Experimental Investigation on Structural Responses of a Partially Submerged 2D Flat Plate with Hammering and Breaking Waves for Numerical Validation
Abstract
1. Introduction
2. Experimental Setup
2.1. Experimental Model
2.2. Wave Condition
2.3. Measuring System
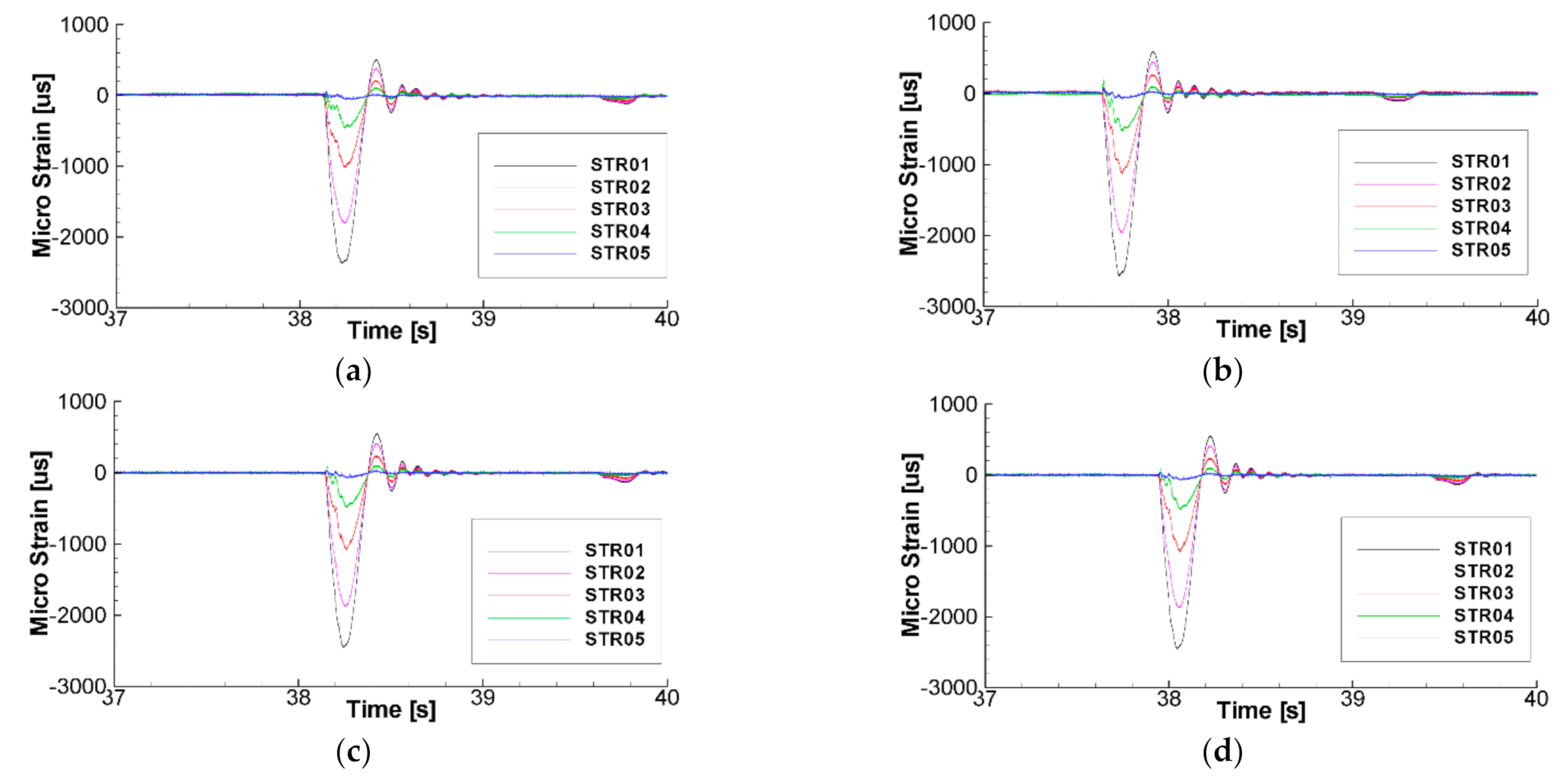
3. Experimental Results
3.1. Hammering Test
3.2. Breaking Wave Test
4. Conclusions
- (1)
- From the hammering tests under dry conditions, the frequencies of the 1st and 3rd modes for Model A occur near 13 Hz and 78 Hz, respectively. In addition, the repetitive data on the IMP02 location show good agreement with each other.
