Numerical Simulations and Experimental Study on the Reeling Process of Submarine Pipeline by R-Lay Method
Abstract
1. Introduction
2. Experiments
2.1. Experimental Equipment
2.2. Experimental Procedure
3. Pipeline-Reeling Process Analysis
3.1. Pipeline Stress Analysis
3.2. Pipeline Bending Moment Analysis
4. FEM Simulation
4.1. FEM Model
4.2. Material Model
4.3. Boundary Conditions
4.4. FEM Simulation
5. Influencing Factors of the Reeling Process
5.1. Effect of Diameter-to-Thickness Ratio
5.2. Effect of Yield Strength
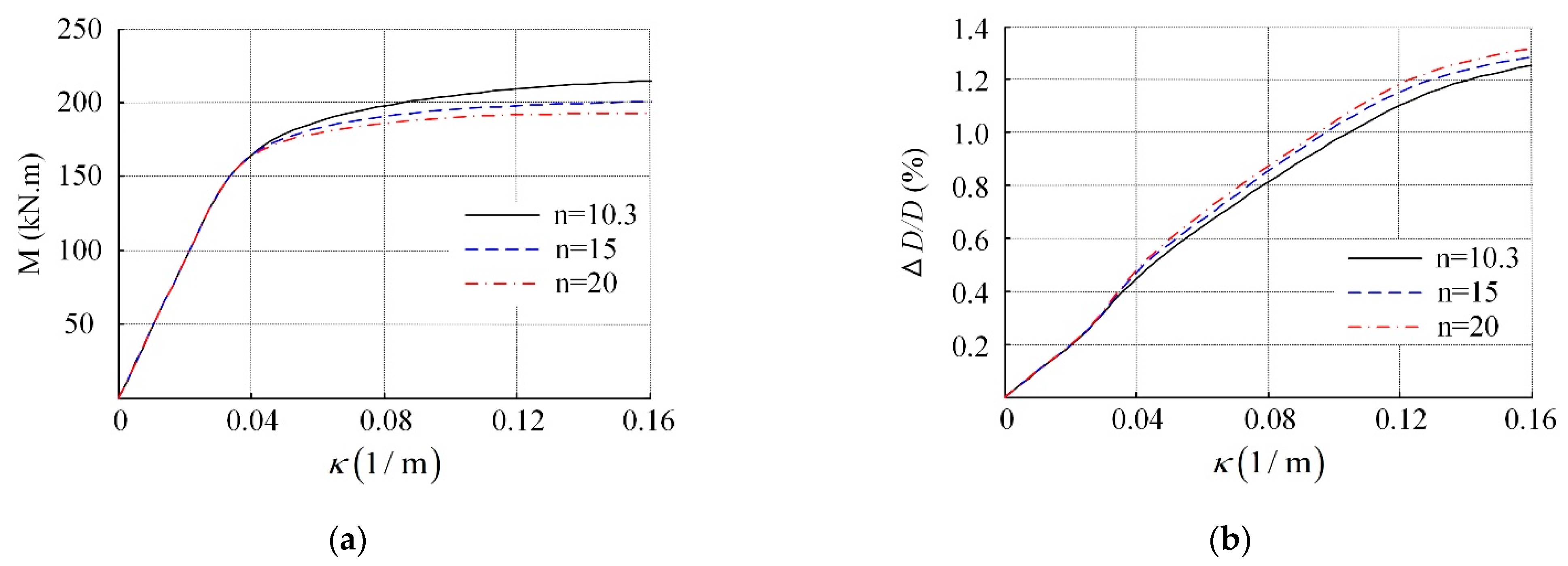
5.3. Effect of Hardening Index
5.4. Effect of Axial Tension
6. Conclusions
Author Contributions
Funding
Institutional Review Board Statement
Informed Consent Statement
Data Availability Statement
Conflicts of Interest
References
- Li, Z.G.; Wang, C.; He, N.; Zhao, D.Y. An Overview of Deepwater Pipeline Laying Technology. China Ocean Eng. 2008, 22, 521–532. [Google Scholar] [CrossRef]
- Brown, G.; Tkaczyk, T.; Howard, B. Reliability based assessment of minimum reelable wall thickness for reeling. In Proceedings of the IPC 2004 International Pipeline Conference Calgary, Alberta, AB, Canada, 4–8 October 2004. [Google Scholar] [CrossRef]
- Szczotka, M. Dynamic analysis of an offshore pipe laying operation using the reel method. Acta Mech. Sinica. 2011, 27, 44–55. [Google Scholar] [CrossRef]
- Endal, G.; Giske, S.R.; Moen, K.; Sande, S. Reel-lay method to control global pipeline buckling under operating loads. In Proceedings of the ASME2014 33rd International Conference on Ocean, Offshore and Arctic Engineering, San Francisco, CA, USA, 8–13 June 2014. [Google Scholar] [CrossRef]
- Bruschi, R.; Vitali, L.; Marchionni, L.; Parrella, A.; Mancini, A. Pipe technology and installation equipment for frontier deep water projects. Ocean Eng. 2015, 108, 369–392. [Google Scholar] [CrossRef]
- Sriskandarajah, T.; Rao, V. predictive residual ovality for reel-laid pipelines in deepwater. In Proceedings of the ASME 2015 34th International Conference on Ocean, Offshore and Arctic Engineering, Newfoundland, NL, Canada, 31 May–5 June 2015. [Google Scholar] [CrossRef]
- Brazier, L.G. On the Flexure of Thin Cylindrical Shells and Other “Thin” Sections. Proc. R. Soc. A Math. Phy. 1927, 116, 104–114. [Google Scholar] [CrossRef]
- Reissner, E.; Weinitschke, H.J. Finite pure bending of circular cylindrical tubes. Q. Appl. Math. 1963, 20, 305–319. [Google Scholar] [CrossRef]
- Bathe, K.J.; Almeida, C.A. A Simple and Effective Pipe Elbow Element—Linear Analysis. J. Appl. Mech. Mar. 1980, 47, 93–100. [Google Scholar] [CrossRef]
