholar] [CrossRef]
 - Anselma, L.; Bottrighi, A.; Montani, S.; Terenziani, P. Extending BCDM to Cope with Proposals and Evaluations of Updates. IEEE Trans. Knowl. Data Eng. 2013, 25, 556–570. [Google Scholar] [CrossRef]
 - Kaufmann, M.; Vagenas, P.; Fischer, P.M.; Kossmann, D.; Färber, F. Comprehensive and Interactive Temporal Query Processing with SAP HANA. Proc. VLDB Endow. 2013, 6, 1210–1213. [Google Scholar] [CrossRef]
 - Wang, X.S.; Jajodia, S.; Subrahmanian, V.S. Temporal Modules: An Approach Toward Federated Temporal Databases. Inf. Sci. 1995, 82, 103–128. [Google Scholar] [CrossRef]
 - Wang, X.S. Algebraic Query Languages on Temporal Databases with Multiple Time Granularities. In Proceedings of the CIKM ’95, 1995 International Conference on Information and Knowledge Management, Baltimore, MD, USA, 28 November–2 December 1995; Pissinou, N., Silberschatz, A., Park, E.K., Makki, K., Eds.; ACM: New York, NY, USA, 1995; pp. 304–311. [Google Scholar]
 - Wang, C.; Wu, K.; Zhou, T.; Cai, Z. Time2State: An Unsupervised Framework for Inferring the Latent States in Time Series Data. Proc. ACM Manag. Data 2023, 1, 17:1–17:18. [Google Scholar] [CrossRef]
 - Huo, X.; Hao, K.; Chen, L.; Tang, X.; Wang, T.; Cai, X. A dynamic soft sensor of industrial fuzzy time series with propositional linear temporal logic. Expert Syst. Appl. 2022, 201, 117176. [Google Scholar] [CrossRef]
 - Mao, X.; Li, X.; Huang, Y.; Shi, J.; Zhang, Y. Programmable Logic Controllers Past Linear Temporal Logic for Monitoring Applications in Industrial Control Systems. IEEE Trans. Ind. Inform. 2022, 18, 4393–4405. [Google Scholar] [CrossRef]
 - Fionda, V.; Greco, G.; Mastratisi, M.A. Reasoning about Smart Contracts Encoded in LTL. In Proceedings of the AIxIA, Milan, Italy, 1–3 December 2021; pp. 123–136. [Google Scholar]
 - Pnueli, A. The temporal logic of programs. In Proceedings of the 18th Annual Symposium on Foundations of Computer Science (sfcs 1977), Providence, RI, USA, 31 October–2 November 1977; pp. 46–57. [Google Scholar] [CrossRef]
 - Bergami, G.; Appleby, S.; Morgan, G. Quickening Data-Aware Conformance Checking through Temporal Algebras. Information 2023, 14, 173. [Google Scholar] [CrossRef]
 - Bellatreche, L.; Kechar, M.; Bahloul, S.N. Bringing Common Subexpression Problem from the Dark to Light: Towards Large-Scale Workload Optimizations. In Proceedings of the IDEAS, Montreal, QC, Canada, 14–16 July 2021; ACM: New York, NY, USA, 2021. [Google Scholar]
 - Appleby, S.; Bergami, G.; Morgan, G. Running Temporal Logical Queries on the Relational Model. In Proceedings of the 26th International Database Engineered Applications Symposium, Budapest, Hungary, 22–24 August 2022. [Google Scholar]
 - Atzeni, P.; Ceri, S.; Paraboschi, S.; Torlone, R. Database Systems—Concepts, Languages and Architectures; McGraw-Hill Book Company: New York, NY, USA, 1999. [Google Scholar]
 - Elmasri, R.; Navathe, S.B. Fundamentals of Database Systems, 7th ed.; Pearson: London, UK, 2015. [Google Scholar]
 - Dittrich, J. Patterns in Data Management: A Flipped Textbook; CreateSpace Independent Publishing Platform: Scotts Valley, CA, USA, 2016. [Google Scholar]
 - Bergami, G.; Appleby, S.; Morgan, G. Specification Mining over Temporal Data. Computers 2023, 12, 185. [Google Scholar] [CrossRef]
 - Burattin, A.; Maggi, F.M.; Sperduti, A. Conformance checking based on multi-perspective declarative process models. Expert Syst. Appl. 2016, 65, 194–211. [Google Scholar] [CrossRef]
 - Zhu, S.; Pu, G.; Vardi, M.Y. First-Order vs. Second-Order Encodings for \textsc ltl_f -to-Automata Translation. In Theory and Applications of Models of Computation, Proceedings of the 15th Annual Conference, TAMC 2019, Kitakyushu, Japan, 13–16 April 2019; Lecture Notes in Computer, Science; Gopal, T.V., Watada, J., Eds.; Springer: Berlin/Heidelberg, Germany, 2019; Volume 11436, pp. 684–705. [Google Scholar]
 - Li, J.; Pu, G.; Zhang, Y.; Vardi, M.Y.; Rozier, K.Y. SAT-based explicit LTLf satisfiability checking. Artif. Intell. 2020, 289, 103369. [Google Scholar] [CrossRef]