- (2)
- For Model B, hammering tests were performed under dry and partially wet conditions. Thus, the frequencies in each mode under partially wet conditions are moved to the low-frequency regions compared to the results in the dry condition.
- (3)
- In the breaking wave test, for Model A, the wave frequency dominantly occurs, and the 1st mode can be captured. In addition, the air bubble frequency between the wave and 1st mode frequencies occurs, and the air bubble frequency is near 7 Hz. The air bubble frequency near 7 Hz occurred in the model tests for Model B as well.
- (4)
- It can be observed that the frequencies of the 1st, 3rd and 6th modes of Model B occur under the breaking waves. Therefore, the frequencies in each mode can be captured to be similar to the hammering tests. The wave and air bubble frequencies were additionally captured from the breaking wave tests.
- (5)
- Quantitative data, such as the strain and time interval of the measured data peaks, are provided, and the data can be useful for the validation of a numerical simulation.
Author Contributions
Funding
Institutional Review Board Statement
Informed Consent Statement
Data Availability Statement
Acknowledgments
Conflicts of Interest
References
- Newman, J.N. Wave effects on deformable bodies. Appl. Ocean Res. 1994, 16, 47–59. [Google Scholar] [CrossRef]
- Kjeldsen, S.P.; Torum, A.; Dean, R.G. Wave Forces on Vertical Piles Caused by 2 and 3 Dimensional Breaking Waves. In Proceedings of the 20th International Conference on Coastal Engineering, Taipei, Taiwan, 9–14 November 1986; pp. 1929–1942. [Google Scholar]
- Basco, D.R.; Niedzwecki, J.M. Breaking wave force distributions and design criteria for slender piles. In Proceedings of the Offshore Technology Conference, Houston, TX, USA, 1–4 May 1989; pp. 425–431. [Google Scholar]
- Hong, K.Y.; Shin, S.H. Instability of plunging breaking wave impact on inclined cylinder. J. Korean Soc. Mar. Environ. Eng. 2007, 10, 187–192. [Google Scholar]
- von Karman, T. The Impact on Seaplane Floats during Landing; Technical Note 321; National Advisory Committee for Aeronautics: Washington, DC, USA, 1929. [Google Scholar]
- Wagner, H. Über Stoß-und Gl-eitvorgänge an der oberfläche von flüssigkeiten. Z. Angew. Math. Mech. 1932, 12, 193–215. (In German) [Google Scholar] [CrossRef]
- Goda, Y.; Haranaka, S.; Kitahata, M. Study on Impulsive Breaking Wave Forces on Piles; Report Port and Harbour Technical Research Institute: Kanagawa, Japan, 1966; Volume 6, pp. 1–30. [Google Scholar]
- Hattori, M.; Arami, A.; Yui, T. Wave impact pressure on vertical walls under breaking waves of various types. Coast. Eng. 1994, 22, 79–114. [Google Scholar] [CrossRef]
- Chan, E.S.; Cheon, H.F.; Tan, B.C. Laboratory study of plunging wave impacts on vertical cylinders. Coast. Eng. 1995, 25, 87–107. [Google Scholar] [CrossRef]
- Wienke, J.; Sparboom, U.; Oumeraci, H. Breaking wave impact on a slender cylinder. In Proceedings of the 27th International Conference on Coastal Engineering (ICCE 2000), Sydney, Australia, 16–21 July 2000; Volume 2, pp. 1787–1798. [Google Scholar]
- Ha, Y.J.; Kim, K.H.; Nam, B.N.; Hong, S.Y. Experimental Investigation for Characteristics of Wave Impact Loads on a Vertical Cylinder in Breaking Waves. Ocean Eng. 2020, 209, 107470. [Google Scholar] [CrossRef]
- Huang, Z.; Spencer, D.; Oberlies, R.; Watts, G.; Xiao, W. Wave impact experiment of a GBS model in large waves. In Proceedings of the 36th International Conference on Ocean, Offshore, and Arctic Engineering, Trondheim, Norway, 25–30 June 2017. OMAE2017-61473. [Google Scholar]