- Kyriakides, S.; Shaw, P.K. Response and stability of elastoplastic circular pipes under combined bending and external pressure. Int. J. Solids Struct. 1982, 18, 957–973. [Google Scholar] [CrossRef]
- Shaw, P.K.; Kyriakides, S. Inelastic analysis of thin-walled tubes under cyclic bending. Int. J. Solids Struct. 1985, 21, 1073–1100. [Google Scholar] [CrossRef]
- Corona, E.; Kyriakides, S. On the collapse of inelastic tubes under combined bending and pressure. Int. J. Solids Struct. 1988, 24, 505–535. [Google Scholar] [CrossRef]
- Kyriakides, S.; Shaw, P.K. Inelastic Buckling of Tubes under Cyclic Bending. J. Pressure Vessel Technol. 1987, 109, 169–178. [Google Scholar] [CrossRef]
- Pan, W.F.; Fan, C.H. An experimental study on the effect of curvature-rate at preloading stage on subsequent creep or relaxation of thin-walled tubes under pure bending. JSME Int. J. A Solid M. 1998, 41, 525–531. [Google Scholar] [CrossRef][Green Version]
- Lee, K.L.; Pan, W.F.; Kuo, J.N. The infuence of the diameter-to-thickness ratio on the stability of circular tubes under cyclic bending. Int. J. Solids Struct. 2001, 38, 2401–2413. [Google Scholar] [CrossRef]
- Lee, K.L.; Pan, W.F.; Hsu, C.M. Experimental and Theoretical Evaluations of the Effect between Diameter-to-Thickness Ratio and Curvature-Rate on the Stability of Circular Tubes under Cyclic Bending. JSME Int. J. 2004, 47, 212–222. [Google Scholar] [CrossRef][Green Version]
- Lee, K.L.; Shie, R.F.; Chang, K.H. Experimental and Theoretical Investigation of the Response and Collapse of 316L Stainless Steel Tubes Subjected to Cyclic Bending. JSME Int. J. 2005, 48, 155–162. [Google Scholar] [CrossRef][Green Version]
- Chang, K.H.; Pan, W.F. Buckling life estimation of circular tubes under cyclic bending. Int. J. Solids Struct. 2009, 46, 254–270. [Google Scholar] [CrossRef][Green Version]
- Kuznetsov, V.V.; Levyakov, S.V. Nonlinear pure bending of toroidal shells of arbitrary cross-section. Int. J. Solids Struct. 2001, 38, 7343–7354. [Google Scholar] [CrossRef]
- Corona, E.; Lee, L.H.; Kyriakides, S. Yield anisotropy effects on buckling of circular tubes under bending. Int. J. Solids Struct. 2006, 43, 7099–7118. [Google Scholar] [CrossRef]
- Kyriakides, S.; Ok, A.; Corona, E. Localization and propagation of curvature under pure bending in steel tubes with Lüders bands. Int. J. Solids Struct. 2008, 45, 3074–3087. [Google Scholar] [CrossRef]
- Yoo, Y.S.; Huh, N.S.; Choi, S.; Kim, T.W.; Kim, J.I. Collapse pressure estimates and the application of a partial safety factor to cylinders subjected to external pressure. Nucl. Eng. Technol. 2010, 42, 450–459. [Google Scholar] [CrossRef]
