Field Investigations of Underwater Mounds Formed by Hopper Dredge Discharges in a Coastal Environment
Abstract
:1. Introduction
2. Experimental Site
3. Field Measurements
3.1. Hydrological Observations
3.2. Experimental Tests
4. Results and Discussion
4.1. Flow Features during the Tests
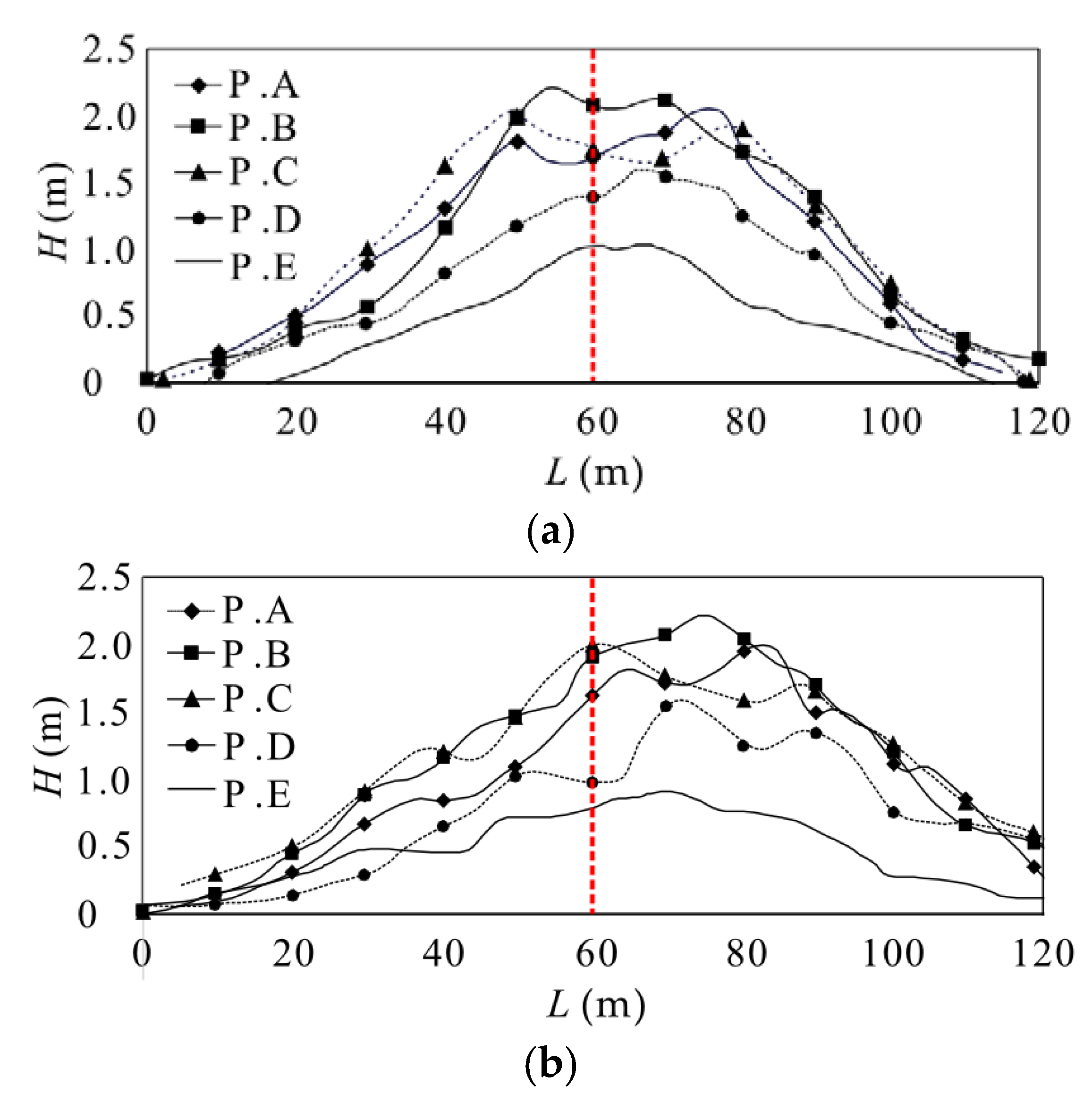
4.2. Morphological Characteristics of One-Time Dumping
4.3. Morphological Characteristics of Second Dumping
4.4. Long-Term Morphology of the Mounds
5. Conclusions
- (1)
- The sediment, which was dumped into water, stirred the flow a lot in both magnitude and direction. During the dumping, a large amount of sediment was released in a short time, leading to strong turbulence in the surrounding water column and, therefore, generating a vertical flow movement. The flow and sediment mixed and interacted with each other, presenting irregularly instant patterns.
- (2)
- The formed mounds were nearly symmetrical in space and had certain randomness in shape. Cone and volcanic cone mound tops were observed. The tidal current, although weak in strength, had an effect on shaping the profiles. The height and covered area of the mounds were proportional to the dumped amount, and they were also affected by the water depth. There existed certain relationships among the mound height, covered area and water depth.