- Jose, J.; Choi, S.J. Estimation of slamming coefficients on local members of offshore wind turbine foundation (jacket type) under plunging breaker. Int. J. Nav. Archit. Ocean Eng. 2017, 9, 624–640. [Google Scholar] [CrossRef]
- Ha, Y.J.; Kim, K.H.; Nam, B.N.; Hong, S.Y.; Kim, H.J. Experimental study for characteristics of slamming loads on bow of a ship-type FPSO under breaking and irregular wave conditions. Ocean Eng. 2021, 224, 108738. [Google Scholar] [CrossRef]
- Chuang, S.L. Investigation of Impact of Rigid and Elastic Bodies with Water; NSR & DC Report 3248; ProQuest Dissertations Publishing: Morrisville, CA, USA, 1970. [Google Scholar]
- Moragues, M.V.; Clavero, M.; Losada, M.A. Wave breaker types on a smooth and impermeable 1:10 slope. J. Mar. Sci. Eng. 2020, 8, 296. [Google Scholar] [CrossRef]
- Li, C.; Gao, F.; Yang, L. Breaking-wave induced transient pore pressure in a sandy seabed: Flume modeling and observations. J. Mar. Sci. Eng. 2021, 9, 160. [Google Scholar] [CrossRef]
- Escudero, M.; Hernandez-Fontes, J.V.; Hernandez, I.D.; Mendoza, E. Virtual level analysis applied to wave flume experiments: The case of waves-cubipod homogeneous low-crested structure interaction. J. Mar. Sci. Eng. 2021, 9, 230. [Google Scholar] [CrossRef]
- Khayyer, A.; Gotoh, H. A multiphase compressible-incompressible particle method for water slamming. Int. J. Offshore Polar Eng. 2016, 26, 20–25. [Google Scholar] [CrossRef]
- Liu, P.L.-F.; Lin, P.; Chang, K.-A.; Sakakiyama, T. Wave interaction with porous structures. J. Waterw. Port. Coastal. Ocean Eng. 1999, 125, 322–330. [Google Scholar] [CrossRef]
- Kamath, A.; Chella, M.A.; Bihs, H.; Arntsen, O.A. Breaking wave interaction with a vertical cylinder and the effect of breaker location. Ocean Eng. 2016, 128, 105–115. [Google Scholar] [CrossRef]
- Ha, Y.J.; Kim, K.H.; Nam, B.N.; Hong, S.Y. CFD simulation of wave impact loads on a truncated circular cylinder by breaking waves. Int. J. Offshore Polar Eng. 2019, 29, 306–314. [Google Scholar] [CrossRef]
- Fu, S.; Moan, T.; Chen, X.; Cui, W. Hydroelastic analysis of flexible floating interconnected structures. Ocean Eng. 2007, 34, 1516–1531. [Google Scholar] [CrossRef]
- Hamamoto, T.; Fujita, K. Wet-mode superposition for evaluating the hydroelastic response of floating structures with arbitrary shape. In Proceedings of the International Offshore and Polar Engineering Conference, Kitakyushu, Japan, 26–31 May 2002; Volume 12, pp. 290–297. [Google Scholar]
- Wu, H.L.; Chen, X.J.; Shen, H.P.; Wu, Y.S. Experimental and numerical investigation of the hydroelasticity of a floating structure with legs. Mar. Struct. 2018, 61, 100–118. [Google Scholar] [CrossRef]
- Malenica, S.; Molin, B.; Remy, F.; Sejanović, I. Hydroelastic Response of a Barge to Impulsive and Non-Impulsive Wave Loads; The Oxford University: Oxford, UK, 2003; pp. 107–116. [Google Scholar]
- Kara, F. Time domain prediction of hydroelasticity of floating bodies. Appl. Ocean Res. 2015, 51, 1–13. [Google Scholar] [CrossRef]
- Rajendran, S.; Soares, C.G. Numerical investigation of the vertical response of a containership in large amplitude wave. Ocean Eng. 2016, 123, 440–451. [Google Scholar] [CrossRef]
- Sejanović, I.; Malenica, Š.; Tomašević, S. Investigation of ship hydroelasticity. Ocean Eng. 2008, 35, 523–535. [Google Scholar] [CrossRef]
- Loukogeorgaki, E.; Michailides, C.; Angelides, D.C. Dry and wet mode superposition approaches for the hydroelastic analysis of floating structures. In Proceedings of the International Conference on Structural Dynamic, Porto, Portugal, 30 June–2 July 2014; pp. 3089–3096. [Google Scholar]
