Evaluation of 60 GHz Wireless Connectivity for an Automated Warehouse Suitable for Industry 4.0 †
Abstract
1. Introduction
- Our investigation focuses on evaluating wireless network connectivity within the 60 GHz frequency band in a smart warehouse. To achieve this, we made modifications to NS-3, enabling the incorporation of appropriate propagation losses characteristic of the 60 GHz indoor environment.
- The metric we employ to assess network connectivity is the signal to interference and noise ratio (SINR). Notably, due to the significant presence of multipath components emanating from the metal shelves, we found that nLOS-propagated signals exhibit comparable performance to LOS-propagated signals.
- We conducted an in-depth examination of network performance in the context of higher offered loads, considering the presence of multiple AMHAs in dynamic environments. Our analysis encompasses mean throughput and delay measurements for both LOS and nLOS scenarios, specifically taking into account the multipath components introduced by metallic structures.
- Furthermore, we explored the influence of varying AP heights on network performance to understand the impact of multipath components.
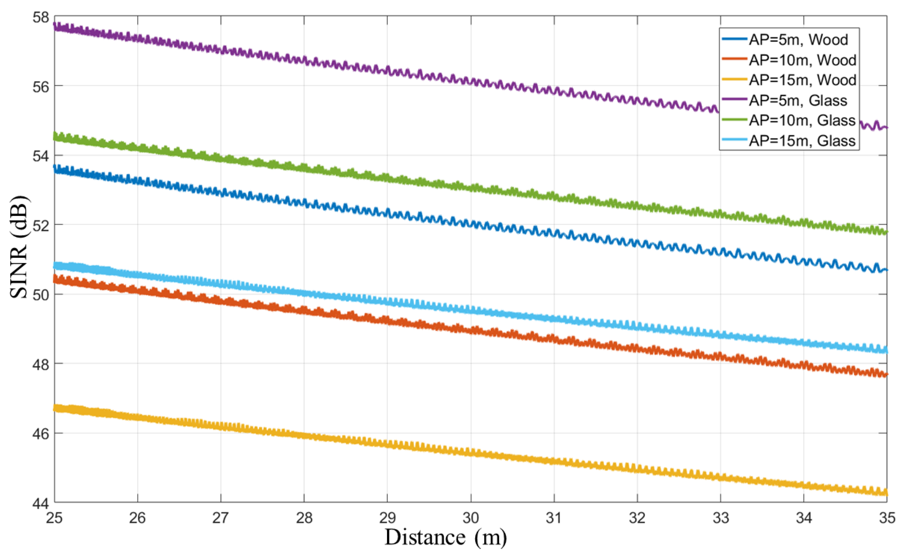
- Our investigation also scrutinized the impact of different storage materials, namely, wood and glass, on network performance. Notably, we observed that the network exhibited superior SINR performance with glass due to the lower penetration loss associated with this material.
- To gain a more comprehensive understanding, we visualized the SINR distribution throughout the entire warehouse using heatmaps. This visualization revealed a smoother SINR transition from LOS path aisles to nLOS path aisles.
- In conclusion, we analyzed key parameters including mean SINR, standard deviation of SINR, and changes in SINR when an AMHA transitioned from the primary LOS aisle to any nLOS aisle within the warehouse models under consideration. Our findings demonstrate the presence of a stable 60 GHz network in the warehouse, even with various shelf configurations.