- (3)
- The results of superimposed tests showed that the second placement over the existing mound resulted in a similar overall shape, but there was obvious movement around the mound; additional discharged volumes at the same location mainly increased the height of the mound.
Author Contributions
Funding
Acknowledgments
Conflicts of Interest
References
- Liu, J.; Zhao, D.Z.; Yuan, Y.H. Investigation and Study on Comprehensive Utilization of Dredged Soil. 8th National Academic Seminar on Basic Theories of Sediment; Hohai University Press: Nanjing, China, 2011; pp. 656–660. [Google Scholar]
- Wang, D.; Fan, Q.J. Beneficial use of dredged materials in Japanese ports and typical case study. Port Waterw. Eng. 2009, 12, 6–9. [Google Scholar]
- Nakamura, Y. Current status of subaqueous borrow pits and their restoration in Japan. J. Adv. Mar. Sci. Technol. Soc. 2009, 12, 43–50. [Google Scholar]
- Fu, G.; Zhao, D.Z.; Cheng, H.F. Comparison and analysis of comprehensive utilization of dredged materials at home and abroad. Port Waterw. Eng. 2011, 3, 90–96. [Google Scholar]
- Wang, H.B.; Tang, C.; Lou, F.; Qiao, F. Disposal scheme of dredged material in Yangtze Estuary deepwater navigation channel after 2020. China Harb. Eng. 2017, 10, 29–33. [Google Scholar]
- Massie, W.W. Coastal Engineering: Vol II. Harbor and Beach, 1st ed.; Tu Delft: Delft, The Netherlands, 1976. [Google Scholar]
- Foster, G.A.; Healy, T.R.; De Lange, W.P. Presaging beach renourishment from a nearshore dredge dump mound, Mt. Maunganui beach, New Zealand. J. Coast. Res. 1996, 12, 395–405. [Google Scholar]
- Li, Z.S.; Chen, H.S.; Cao, G.X. Study on sediment movement in Huangbaizui mud-dumping area of Dalian port with radioactive tracer sand. J. Coastal Res. 1990, 7, 10–14. [Google Scholar]
- Wu, J.X.; Zhang, S.Y.; Ren, L.F. Suspended sediment concentration profiles and dispersion patterns under sediment disposal conditions in the Changjiang river estuary. Oceanol. Et Limnol. Sin. 2003, 1, 83–93. [Google Scholar]
- Mathew, J.; Healy, T.R.; Lange, W.P.D. Monitoring of a large inner shelf dump mound offshore Tauranga, New Zealand. In Proceedings of the Combined Australasian Coastal Engineering & Ports Conference, Christchurch, New Zealand, 7–11 September 1997. [Google Scholar]
- Gu, J.; Huang, J.; Li, Z.W. Experimental study on dispersion of instantaneous discharging sediment cloud in cross-flow. Adv. Water Sci. 2008, 4, 83–93. [Google Scholar]
- Chen, D.C.; Tang, Y.D.; Yu, Z.Y. Dispersion of waste mud in dumping ground of Lianyungang harbour and its effects on siltation in outer navigable channel. J. East. China Norm. Univ. (Nat. Sci.) 1998, 2, 69–78. [Google Scholar]
- Pupienis, D.; Zilinskas, G. Specific features of morphodynamic processes in the dumps of the Lithuanian offshore. Baltic 2005, 4, 29–37. [Google Scholar]
- Du Four, I.; Van Lancker, V.R.M. Physical impact of dredged material disposal sites and their recovery after cessation of dumping: A case study in the Belgian coastal zone. Int. Acad. Bus. Econ. 2007, 4, 780–781. [Google Scholar]
- Wienberg, C.; Dannenberg, J.; Hebbeln, D. The fate of dumped sediments monitored by a high-resolution multibeam echosounder system, Weser Estuary, German Bight. Geo-Mar. Lett. 2004, 1, 22–31. [Google Scholar] [CrossRef]
- Wienberg, C.; Hebbeln, D. Impact of dumped sediments on subaqueous dunes, outer Weser Estuary, German Bight, southeastern North Sea. Geo-Mar. Lett. 2005, 25, 43–53. [Google Scholar] [CrossRef]
- Gao, F.; Li, S.; Li, S.Z.; Zhao, P.; Zhang, J. Analysis on coastal evolution characteristics and sediment environment of Colombo Harbor sea beach in Sri Lanka. J. Waterw. Harb. 2015, 2, 105–111. [Google Scholar]