- Michailides, C.; Loukogeorgaki, E.; Angelides, D.C. Response analysis and optimum configuration of a modular floating structure with flexible connectors. Appl. Ocean Res. 2013, 43, 112–130. [Google Scholar] [CrossRef]
- Fourey, G.; Hermange, C.; Le Touzé, D.; Oger, G. An efficient FSI coupling strategy between smoothed particle hydrodynamics and finite element methods. Comput. Phys. Commun. 2017, 217, 66–81. [Google Scholar] [CrossRef]
- Li, Z.; Leduc, J.; Nunez-Ramirez, J.; Combescure, A.; Marongiu, J.C. A non-intrusive partitioned approach to couple smoothed particle hydrodynamics and finite element methods for transient fluid-structure interaction problems with large interface motion. Comput. Mech. 2015, 55, 697–718. [Google Scholar] [CrossRef]
- Liu, M.; Zhang, Z. Smoothed particle hydrodynamics (SPH) for modeling fluid-structure interactions. Sci. China Phys. Mech. Astron. 2019, 62, 984701. [Google Scholar] [CrossRef]
- Sun, Z.; Zhang, G.; Zong, Z.; Djidjeli, K.; Xing, J. Numerical analysis of violent hydroelastic problems based on a mixed MPS-mode superposition method. Ocean Eng. 2019, 179, 285–297. [Google Scholar] [CrossRef]
- Izadi, M.; Ghadimi, P.; Fadavi, M.; Tavakoli, S. Hydroelastic analysis of water impact of flexible asymmetric wedge with an oblique speed. Meccanica 2018, 53, 2285–2617. [Google Scholar] [CrossRef]
- Liao, K.; Hu, C.; Duan, W. Two-dimensional numerical simulation of an elastic wedge water entry by a coupled FDM-FEM method. J. Mar. Sci. Appl. 2013, 12, 163–169. [Google Scholar] [CrossRef]
- Donea, J.; Jiuliani, S.; Halleux, J.P. An arbitrary lagrangian-eulerian finite element method for transient dynamic fluid-structure interactions. Comput. Method. Appl. Mech. Eng. 1982, 33, 689–723. [Google Scholar] [CrossRef]
- Hirt, C.W.; Amsden, A.A.; Cook, J.L. An arbitrary lagrangian-eulerian computing method for all speeds. J. Comp. Phys. 1974, 14, 227–253. [Google Scholar] [CrossRef]
- Hughes, T.J.R.; Liu, W.K.; Zimmerman, T. Lagrangian-eulerian finite element formulation for incompressible viscous flow. Comput. Method. Appl. Mech. Eng. 1981, 29, 329–349. [Google Scholar] [CrossRef]
- Hu, H.H.; Patankar, N.A.; Zhu, M.Y. Direct numerical simulations of fluid-solid systems using the arbitrary lagrangian-eulerian technique. J. Comp. Phys. 2001, 20, 427–462. [Google Scholar] [CrossRef]
- Peskin, C.S.; McQueen, D.M. A three-dimensional computational method for blood flow in the heart I. Immersed elastic fibers in a viscous incompressible fluid. J. Comp. Phys. 1989, 81, 372–405. [Google Scholar]
- Dillion, R.; Fauci, L.J. An integrative model of internal axoneme mechanics and external fluid dynamics in ciliary beating. J. Theor. Biol. 2002, 207, 415–430. [Google Scholar] [CrossRef]
- Gilmanov, A.; Sotiropoulos, F. A hybrid cartesian/immersed boundary method for simulating flows with 3D, geometrically complex, moving bodies. J. Comp. Phys. 2005, 207, 457–492. [Google Scholar] [CrossRef]
- Zhu, L.; Peskin, C.S. Simulation of a flapping flexible filament in a flowing soap film by the immersed boundary method. J. Comp. Phys. 2002, 179, 452–468. [Google Scholar] [CrossRef]
- Nestola, M.G.C.; Becsek, B.; Zolfaghari, H.; Zulian, P.; Marinis, D.D.; Krause, R.; Obrist, D. An immersed boundary method for fluid-structure interaction based on overlapping domain decomposition. J. Comput. Physics. 2019, 398, 108884. [Google Scholar] [CrossRef]