2. Related Work
3. Wireless Connectivity in Automated Warehouses
3.1. Propagation Environment
3.2. Measurement Procedure and Processing
4. Design of Simulation Platform
4.1. Simulation Architecture
4.2. Simulation of 60 GHz Propagation Model
4.3. 60 GHz Penetration Loss
5. Performance Evaluation
5.1. Throughput and Delay Characteristics of Multiple Cases under Investigation
5.1.1. Case Study with Stationary AMHAs
5.1.2. Case Study with Dynamic AMHAs
5.2. Analyzing SINR Metric for Varying AP Height
5.3. Analysis of SINR with Different Storage Materials in the Warehouse
5.4. SINR Heatmap
5.5. Heatmap Analysis and General Discussion
6. Conclusions
Author Contributions
Funding
Data Availability Statement
Acknowledgments
Conflicts of Interest
Abbreviations
| 2D-DFT | 2-Dimensional discrete Fourier transform |
| 3GPP | 3rd Generation Partnership Project |
| AI | Artificial intelligence |
| AMHA | Autonomous material handling agents |
| AP | Access point |
| BS | Base station |
| DS | Delay spread |
| EWL | External wall loss |
| FCC | Federal Communications Commission |
| HG | Height gain |
| IOT | Internet of things |
| IWL | Internal wall loss |
| LOS | Line of sight |
| M2M | Machine-to-machine |
| MCS | Modulation and coding scheme |
| MIMO | Multiple input multiple output |
| nLOS | Non-line of sight |
| NR | New radio |
| NRP | Normalized received power |
| NS-3 | Network Simulator-3 |
| P2P | Point-to-point |
| QoS | Quality of service |
| Rx | Receiver |
| SCM | Stochastic channel model |
| SF | Shadow fading |
| SINR | Signal to interference and noise ratio |
| U-PA | Uniform planar array |
| UT | User terminal |
References
- Erboz, G. How To Define Industry 4.0: Main Pillars of Industry 4.0. In Managerial Trends in the Development of Enterprises in Globalization Era; Slovak University of Agriculture: Nitra, Slovak, 2017; pp. 761–767. Available online: https://www.researchgate.net/publication/326557388_How_To_Define_Industry_40_Main_Pillars_Of_Industry_40. (accessed on 12 April 2023).
- Karaman, S.; Frazzoli, E. Sampling-based Algorithms for Optimal Motion Planning. Int. J. Robot. Res. 2011, 30, 846–894. [Google Scholar] [CrossRef]
- Dolgov, D.; Thrun, S.; Montemerlo, M.; Diebel, J. Path Planning for Autonomous Vehicles in Unknown Semi-structured Environments. Int. J. Robot. Res. 2010, 29, 485–501. [Google Scholar] [CrossRef]
- Prakash, C.D.; Akhbari, F.; Karam, L.J. Robust obstacle detection for advanced driver assistance systems using distortions of inverse perspective mapping of a monocular camera. Robot. Auton. Syst. 2019, 114, 172–186. [Google Scholar] [CrossRef]
- Brunetti, A.; Buongiorno, D.; Trotta, G.F.; Bevilacqua, V. Computer vision and deep learning techniques for pedestrian detection and tracking: A survey. Neurocomputing 2018, 300, 17–33. [Google Scholar] [CrossRef]
- Santos, F.; Aquino, A.L.; Madeira, E.R.; Cabral, R.S. Temporal complex networks modeling applied to vehicular ad-hoc networks. J. Netw. Comput. Appl. 2021, 192, 103168. [Google Scholar] [CrossRef]
- Richardson, A.; Watson, P. Use of the 55–65 GHz oxygen absorption band for short-range broadband radio networks with minimal regulatory control. IEE Proc. (Commun. Speech Vis.) 1990, 137, 233–241. [Google Scholar] [CrossRef]
- NR-Physical channels and modulation-Release 15. In Technical Specification (TS) 38.211; 3rd Generation Partnership Project (3GPP); Version V15.0.0; 2018; Available online: https://www.etsi.org/deliver/etsi_ts/138200_138299/138211/15.02.00_60/ts_138211v150200p.pdf. (accessed on 13 June 2023).
- NR and NG-RAN Overall Description-Rel. 15. In Technical Specification (TS) 38.300; 3rd Generation Partnership Project (3GPP); Version V15.0.0; 2018; Available online: https://www.etsi.org/deliver/etsi_ts/138300_138399/138300/16.02.00_60/ts_138300v160200p.pdf (accessed on 13 June 2023).
- NR-Physical layer measurements-Rel. 15. In Technical Specification (TS) 38.215; 3rd Generation Partnership Project (3GPP); Version V15.0.0; 2017; Available online: https://www.etsi.org/deliver/etsi_ts/138200_138299/138215/17.03.00_60/ts_138215v170300p.pdf (accessed on 13 June 2023).