- Gong, S.F.; Yuan, L.; Jin, W.L. Buckling response of offshore pipelines under combined tension, bending, and external pressure. J. Zhejiang Univ. Sci. A 2011, 12, 627–636. [Google Scholar] [CrossRef]
- Chatzopoulou, G.; Karamanos, S.A.; Varelis, G.E. Finite element analysis of cyclically-loaded steel pipes during deep water reeling installation. Ocean Eng. 2016, 124, 113–124. [Google Scholar] [CrossRef]
- Liu, Y.; Kyriakides, S.; Dyau, J.Y. Effects of Reeling on Pipe Structural Performance—Part II: Analysis. J. Offshore Mech. Arct. 2017, 139, 051707.1–051707.12. [Google Scholar] [CrossRef]
- Cho, J.R.; Joo, B.D.; Cho, J.R.; Moon, Y.H. Finite element analysis of the offshore reel-laying operations for double-walled pipe. Adv. Mech. Eng. 2017, 9, 1–10. [Google Scholar] [CrossRef]
- Paz, C.M.; Fu, G.; Estefen, S.F.; Su, J. Sandwich pipe: reel-lay installation effects. In Proceedings of the ASME 2015 34th International Conference on Ocean, Offshore and Arctic Engineering, American Society of Mechanical Engineers Digital Collection, Newfoundland, NL, Canada, 31 May–5 June 2015. [Google Scholar] [CrossRef]
- Shitamoto, H.; Hisamune, N. Effect of full- and small-scale reeling simulation on mechanical properties of weldable 13Cr seamless line pipe. In Proceedings of the ASME 2013 32nd International Conference on Ocean, Offshore and Arctic Engineering, Nantes, France, 9–14 June 2013. [Google Scholar]
- Tang, S.C.; Chu, C.C.; Yeung, K.S. Collapse of long, noncircular, cylindrical shells under pure bending. Comput. Struct. 2015, 21, 1345–1353. [Google Scholar] [CrossRef]
- Sun, Z.L.; Hu, X.W.; Zhang, Y.Q.; Yang, S. Research on Bauschinger effect of X65MO submarine pipeline steel. Steel Roll. 2020, 37, 33–36. [Google Scholar] [CrossRef]
- Bai, Y.; Igland, R.T.; Moan, T. Tube Collapse under Combined External Pressure, Tension and Bending. Mar. Struct. 1997, 10, 389–410. [Google Scholar] [CrossRef]
- Liao, H.; Wang, L. Influence of Reel Lay on Residual Stress and Ultimate Bearing Capacity of Pipe. In Proceedings of the 2015 International Conference on Applied Mechanics, Mechatronics and Intelligent Systems, Nanjing, China, 19–20 June 2015; pp. 38–43. [Google Scholar] [CrossRef]
- Bai, Y.; Xu, W.; Cheng, P.; Wang, N.; Ruan, W. Behaviour of reinforced thermoplastic pipe (RTP) under combined external pressure and tension. Ships Offshore Struct. 2013, 9, 464–474. [Google Scholar] [CrossRef]
- Simon, J.C.; Armero, F. Geometrically non-linear enhanced strain mixed methods and the method of incompatible modes. Int. J. Numer. Meth. Eng. 1992, 33, 1413–1449. [Google Scholar] [CrossRef]