- Ren, L.L.; Liu, X.R. A review of the digital elevation model extraction and digital hydrological modeling. Adv. Water Sci. 2010, 4, 463–469. [Google Scholar]
- AI-Masrahy, M.A.; Mountney, N.P. Remote sensing of spatial variability in aeolian dune and interdune morphology in the Rub’ AI-Khali, Saudi Arabia. Aeolian Res. 2013, 11, 155–170. [Google Scholar] [CrossRef]
- Bhuiyan, F.; Rajaratnam, N.; Zhu, D.Z. An experimental study of mounds formed by dumping coarse sediment in channel flow. J. Hydraul. Res. 2010, 3, 283–291. [Google Scholar] [CrossRef]
- Rajaratnam, N.; Mazurek, K.A. An experimental study of sand deposition from sediment laden water jet. J. Hydraul. Res. 2006, 4, 560–566. [Google Scholar] [CrossRef]
- Flemming, B.W. Zur klassifikation subaquatischer, strömungstrans versaler transPortkörPer. Bochumer Geologische und Geotechnische Arbeiten 1988, 29, 44–47. [Google Scholar]
- Allen, J.R.L. Current Ripples: Their Relation to Patterns of Water and Sediment Motion, 1st ed.; North Holland Publishing Company: Amsterdam, The Netherlands, 1968. [Google Scholar]
- Wewetzer, S.F.K.; Duck, R.W. Bedforms of the middle reaches of the Tay Estuary, Scotland. Int. Assoc. Sediment. Spec. Publ. 1999, 28, 33–41. [Google Scholar]














| Positions | Surface | 0.2 h | 0.4 h | 0.6 h | 0.8 h | Seabed |
|---|---|---|---|---|---|---|
| P.A | 0.12 | 0.08 | 0.13 | 0.13 | 0.08 | 0.03 |
| P.B | 0.20 | 0.18 | 0.17 | 0.13 | 0.07 | 0.06 |
| P.C | 0.16 | 0.08 | 0.12 | 0.11 | 0.07 | 0.03 |
| P.D | 0.08 | 0.02 | 0.02 | 0.03 | 0.03 | 0.06 |
| P.E | 0.18 | 0.12 | 0.16 | 0.12 | 0.12 | 0.08 |
| Samples | Particle Distributions d (mm) | Representative d (mm) | |||||||
|---|---|---|---|---|---|---|---|---|---|
| >2.0 | 0.50−2.0 | 0.25−0.50 | 0.075−0.25 | <0.075 | d10 | d30 | d50 | d60 | |
| 1 | 8.8% | 46.6% | 35.2% | 9.2% | 0.2% | 0.255 | 0.390 | 0.550 | 0.669 |
| 2 | 7.8% | 46.9% | 34.6% | 10.5% | 0.2% | 0.245 | 0.382 | 0.547 | 0.678 |
| Positions | Volume (m3) | h/m | H/m | Averaged S | SI |
|---|---|---|---|---|---|
| P.A | 10,000 | 15 | 2.00 | 1:24.4 | 0.96 |
| P.B | 10,000 | 16 | 1.95 | 1:28.6 | 0.93 |
| P.C | 10,000 | 14 | 2.20 | 1:22.7 | 0.92 |
| P.D | 7000 | 15 | 1.70 | 1:28.3 | 0.94 |
| P.E | 3000 | 15 | 0.93 | 1:67.5 | 0.95 |
| Positions | Volume (m3) | H (m) | (a + b)/2 (m) | ||
|---|---|---|---|---|---|
| Initial | Half-Year | Initial | Half-Year | ||
| P.A | 10,000 | 2.00 | 1.90 | 132 | 135 |
| P.B | 10,000 | 1.95 | 1.84 | 135 | 139 |
| P.C | 20,000 | 3.70 | 3.40 | 180 | 189 |
| P.D | 7000 | 1.70 | 1.61 | 120 | 122 |
| P.E | 3000 | 0.93 | 0.86 | 99 | 102 |
© 2020 by the authors. Licensee MDPI, Basel, Switzerland. This article is an open access article distributed under the terms and conditions of the Creative Commons Attribution (CC BY) license (http://creativecommons.org/licenses/by/4.0/).
Share and Cite
Dai, W.; Ding, W.; Lu, C.; Luo, X.; Xie, Q. Field Investigations of Underwater Mounds Formed by Hopper Dredge Discharges in a Coastal Environment. J. Mar. Sci. Eng. 2020, 8, 395. https://doi.org/10.3390/jmse8060395
Dai W, Ding W, Lu C, Luo X, Xie Q. Field Investigations of Underwater Mounds Formed by Hopper Dredge Discharges in a Coastal Environment. Journal of Marine Science and Engineering. 2020; 8(6):395. https://doi.org/10.3390/jmse8060395
Chicago/Turabian StyleDai, Wenhong, Wei Ding, Chuanteng Lu, Xiaofeng Luo, and Qiancheng Xie. 2020. "Field Investigations of Underwater Mounds Formed by Hopper Dredge Discharges in a Coastal Environment" Journal of Marine Science and Engineering 8, no. 6: 395. https://doi.org/10.3390/jmse8060395
APA StyleDai, W., Ding, W., Lu, C., Luo, X., & Xie, Q. (2020). Field Investigations of Underwater Mounds Formed by Hopper Dredge Discharges in a Coastal Environment. Journal of Marine Science and Engineering, 8(6), 395. https://doi.org/10.3390/jmse8060395