- Xu, H.; Kukshya, V.; Rappaport, T. Spatial and temporal characteristics of 60-GHz indoor channels. IEEE J. Sel. Areas Commun. 2002, 20, 620–630. [Google Scholar] [CrossRef]
- Mezzavilla, M.; Zhang, M.; Polese, M.; Ford, R.; Dutta, S.; Rangan, S.; Zorzi, M. End-to-End Simulation of 5G mmWave Networks. IEEE Commun. Surv. Tutor. 2018, 20, 2237–2263. [Google Scholar] [CrossRef]
- Liu, P.; Blumenstein, J.; Perović, N.S.; Di Renzo, M.; Springer, A. Performance of Generalized Spatial Modulation MIMO Over Measured 60GHz Indoor Channels. IEEE Trans. Commun. 2018, 66, 133–148. [Google Scholar] [CrossRef]
- Pitsiladis, G.; Panagopoulos, A.; Constantinou, P. Improving connectivity in indoor millimeter wave wireless networks using diversity reception. In Proceedings of the 6th European Conference on Antennas and Propagation (EUCAP), Prague, Czech Republic, 26–30 March 2012; pp. 510–514. [Google Scholar] [CrossRef]
- Fan, D.; Gao, F.; Wang, G.; Zhong, Z. A 2D-DFT Based Channel Estimation Scheme in Indoor 60GHz Communication Systems with Large-Scale Multiple-Antenna. In Proceedings of the 2016 IEEE 83rd Vehicular Technology Conference (VTC Spring), Nanjing, China, 15–18 May 2016; pp. 1–5. [Google Scholar] [CrossRef]
- Arya, P.; Huang, L.Y.; Liu, W.C.; Chang, H.T.; Jen, C.W.; Wu, C.F.; Jou, S.J. Gb/s prototyping of 60GHz indoor wireless SC/OFDM transmitter and receiver on FPGA demo system. In Proceedings of the 2015 IEEE International Conference on Consumer Electronics-Taiwan, Taipei, Taiwan, 6–8 June 2015; pp. 204–205. [Google Scholar] [CrossRef]
- Gulia, R.S.; Mamun, S.A.; Vashist, A.; Ganguly, A.; Hochgraf, C.; Kwasinski, A.; Kuhl, M.E. Evaluation of Wireless Connectivity in an Automated Warehouse at 60 GHz. In Proceedings of the 2022 IEEE International Conference on Consumer Electronics (ICCE), Las Vegas, NV, USA, 7–9 January 2022; pp. 1–6. [Google Scholar] [CrossRef]
- Karaagac, A.; Haxhibeqiri, J.; Joseph, W.; Moerman, I.; Hoebeke, J. Wireless industrial communication for connected shuttle systems in warehouses. In Proceedings of the 2017 IEEE 13th International Workshop on Factory Communication Systems (WFCS), Trondheim, Norway, 31 May–2 June 2017; pp. 1–4. [Google Scholar] [CrossRef]
- Yang, J.; Ai, B.; You, I.; Imran, M.; Wang, L.; Guan, K.; He, D.; Zhong, Z.; Keusgen, W. Ultra-Reliable Communications for Industrial Internet of Things: Design Considerations and Channel Modeling. IEEE Netw. 2019, 33, 104–111. [Google Scholar] [CrossRef]
- Li, S.; Liu, Y.; Lin, L.; Sun, D.; Yang, S.; Sun, X. Simulation and Modeling of Millimeter-Wave Channel at 60 GHz in Indoor Environment for 5G Wireless Communication System. In Proceedings of the 2018 IEEE International Conference on Computational Electromagnetics (ICCEM), Chengdu, China, 26–28 March 2018; pp. 1–3. [Google Scholar] [CrossRef]
- Hajj, M.E.; El Zein, G.; Zaharia, G.; Farhat, H.; Sadek, S. Angular Measurements and Analysis of the Indoor Propagation Channel at 60 GHz. In Proceedings of the 2019 International Conference on Wireless and Mobile Computing, Networking and Communications (WiMob), Barcelona, Spain, 21–23 October 2019; pp. 121–126. [Google Scholar] [CrossRef]
- Kacou, M.; Guillet, V.; El Zein, G.; Zaharia, G. Coverage and Throughput Analysis at 60 GHz for Indoor WLAN with Indirect Paths. In Proceedings of the 2018 IEEE 29th Annual International Symposium on Personal, Indoor and Mobile Radio Communications (PIMRC), Bologna, Italy, 9–12 September 2018; pp. 1–5. [Google Scholar] [CrossRef]
- Zekri, A.B.; Ajgou, R.; Chemsa, A.; Ghendir, S. Analysis of Outdoor to Indoor Penetration Loss for mmWave Channels. In Proceedings of the 2020 1st International Conference on Communications, Control Systems and Signal Processing (CCSSP), El Oued, Algeria, 29 July 2020; pp. 74–79. [Google Scholar] [CrossRef]