- Griffith, B.E.; Patankar, N.A. Immersed methods for fluid structure interaction. Annu. Rev. Fluid Mech. 2020, 52, 421–448. [Google Scholar] [CrossRef]
- Glowinski, R.; Pan, T.-W.; Periaux, J. A lagrange multiplier/fictitious domain method for the numerical simulation of incompressible viscous flow around moving rigid bodies: (I) case where the rigid body motions are known a priori. C. R. Acad. Sci. Paris 1997, 25, 361–369. [Google Scholar] [CrossRef]
- van Loon, R.; Anderson, P.D.; de Hart, J.; Baaijens, F.P.T. A combined fictitious domain/adaptive meshing method for fluid-structure interaction in heart valves. Int. J. Numer. Methods Fluids 2004, 46, 533–544. [Google Scholar] [CrossRef]
- Kim, K.H.; Kim, B.W.; Hong, S.Y. Experimental investigations on extreme bow-flare slamming loads of 10,000-TEU containership. Ocean Eng. 2019, 171, 225–240. [Google Scholar] [CrossRef]
- Garabedian, P.R. Oblique water entry of a wedge. Commun. Pure Appl. Math. 1953, 6, 157–165. [Google Scholar] [CrossRef]
- Judge, C.; Troesch, A.; Perlin, M. Initial water impact of a wedge at vertical and oblique angles. J. Eng. Math. 2004, 48, 279–303. [Google Scholar] [CrossRef]
- Barjasteh, M.; Zeraatgar, H.; Javaherian, M.J. An experimental study on water entry of asymmetric wedges. Appl. Ocean Res. 2016, 58, 292–304. [Google Scholar] [CrossRef]
- Russo, S.; Jalalisendi, M.; Falcucci, G.; Porfiri, M. Experimental characterization of oblique and asymmetric water entry. Exp. Therm. Fluid Sci. 2018, 92, 141–161. [Google Scholar] [CrossRef]
- Wang, S.; Guedes Soares, C. Asymmetrical water impact of two-dimensional wedges with roll angle. Int. J. Marit. Eng. 2014, 156, 115–130. [Google Scholar]

























| Experimental Model | Length | Thickness | Width | Bottom Height | Young’s Modulus | Poisson’s Ratio |
|---|---|---|---|---|---|---|
| Model A | 250 mm | 1 mm | 200 m | 38 mm above water surface | 71 GPa | 0.33 |
| Model B | 326 mm | 38 mm below water surface |
Publisher’s Note: MDPI stays neutral with regard to jurisdictional claims in published maps and institutional affiliations. |
© 2021 by the authors. Licensee MDPI, Basel, Switzerland. This article is an open access article distributed under the terms and conditions of the Creative Commons Attribution (CC BY) license (https://creativecommons.org/licenses/by/4.0/).
Share and Cite
Ha, Y.-J.; Park, B.-J.; Kim, Y.-H.; Lee, K.-S. Experimental Investigation on Structural Responses of a Partially Submerged 2D Flat Plate with Hammering and Breaking Waves for Numerical Validation. J. Mar. Sci. Eng. 2021, 9, 621. https://doi.org/10.3390/jmse9060621
Ha Y-J, Park B-J, Kim Y-H, Lee K-S. Experimental Investigation on Structural Responses of a Partially Submerged 2D Flat Plate with Hammering and Breaking Waves for Numerical Validation. Journal of Marine Science and Engineering. 2021; 9(6):621. https://doi.org/10.3390/jmse9060621
Chicago/Turabian StyleHa, Yoon-Jin, Byoung-Jae Park, Yun-Ho Kim, and Kang-Su Lee. 2021. "Experimental Investigation on Structural Responses of a Partially Submerged 2D Flat Plate with Hammering and Breaking Waves for Numerical Validation" Journal of Marine Science and Engineering 9, no. 6: 621. https://doi.org/10.3390/jmse9060621
APA StyleHa, Y.-J., Park, B.-J., Kim, Y.-H., & Lee, K.-S. (2021). Experimental Investigation on Structural Responses of a Partially Submerged 2D Flat Plate with Hammering and Breaking Waves for Numerical Validation. Journal of Marine Science and Engineering, 9(6), 621. https://doi.org/10.3390/jmse9060621

