Study on the Collapse Process of Cavitation Bubbles Including Heat Transfer by Lattice Boltzmann Method
Abstract
1. Introduction
2. Material and Methods
2.1. Pseudo-Potential LBM-MRT Model
2.2. Thermal LBM-MRT Model
3. Validation of the DDF-LBM Model
3.1. Comparisons of Simulation with the Analytical Solution
3.2. D2 Law for Droplet Evaporation
4. Results and Discussions
4.1. Evolution of the Cavitation in an Infinite Domain
4.2. Evolution of the Cavitation Near a Straight Wall
4.3. Evolution of the Cavitation Near a Convex Wall
5. Conclusions
- (1)
- The LBM model successfully reproduces the process from the expansion to compression of the cavitation bubble for the case of an infinite domain. In the initial growth stage, the temperature inside the bubble decreases, and the high pressure and the temperature are found at the final collapse stage due to the bubble compression.
- (2)
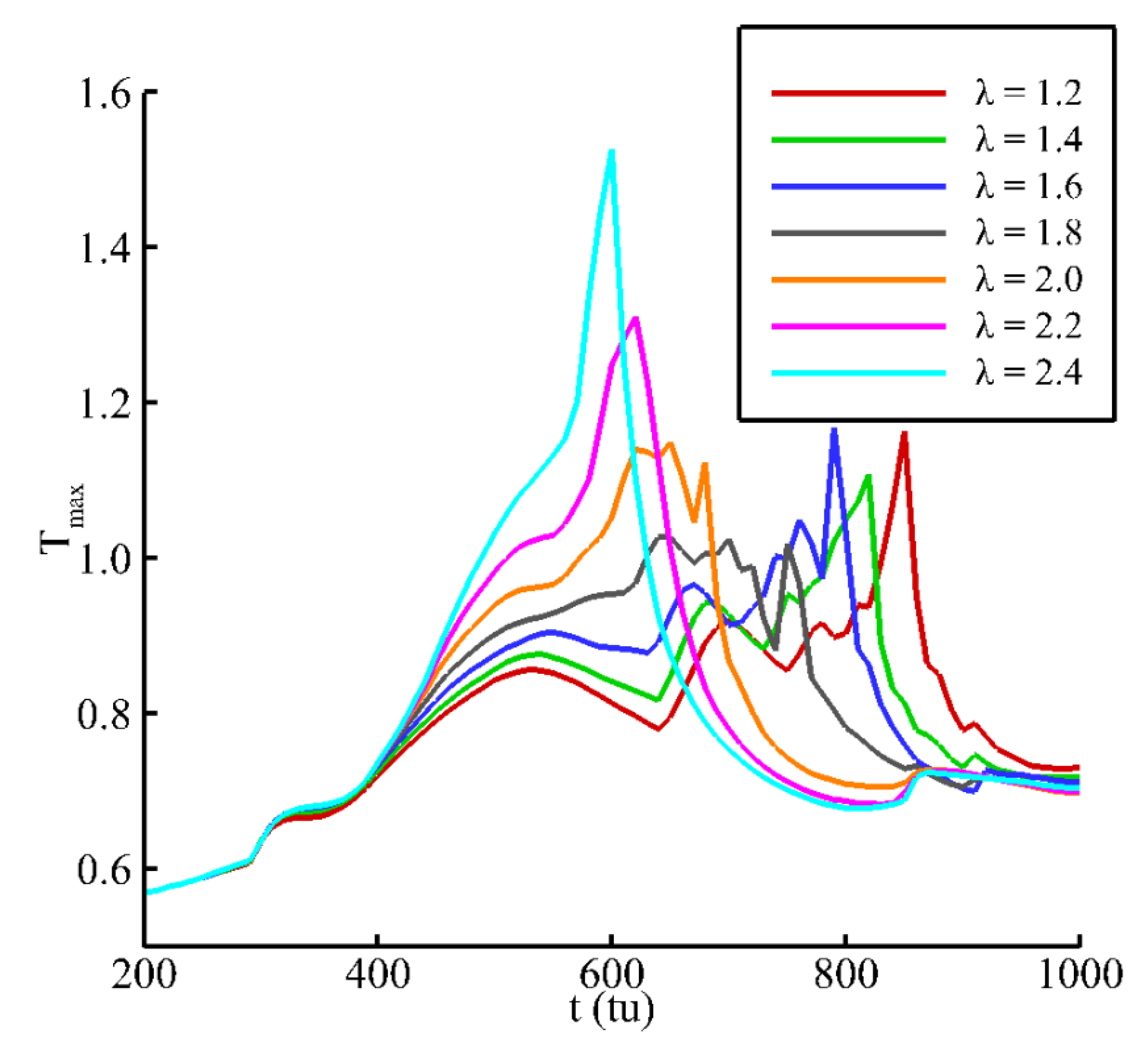
- When a cavitation bubble is near the straight wall, λ determines whether the second collapse exists or not. During the shrinkage stage, the temperature inside the bubble keeps rising, and the position of the maximum temperature in the bubble moves downwards in the depression stage. If the second collapse exists, the temperature inside the bubble has a slight fluctuation during the depression stage and the position of the maximum temperature has lateral movement following the annular bubble after the first collapse. When λ is large enough (λ = 2.2, 2.4), the temperature inside the bubble is obviously higher compared with the other cases.