- Jun, S.Y.; Caudill, D.; Chuang, J.; Papazian, P.B.; Bodi, A.; Gentile, C.; Senic, J.; Golmie, N. Penetration Loss at 60 GHz for Indoor-to-Indoor and Outdoor-to-Indoor Mobile Scenarios. In Proceedings of the 2020 14th European Conference on Antennas and Propagation (EuCAP), Copenhagen, Denmark, 15–20 March 2020; pp. 1–5. [Google Scholar] [CrossRef]
- Shkel, A.; Mehrabani, A.; Kusuma, J. A Configurable 60GHz Phased Array Platform for Multi-Link mmWave Channel Characterization. In Proceedings of the 2021 IEEE International Conference on Communications Workshops (ICC Workshops), Montreal, QC, Canada, 14–23 June 2021; pp. 1–6. [Google Scholar] [CrossRef]
- Bakirtzis, S.; Chen, J.; Qiu, K.; Zhang, J.; Wassell, I. EM DeepRay: An Expedient, Generalizable, and Realistic Data-Driven Indoor Propagation Model. IEEE Trans. Antennas Propag. 2022, 70, 4140–4154. [Google Scholar] [CrossRef]
- Vashist, A.; Bhanushali, D.R.; Relyea, R.; Hochgraf, C.; Ganguly, A.; Sai Manoj, P.D.; Ptucha, R.; Kwasinski, A.; Kuhl, M.E. Indoor Wireless Localization Using Consumer-Grade 60 GHz Equipment with Machine Learning for Intelligent Material Handling. In Proceedings of the 2020 IEEE International Conference on Consumer Electronics (ICCE), Las Vegas, NV, USA, 4–6 January 2020; pp. 1–6. [Google Scholar] [CrossRef]
- Cheema, S.; Sepehri, N. Computer aided stability and safety analysis of forklifts. In Proceedings of the 5th Biannual World Automation Congress, Orlando, FL, USA, 9–13 June 2002; Volume 14, pp. 297–302. [Google Scholar] [CrossRef]
- 3GPP. Study on Channel Model for Frequencies from 0.5 to 100 GHz. In Technical Specification (TS) 38.901; 3rd Generation Partnership Project (3GPP); Version V15.0.0; 2019; Available online: https://www.etsi.org/deliver/etsi_tr/138900_138999/138901/16.01.00_60/tr_138901v160100p.pdf (accessed on 13 June 2023).
- Zugno, T.; Polese, M.; Patriciello, N.; Bojović, B.; Lagen, S.; Zorzi, M. Implementation of a Spatial Channel Model for ns-3. In Proceedings of the 2020 Workshop on ns-3. ACM, Gaithersburg, MD, USA, 17–18 June 2020. [Google Scholar] [CrossRef]
- Larranaga, A.; Lucas-Estan, M.C.; Lagen, S.; Ali, Z.; Martinez, I.; GoZalvez, J. An open-source implementation and validation of 5G NR configured grant for URLLC in ns-3 5G LENA: A scheduling case study in industry 4.0 scenarios. J. Netw. Comput. Appl. 2023, 215, 103638. [Google Scholar] [CrossRef]
- Maltsev, A.; Maslennikov, R.; Sevastyanov, A.; Lomayev, A.; Khoryaev, A. Statistical channel model for 60 GHz WLAN systems in conference room environment. In Proceedings of the Fourth European Conference on Antennas and Propagation, Barcelona, Spain, 12–16 April 2010; pp. 1–5. [Google Scholar]
- Yang, H.; Herben, M.; Smulders, P. Impact of antenna pattern and reflective environment on 60 GHz indoor radio channel characteristics. IEEE Antennas Wirel. Propag. Lett. 2005, 4, 300–303. [Google Scholar] [CrossRef][Green Version]
- Cassioli, D.; Win, M.; Molisch, A. The ultra-wide bandwidth indoor channel: From statistical model to simulations. IEEE J. Sel. Areas Commun. 2002, 20, 1247–1257. [Google Scholar] [CrossRef]
- Mogensen, P.E.; Wigard, J. COST Action 231: Digital Mobile Radio towards Future Generation Systems: Final Report; Publications Office of EU: Luxembourg, 1999. [Google Scholar]
- Lott, M.; Forkel, I. A multi-wall-and-floor model for indoor radio propagation. In Proceedings of the IEEE VTS 53rd Vehicular Technology Conference, Spring 2001. Proceedings (Cat. No.01CH37202), Rhodes, Greece, 6–9 May 2001; Volume 1, pp. 464–468. [Google Scholar] [CrossRef]