 - Acampora, G.; Vitiello, A.; Stefano, B.N.D.; van der Aalst, W.M.P.; Günther, C.W.; Verbeek, E. IEEE 1849: The XES Standard: The Second IEEE Standard Sponsored by IEEE Computational Intelligence Society [Society Briefs]. IEEE Comput. Intell. Mag. 2017, 12, 4–8. [Google Scholar] [CrossRef]
 - Maggi, F.M.; Bose, R.P.J.C.; van der Aalst, W.M.P. Efficient Discovery of Understandable Declarative Process Models from Event Logs. In Advanced Information Systems Engineering; Springer: Berlin/Heidelberg, Germany, 2012; pp. 270–285. [Google Scholar]
 - de Murillas, E.G.L.; Reijers, H.A.; van der Aalst, W.M.P. Data-Aware Process Oriented Query Language. In Process Querying Methods; Polyvyanyy, A., Ed.; Springer: Berlin/Heidelberg, Germany, 2022; pp. 49–83. [Google Scholar] [CrossRef]
 - Kammerer, K.; Pryss, R.; Reichert, M. Retrieving, Abstracting, and Changing Business Process Models with PQL. In Process Querying Methods; Polyvyanyy, A., Ed.; Springer: Berlin/Heidelberg, Germany, 2022; pp. 219–254. [Google Scholar] [CrossRef]
 - Idreos, S.; Groffen, F.; Nes, N.; Manegold, S.; Mullender, K.S.; Kersten, M.L. MonetDB: Two Decades of Research in Column-oriented Database Architectures. IEEE Data Eng. Bull. 2012, 35, 40–45. [Google Scholar]
 - Green, T.J.; Karvounarakis, G.; Tannen, V. Provenance Semirings. In Proceedings of the Twenty-Sixth ACM SIGMOD-SIGACT-SIGART Symposium on Principles of Database Systems, New York, NY, USA, 11–13 June 2007; pp. 31–40. [Google Scholar] [CrossRef]
 - Schönig, S. SQL Queries for Declarative Process Mining on Event Logs of Relational Databases. arXiv 2015, arXiv:1512.00196. [Google Scholar]
 - Boncz, P.A.; Manegold, S.; Kersten, M.L. Database Architecture Evolution: Mammals Flourished long before Dinosaurs became Extinct. Proc. VLDB Endow. 2009, 2, 1648–1653. [Google Scholar] [CrossRef]
 - Allen, J.F. Maintaining Knowledge about Temporal Intervals. Commun. ACM 1983, 26, 832–843. [Google Scholar] [CrossRef]
 - Revesz, P.Z. Introduction to Databases—From Biological to Spatio-Temporal; Texts in Computer Science; Springer: Berlin/Heidelberg, Germany, 2010. [Google Scholar]
 - Kvet, M. Developing Robust Date and Time Oriented Applications in Oracle Cloud: A Comprehensive Guide to Efficient Date and Time Management in Oracle Cloud; Packt Publishing: Birmingham, UK, 2023. [Google Scholar]
 - Tuzhilin, A.; Kedem, Z. Using Temporal Logic and Datalog to Query Databases Evolving in Time; New York University: New York, NY, USA, 1989. [Google Scholar]
 - Böhlen, M.H.; Chomicki, J.; Snodgrass, R.T.; Toman, D. Querying TSQL2 databases with temporal logic. In Advances in Database Technology—EDBT ’96, Proceedings of the 5th International Conference on Extending Database Technology, Avignon, France, 25–29 March 1996; Apers, P., Bouzeghoub, M., Gardarin, G., Eds.; Springer: Berlin/Heidelberg, Germany, 1996; pp. 325–341. [Google Scholar]
 - Snodgrass, R.T. TSQL2. In Encyclopedia of Database Systems; Liu, L., Özsu, M.T., Eds.; Springer: Boston, MA, USA, 2009; pp. 3192–3197. [Google Scholar] [CrossRef]
 - Musser, D.R. Introspective Sorting and Selection Algorithms. Softw. Pract. Exp. 1997, 27, 983–993. [Google Scholar] [CrossRef]
 - van der Aalst, W.M.P. Object-Centric Process Mining: Unraveling the Fabric of Real Processes. Mathematics 2023, 11, 2691. [Google Scholar] [CrossRef]
 - Rost, C.; Gómez, K.; Täschner, M.; Fritzsche, P.; Schons, L.; Christ, L.; Adameit, T.; Junghanns, M.; Rahm, E. Distributed temporal graph analytics with GRADOOP. VLDB J. 2022, 31, 375–401. [Google Scholar] [CrossRef]
 - Khayatbashi, S.; Hartig, O.; Jalali, A. Transforming Event Knowledge Graph to Object-Centric Event Logs: A Comparative Study for Multi-dimensional Process Analysis. In Proceedings of the 42nd International Conference on Conceptual Modeling, Lisbon, Portugal, 6–9 November 2023. [Google Scholar]
 - Zaki, N.M.; Helal, I.M.A.; Hassanein, E.E.; Awad, A. Efficient Checking of Timed Ordered Anti-patterns over Graph-Encoded Event Logs. In Model and Data Engineering: Proceedings of the 11th International Conference, MEDI 2022, Cairo, Egypt, 21–24 November 2022; Lecture Notes in Computer, Science; Fournier-Viger, P., Yousef, A.H., Bellatreche, L., Eds.; Springer: Berlin/Heidelberg, Germany, 2022; Volume 13761, pp. 147–161. [Google Scholar]
 