- Bai, Y.; Ruan, W.; Cheng, P.; Yu, B.; Xu, W. Buckling of reinforced thermoplastic pipe (RTP) under combined bending and tension. Ships Offshore Struct. 2014, 9, 525–539. [Google Scholar] [CrossRef]
- Gong, S.; Hu, Q.; Bao, S.; Bai, Y. Asymmetric buckling of offshore pipelines under combined tension, bending and external pressure. Ships Offshore Struct. 2014, 10, 162–175. [Google Scholar] [CrossRef]


















| Parameter | Value | Parameter | Value |
|---|---|---|---|
| Outside diameter | 0.16 8m | Inner diameter | 0.1344 m |
| Thickness | 0.0168 m | Length (single) | 12.0 m |
| Yield stress | 448 MPa | Young modulus | 207 GPa |
| Poisson’s ratio | 0.3 | Hardening index | 10.3 |
| Tensile strength | 531 MPa | Density | 7800 kg/m3 |
| Reeling Distance (mm) | Simulation Value | Experiment 1 | Experiment 2 | Experiment 3 | Average Relative Error | |
|---|---|---|---|---|---|---|
| Ovalization | 125 | 0.591% | 0.553% | 0.556% | 0.562% | 5.75% |
| 250 | 1.193% | 1.125% | 1.128% | 1.134% | 5.36% | |
| 390 | 1.275% | 1.197% | 1.202% | 1.207% | 5.73% | |
| 540 | 1.238% | 1.166% | 1.167% | 1.174% | 5.57% | |
| 700 | 1.245% | 1.166% | 1.167% | 1.171% | 6.18% | |
| Bending moment (kN·m) | 218 | 243 | 225 | 221 | 5.35% |
Publisher’s Note: MDPI stays neutral with regard to jurisdictional claims in published maps and institutional affiliations. |
© 2021 by the authors. Licensee MDPI, Basel, Switzerland. This article is an open access article distributed under the terms and conditions of the Creative Commons Attribution (CC BY) license (https://creativecommons.org/licenses/by/4.0/).
Share and Cite
Ju, M.; Xing, X.; Wang, L.; Yun, F.; Wang, X.; Liao, H. Numerical Simulations and Experimental Study on the Reeling Process of Submarine Pipeline by R-Lay Method. J. Mar. Sci. Eng. 2021, 9, 579. https://doi.org/10.3390/jmse9060579
Ju M, Xing X, Wang L, Yun F, Wang X, Liao H. Numerical Simulations and Experimental Study on the Reeling Process of Submarine Pipeline by R-Lay Method. Journal of Marine Science and Engineering. 2021; 9(6):579. https://doi.org/10.3390/jmse9060579
Chicago/Turabian StyleJu, Ming, Xiaodong Xing, Liquan Wang, Feihong Yun, Xiangyu Wang, and Hongqian Liao. 2021. "Numerical Simulations and Experimental Study on the Reeling Process of Submarine Pipeline by R-Lay Method" Journal of Marine Science and Engineering 9, no. 6: 579. https://doi.org/10.3390/jmse9060579
APA StyleJu, M., Xing, X., Wang, L., Yun, F., Wang, X., & Liao, H. (2021). Numerical Simulations and Experimental Study on the Reeling Process of Submarine Pipeline by R-Lay Method. Journal of Marine Science and Engineering, 9(6), 579. https://doi.org/10.3390/jmse9060579