- Kodak, U.; Rupakula, B.; Zihir, S.; Rebeiz, G.M. A 62 GHz Tx/Rx 2x128-Element Dual-Polarized Dual-Beam Wafer-Scale Phased-Array Transceiver with Minimal Reticle-to-Reticle Stitching. In Proceedings of the 2019 IEEE Radio Frequency Integrated Circuits Symposium (RFIC), Boston, MA, USA, 2–4 June 2019; pp. 335–338. [Google Scholar] [CrossRef]
- Hakem, N.; Delisle, G.; Coulibaly, Y. Radio-wave propagation into an underground mine environment at 2.4 GHz, 5.8 GHz and 60 GHz. In Proceedings of the The 8th European Conference on Antennas and Propagation (EuCAP 2014), Hague, The Netherlands, 6–11 April 2014; pp. 3592–3595. [Google Scholar] [CrossRef]
- Ramos, A.R.; Silva, B.C.; Lourenço, M.S.; Teixeira, E.B.; Velez, F.J. Mapping between Average SINR and Supported Throughput in 5G New Radio Small Cell Networks. In Proceedings of the 2019 22nd International Symposium on Wireless Personal Multimedia Communications (WPMC), Lisbon, Portugal, 24–27 November 2019; pp. 1–6. [Google Scholar] [CrossRef]
















| Material Type (Width) | Penetration Loss (dB) |
|---|---|
| Granite (3 cm) | 30 |
| Glass | 1.7 to 4.5 |
| Metalized glass | 30 |
| Wooden panels | 6.2 to 8.6 |
| Concrete | 30 |
| Brick (11 cm) | 30 |
| Material Type | Penetration Loss (dB) |
|---|---|
| Wood | 4 |
| Concrete with windows | 7 |
| Metal | 7.1 |
| Stone blocks | 12 |
| Concrete without windows | 15 |
| AMHA Location | Rationale for Positioning |
|---|---|
| 1, 2 | East–west path case, to investigate the effects of farthest placed AMHAs with LOS |
| 3, 4, 5, 6 | nLOS path case, to investigate the effects of reflective environment with AMHAs farthest from AP |
| 7, 8 | North–south path case, to investigate the effect of farther placed AMHAs with LOS within shelf aisles |
| 9, 10 | Close proximity case, to investigate the best-case scenario effects |
| Configuration Parameter | Value |
|---|---|
| Central Frequency | 60 GHz |
| Bandwidth | 100 MHz |
| Transmission Power | 45 dBm |
| Numerology | 5 |
| Modulation Scheme | OFDMA |
| UDP Packet Size | 1000 bytes |
| Transmitted Packets per Sec. | 125,000 |
| AMHA Noise Figure | 5.0 dB |
Disclaimer/Publisher’s Note: The statements, opinions and data contained in all publications are solely those of the individual author(s) and contributor(s) and not of MDPI and/or the editor(s). MDPI and/or the editor(s) disclaim responsibility for any injury to people or property resulting from any ideas, methods, instructions or products referred to in the content. |
© 2023 by the authors. Licensee MDPI, Basel, Switzerland. This article is an open access article distributed under the terms and conditions of the Creative Commons Attribution (CC BY) license (https://creativecommons.org/licenses/by/4.0/).
Share and Cite
Gulia, R.; Vashist, A.; Ganguly, A.; Hochgraf, C.; Kuhl, M.E. Evaluation of 60 GHz Wireless Connectivity for an Automated Warehouse Suitable for Industry 4.0. Information 2023, 14, 506. https://doi.org/10.3390/info14090506
Gulia R, Vashist A, Ganguly A, Hochgraf C, Kuhl ME. Evaluation of 60 GHz Wireless Connectivity for an Automated Warehouse Suitable for Industry 4.0. Information. 2023; 14(9):506. https://doi.org/10.3390/info14090506
Chicago/Turabian StyleGulia, Rahul, Abhishek Vashist, Amlan Ganguly, Clark Hochgraf, and Michael E. Kuhl. 2023. "Evaluation of 60 GHz Wireless Connectivity for an Automated Warehouse Suitable for Industry 4.0" Information 14, no. 9: 506. https://doi.org/10.3390/info14090506
APA StyleGulia, R., Vashist, A., Ganguly, A., Hochgraf, C., & Kuhl, M. E. (2023). Evaluation of 60 GHz Wireless Connectivity for an Automated Warehouse Suitable for Industry 4.0. Information, 14(9), 506. https://doi.org/10.3390/info14090506