| Exemplifying Clause () | Natural Language Specification for Traces | LTLf Semantics () | |
|---|---|---|---|
| In this paper | ChainPrecedence () | The activation is immediately preceded by the target. | |
| ChainResponse () | The activation is immediately followed by the target. | ||
| AltResponse () | If activation occurs, no other activations must happen until the target occurs. | ||
| AltPrecedence () | Every activation must be preceded by a target without any other activation in between | ||
| Not subject to optimization in this paper | Init (A) | The trace should start with an activation | A | 
| Exists () | Activations should occur at least n times | ||
| Absence () | Activations should occur at most n times | ()〛 | |
| Precedence () | Events preceding the activations should not satisfy the target | ||
| Choice () | One of the two activation conditions must appear. | ||
| Response () | The activation is either followed by or simultaneous to the target. | ||
| RespExistence () | The activation requires the existence of the target. | ||
| ExlChoice () | Only one activation condition must happen. | ||
| CoExistence () | RespExistence, and vice versa. | ||
| Succession () | The target should only follow the activation. | ||
| ChainSuccession () | Activation immediately follows the target, and the target immediately preceeds the activation. | ||
| NotCoExistence () | The activation nand the target happen. | ||
| NotSuccession () | The activation requires that no target condition should follow. | 
| Traces | ChainResponse(A,B) | ChainPrecedence(B,A) | AltResponse(A,B) | AltPrecedence(B,A) | 
|---|---|---|---|---|
| ✓ | ✗ | ✓ | ✗ | |
| ✗ | ✓ | ✗ | ✗ | |
| ✗ | ✗ | ✓ | ✗ | |
| ✗ | ✗ | ✗ | ✓ | 
| (a) | ||||
| ActivityLabel | TraceId | EventId | Prev | Next | 
| Clinical Test | 1 | 2 | 7 | 5 | 
| Discharge | 0 | 2 | 4 | NULL | 
| Discharge | 1 | 4 | 5 | NULL | 
| Discharge | 2 | 3 | 6 | NULL | 
| Examination | 0 | 1 | 9 | 1 | 
| Examination | 1 | 3 | 0 | 2 | 
| Examination | 2 | 2 | 8 | 3 | 
| Redirection | 1 | 1 | 10 | 0 | 
| Redirection | 2 | 1 | 11 | 6 | 
| Registration | 0 | 0 | NULL | 4 | 
| Registration | 1 | 0 | NULL | 7 | 
| Registration | 2 | 0 | NULL | 8 | 
| (b) | ||||
| ActivityLabel | TraceId | Count | ||
| Clinical Test | 0 | 0 | ||
| Clinical Test | 1 | 1 | ||
| Clinical Test | 1 | 0 | ||
| Discharge | 0 | 1 | ||
| Discharge | 1 | 1 | ||
| Discharge | 2 | 1 | ||
| Examination | 0 | 1 | ||
| Examination | 1 | 1 | ||
| Examination | 2 | 1 | ||
| Redirection | 0 | 0 | ||
| Redirection | 1 | 1 | ||
| Redirection | 2 | 1 | ||
| Registration | 0 | 1 | ||
| Registration | 1 | 1 | ||
| Registration | 2 | 1 | ||
Disclaimer/Publisher’s Note: The statements, opinions and data contained in all publications are solely those of the individual author(s) and contributor(s) and not of MDPI and/or the editor(s). MDPI and/or the editor(s) disclaim responsibility for any injury to people or property resulting from any ideas, methods, instructions or products referred to in the content.  | 
© 2024 by the author. Licensee MDPI, Basel, Switzerland. This article is an open access article distributed under the terms and conditions of the Creative Commons Attribution (CC BY) license (https://creativecommons.org/licenses/by/4.0/).
Share and Cite
Bergami, G. Streamlining Temporal Formal Verification over Columnar Databases. Information 2024, 15, 34. https://doi.org/10.3390/info15010034
Bergami G. Streamlining Temporal Formal Verification over Columnar Databases. Information. 2024; 15(1):34. https://doi.org/10.3390/info15010034
Chicago/Turabian StyleBergami, Giacomo. 2024. "Streamlining Temporal Formal Verification over Columnar Databases" Information 15, no. 1: 34. https://doi.org/10.3390/info15010034
APA StyleBergami, G. (2024). Streamlining Temporal Formal Verification over Columnar Databases. Information, 15(1), 34. https://doi.org/10.3390/info15010034
        