- (3)
- When a bubble is near a convex wall, the curvature of the wall can affect the behavior of the bubble collapse. In the shrinkage stage, the lower edge of the bubble evolves into a sharp corner due to the compression of both sides of the bubble’s lower part for the case of . However, the sharp corner does not exist when , and the bubble has a second collapse, which is similar to the bubble near the straight wall. However, the temperature for the case of in the evolution is the largest. When , the pressure at the center of the convex wall is the largest, which indicates that the wall pressure reduces as the decreases.
- (4)
- Overall, the improved LBM model can accurately predict cavitation bubble collapse, including the heat transfer. Moreover, the interaction between density and temperature fields has been included in the LBM model for the first time.
Author Contributions
Funding
Institutional Review Board Statement
Informed Consent Statement
Data Availability Statement
Acknowledgments
Conflicts of Interest
References
- Brennen, C.; Acosta, A.J. The Dynamic Transfer Function for a Cavitating Inducer. J. Fluids Eng. 1976, 98, 182–191. [Google Scholar] [CrossRef]
- Kornfeld, M.; Suvorov, L. On the Destructive Action of Cavitation. J. Appl. Phys. 1944, 15, 495–506. [Google Scholar] [CrossRef]
- Ohl, S.-W.; Wu, D.W.; Klaseboer, E.; Khoo, B.C. Spark bubble interaction with a suspended particle. J. Phys. Conf. Ser. 2015, 656, 012033. [Google Scholar] [CrossRef]
- Poulain, S.; Guenoun, G.; Gart, S.; Crowe, W.; Jung, S. Particle Motion Induced by Bubble Cavitation. Phys. Rev. Lett. 2015, 114, 214501. [Google Scholar] [CrossRef]
- Vogel, A.; Lauterborn, W. Acoustic transient generation by laser-produced cavitation bubbles near solid boundaries. J. Acoust. Soc. Am. 1988, 84, 719–731. [Google Scholar] [CrossRef]
- Tomita, Y.; Kodama, T. Interaction of laser-induced cavitation bubbles with composite surfaces. J. Appl. Phys. 2003, 94, 2809–2816. [Google Scholar] [CrossRef]
- Huang, S.; Ihara, A.; Watanabe, H.; Hashimoto, H. Effects of Solid Particle Properties on Cavitation Erosion in Solid-Water Mixtures. J. Fluids Eng. 1996, 118, 749–755. [Google Scholar] [CrossRef]
- Arora, M.; Ohl, C.D.; Mørch, K.A. Cavitation Inception on Microparticles: A Self-Propelled Particle Accelerator. Phys. Rev. Lett. 2004, 92, 174501. [Google Scholar] [CrossRef]
- Naude, C.F.; Ellis, A.T. On the Mechanism of Cavitation Damage by Nonhemispherical Cavities Collapsing in Contact with a Solid Boundary. J. Basic Eng. 1961, 83, 648–656. [Google Scholar] [CrossRef]
- Kling, C.L.; Hammitt, F.G. A Photographic Study of Spark-Induced Cavitation Bubble Collapse. J. Basic Eng. 1972, 94, 825–832. [Google Scholar] [CrossRef]
- Vogel, A.; Lauterborn, W.; Timm, R. Optical and acoustic investigations of the dynamics of laser-produced cavitation bubbles near a solid boundary. J. Fluid Mech. 1989, 206, 299–338. [Google Scholar] [CrossRef]
- Dular, M.; Coutier-Delgosha, O. Thermodynamic effects during growth and collapse of a single cavitation bubble. J. Fluid Mech. 2013, 736, 44–66. [Google Scholar] [CrossRef]
- Popinet, S.; Zaleski, S. Bubble collapse near a solid boundary: A numerical study of the influence of viscosity. J. Fluid Mech. 2002, 464, 137–163. [Google Scholar] [CrossRef]
- Shan, X.W.; Chen, H.D. Lattice Boltzmann model for simulating flows with multiple phases and components. Phys. Rev. E 1993, 47, 1815–1819. [Google Scholar] [CrossRef] [PubMed]
- Chen, S.Y.; Doolen, G.D. Lattice Boltzmann Method for Fluid Flows. Annu. Rev. Fluid Mech. 1998, 30, 329–364. [Google Scholar] [CrossRef]
- d’Humières, D. Generalized Lattice-Boltzmann Equations. In Proceedings of the 18th International Symposium on Rarefied Gas Dynamics, Vancouver, BC, Canada, 26–30 July 1992; pp. 450–458. [Google Scholar]
- Li, Q.; Luo, K.H.; Li, X.J. Lattice Boltzmann modeling of multiphase flows at large density ratio with an improved pseudopotential model. Phys. Rev. E 2013, 87, 053301. [Google Scholar] [CrossRef] [PubMed]
- Sankaranarayanan, K.; Shan, X.; Kevrekidis, I.; Sundaresan, S. Bubble flow simulations with the lattice Boltzmann method. Chem. Eng. Sci. 1999, 54, 4817–4823. [Google Scholar] [CrossRef]
- Sukop, M.C.; Or, D. Lattice Boltzmann method for homogeneous and heterogeneous cavitation. Phys. Rev. E 2005, 71, 046703. [Google Scholar] [CrossRef]
- Mishra, S.K.; Deymier, P.A.; Muralidharan, K.; Frantziskonis, G.; Pannala, S.; Simunovic, S. Modeling the coupling of reaction kinetics and hydrodynamics in a collapsing cavity. Ultrason. Sonochem. 2010, 17, 258–265. [Google Scholar] [CrossRef]
- Shan, M.-L.; Zhu, C.-P.; Yao, C.; Yin, C.; Jiang, X.-Y. Pseudopotential multi-relaxation-time lattice Boltzmann model for cavitation bubble collapse with high density ratio. Chin. Phys. B 2016, 25, 104701. [Google Scholar] [CrossRef]
- Su, Y.; Tang, X.; Wang, F.; Li, X.; Shi, X. Three-Dimensional Cavitation Bubble Simulations based on Lattice Boltzmann Model Coupled with Carnahan-Starling Equation of State. Commun. Comput. Phys. 2017, 22, 473–493. [Google Scholar] [CrossRef]
- Mao, Y.F.; Peng, Y.; Zhang, J.M. Study of Cavitation Bubble Collapse near a Wall by the Modified Lattice Boltzmann Method. Water 2018, 10, 1439. [Google Scholar] [CrossRef]
- Peng, C.; Tian, S.; Li, G.; Sukop, M.C. Simulation of multiple cavitation bubbles interaction with single-component multiphase Lattice Boltzmann method. Int. J. Heat Mass Transf. 2019, 137, 301–317. [Google Scholar] [CrossRef]
- Liu, Y.; Yong, P. Study on the Collapse Process of Cavitation Bubbles near the Concave Wall by Lattice Boltzmann Method Pseudo-Potential Model. Energies 2020, 13, 4398. [Google Scholar] [CrossRef]
- Márkus, A.; Házi, G. Simulation of evaporation by an extension of the pseudopotential lattice Boltzmann method: A quantitative analysis. Phys. Rev. E 2011, 83, 046705. [Google Scholar] [CrossRef]
- Gong, S.; Cheng, P. Lattice Boltzmann simulation of periodic bubble nucleation, growth and departure from a heated surface in pool boiling. Int. J. Heat Mass Transf. 2013, 64, 122–132. [Google Scholar] [CrossRef]
- Safari, H.; Rahimian, M.H.; Krafczyk, M. Consistent simulation of droplet evaporation based on the phase-field multiphase lattice Boltzmann method. Phys. Rev. E 2014, 90, 033305. [Google Scholar] [CrossRef]
- Li, Q.; Kang, Q.J.; Francois, M.; He, Y.L.; Luo, K.H. Lattice Boltzmann modeling of boiling heat transfer: The boiling curve and the effects of wettability. Int. J. Heat Mass Transf. 2015, 85, 787–796. [Google Scholar] [CrossRef]
- Gonnella, G.; Lamura, A.; Sofonea, V. Lattice Boltzmann simulation of thermal nonideal fluids. Phys. Rev. E 2007, 76, 036703. [Google Scholar] [CrossRef]
- Gan, Y.; Xu, A.; Zhang, G.; Succi, S. Discrete Boltzmann modeling of multiphase flows: Hydrodynamic and thermodynamic non-equilibrium effects. Soft Matter 2015, 11, 5336–5345. [Google Scholar] [CrossRef]
- Shan, X. Simulation of Rayleigh-Bénard convection using a lattice Boltzmann method. Phys. Rev. E 1997, 55, 2780–2788. [Google Scholar] [CrossRef]
- He, X.Y.; Chen, S.Y.; Doolen, G.D. A Novel Thermal Model for the Lattice Boltzmann Method in Incompressible Limit. J. Comput. Phys. 1998, 146, 282–300. [Google Scholar] [CrossRef]
- Guo, Z.L.; Shi, B.C.; Zheng, C.G. A coupled lattice BGK model for the Boussinesq equations. Int. J. Numer. Method. Fluid. 2002, 39, 325–342. [Google Scholar] [CrossRef]
- Guo, Z.; Zheng, C.; Shi, B.; Zhao, T.S. Thermal lattice Boltzmann equation for low Mach number flows: Decoupling model. Phys. Rev. E 2007, 75, 036704. [Google Scholar] [CrossRef]
- Lallemand, P.; Luo, L.S. Hybrid Finite-Difference Thermal Lattice Boltzmann Equation. Int. J. Mod. Phys. B 2003, 17, 41–47. [Google Scholar] [CrossRef]
- Peng, C.; Tian, S.; Li, G.; Sukop, M.C. Simulation of laser-produced single cavitation bubbles with hybrid thermal Lattice Boltzmann method. Int. J. Heat Mass Transf. 2020, 149, 119136. [Google Scholar] [CrossRef]
- Yang, Y.; Shan, M.; Kan, X.; Shangguan, Y.; Han, Q. Thermodynamic of collapsing cavitation bubble investigated by pseudopotential and thermal MRT-LBM. Ultrason. Sonochem. 2020, 62, 104873. [Google Scholar] [CrossRef]
- Li, Q.; Zhou, P.; Yan, H.J. Improved thermal lattice Boltzmann model for simulation of liquid-vapor phase change. Phys. Rev. E 2017, 96, 063303. [Google Scholar] [CrossRef]
- Mukherjee, S.; Abraham, J. A pressure-evolution-based multi-relaxation-time high-density-ratio two-phase lattice-Boltzmann model. Comput. Fluids 2007, 36, 1149–1158. [Google Scholar] [CrossRef]
- Lallemand, P.; Luo, L.S. Theory of the lattice Boltzmann method: Dispersion, dissipation, isotropy, Galilean invariance, and stability. Phys. Rev. E 2000, 61, 6546–6562. [Google Scholar] [CrossRef]
- Mohamad, A.A. Lattice Boltzmann Method: Fundamentals and Engineering Applications with Computer Codes; Springer: New York, NY, USA, 2011; ISBN 978-1-4471-7423-3. [Google Scholar]
- Li, Q.; He, Y.L.; Tang, G.H.; Tao, W.Q. Improved axisymmetric lattice Boltzmann scheme. Phys. Rev. E 2010, 81, 056707. [Google Scholar] [CrossRef]
- Shan, X.W. Analysis and reduction of the spurious current in a class of multiphase lattice Boltzmann models. Phys. Rev. E 2006, 73, 047701. [Google Scholar] [CrossRef] [PubMed]
- Shan, X.W. Pressure tensor calculation in a class of nonideal gas lattice Boltzmann models. Phys. Rev. E 2008, 77, 066702. [Google Scholar] [CrossRef]
- Sbragaglia, M.; Benzi, R.; Biferale, L.; Succi, S.; Sugiyama, K.; Toschi, F. Generalized lattice Boltzmann method with multirange pseudopotential. Phys. Rev. E 2007, 75, 026702. [Google Scholar] [CrossRef] [PubMed]
- Li, Q.; Luo, K.H.; Kang, Q.J.; Chen, Q. Contact angles in the pseudopotential lattice Boltzmann modeling of wetting. Phys. Rev. E 2014, 90, 053301. [Google Scholar] [CrossRef] [PubMed]
- Yuan, P.; Schaefer, L. Equations of state in a lattice Boltzmann model. Phys. Fluids 2006, 18, 042101. [Google Scholar] [CrossRef]
- Sedov, L.I. Mechanics of Continuous Media; World Scientific: Singapore, 1997; ISBN 978-981-279-711-7. [Google Scholar]
- Ershkov, S.; Leshchenko, D.; Giniyatullin, A.R. Note on the solving the Laplace tidal equation with linear dissipation. Rom. J. Phys. 2020, 65, 110. [Google Scholar]
- Huang, R.Z.; Wu, H.Y. A modified multiple-relaxation-time lattice Boltzmann model for convection–diffusion equation. J. Comput. Phys. 2014, 274, 50–63. [Google Scholar] [CrossRef]
- Chen, X.P. Simulation of 2D Cavitation Bubble Growth under Shear Flow by Lattice Boltzmann Model. Commun. Comput. Phys. 2010, 7, 212–223. [Google Scholar] [CrossRef]
- Gong, S.; Cheng, P. A lattice Boltzmann method for simulation of liquid–vapor phase-change heat transfer. Int. J. Heat Mass Transf. 2012, 55, 4923–4927. [Google Scholar] [CrossRef]
- Law, C.K. Recent advances in droplet vaporization and combustion. Prog. Energy Combus. Sci. 1982, 8, 171–201. [Google Scholar] [CrossRef]
- Zhang, Y.N.; Chen, F.P.; Zhang, Y.N.; Zhang, Y.; Du, X. Experimental investigations of interactions between a laser-induced cavitation bubble and a spherical particle. Exp. Therm. Fluid Sci. 2018, 98, 645–661. [Google Scholar] [CrossRef]
- Ginzburg, I.; Verhaeghe, F.; d’Humières, D. Study of Simple Hydrodynamic Solutions with the Two-Relaxation-Times Lattice Boltzmann Scheme. Commu. Comput. Phys. 2008, 3, 519–581. [Google Scholar]
- Izquierdo, S.; Fueyo, N. Characteristic nonreflecting boundary conditions for open boundaries in lattice Boltzmann methods. Phys. Rev. E 2008, 78, 046707. [Google Scholar] [CrossRef] [PubMed]
- Krüger, T.; Kusumaatmaja, H.; Kuzmin, A.; Shardt, O.; Silva, G.; Viggen, E.M. The Lattice Boltzmann Method: Principles and Practice; Springer: New York, NY, USA, 2016; ISBN 978-3-3194-4649-3. [Google Scholar]
- Ladd, A.J.C. Numerical simulations of particulate suspensions via a discretized Boltzmann equation. Part 1. Theoretical foundation. J. Fluid Mech. 1994, 271, 285–309. [Google Scholar] [CrossRef]
- Lauterborn, W.; Bolle, H. Experimental investigations of cavitation-bubble collapse in the neighbourhood of a solid boundary. J. Fluid Mech. 1975, 72, 391–399. [Google Scholar] [CrossRef]
- Tomita, Y.; Robinson, P.B.; Tong, R.P.; Blake, J.R. Growth and collapse of cavitation bubbles near a curved rigid boundary. J. Fluid Mech. 2002, 466, 259–283. [Google Scholar] [CrossRef]














| Variable | Unit |
|---|---|
| mass | |
| length | |
| time | |
| density | |
| pressure | |
| speed |
Publisher’s Note: MDPI stays neutral with regard to jurisdictional claims in published maps and institutional affiliations. |
© 2021 by the authors. Licensee MDPI, Basel, Switzerland. This article is an open access article distributed under the terms and conditions of the Creative Commons Attribution (CC BY) license (http://creativecommons.org/licenses/by/4.0/).
Share and Cite
Liu, Y.; Peng, Y. Study on the Collapse Process of Cavitation Bubbles Including Heat Transfer by Lattice Boltzmann Method. J. Mar. Sci. Eng. 2021, 9, 219. https://doi.org/10.3390/jmse9020219
Liu Y, Peng Y. Study on the Collapse Process of Cavitation Bubbles Including Heat Transfer by Lattice Boltzmann Method. Journal of Marine Science and Engineering. 2021; 9(2):219. https://doi.org/10.3390/jmse9020219
Chicago/Turabian StyleLiu, Yang, and Yong Peng. 2021. "Study on the Collapse Process of Cavitation Bubbles Including Heat Transfer by Lattice Boltzmann Method" Journal of Marine Science and Engineering 9, no. 2: 219. https://doi.org/10.3390/jmse9020219
APA StyleLiu, Y., & Peng, Y. (2021). Study on the Collapse Process of Cavitation Bubbles Including Heat Transfer by Lattice Boltzmann Method. Journal of Marine Science and Engineering, 9(2), 219. https://doi.org/10.3390/jmse9020219
