Effect of Skeg on the Wave Drift Force and Directional Stability of a Barge Using Computational Fluid Dynamics
Abstract
1. Introduction
2. Numerical Calculation
2.1. Computational Method
2.2. Computational Condition
3. Results and Discussion
3.1. Mesh Sensitivity Analysis
3.2. Analysis of Steady Wave Drift Force
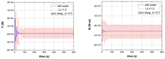
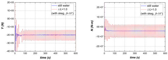
3.3. Static Drift Simulation
3.4. Pure Yaw Simulation
3.5. Analysis of Directional Stability
4. Conclusions
Author Contributions
Funding
Conflicts of Interest
References
- Inoue, S.; Kijima, K.; Doi, M. On the course stability of a barge. Trans. West Jpn. Soc. Nav. Arch. 1977, 54, 193–201. [Google Scholar]
- Chun, H.H.; Kwon, S.H.; Ha, D.D.; Ha, S.U. An experimental study on the course-keeping of an 8,000DWT barge ship. J. Soc. Nav. Arch. Korea 1997, 34, 1–11. [Google Scholar]
- Lee, S.; Lee, S.M. Experimental study on the towing stability of barges based on bow shape. J. Korean Soc. Mar. Environ. Saf. 2016, 22, 800–806. [Google Scholar] [CrossRef]
- Im, N.K.; Lee, S.M.; Lee, C.K. The influence of skegs on course stability of a barge with a different configuration. Ocean Eng. 2015, 97, 165–174. [Google Scholar] [CrossRef]
- Miyazaki, H.; Tsukada, Y.; Ueno, M. Numerical study of hydrodynamic force of manoeuvring motion about different stern form. Proc. Jpn. Soc. Nav. Archit. Ocean Eng. 2008, 7E, 17–18. [Google Scholar]
- Yasukawa, H.; Yoshimura, Y. Introduction of MMG standard method for ship maneuvering predictions. J. Mar. Sci. Technol. 2015, 20, 37–52. [Google Scholar] [CrossRef]
- Hirano, M.; Takashina, J.; Takeshi, K.; Saruta, T. Ship turning trajectory in regular waves. Trans. West Jpn. Soc. Nav. Arch. 1980, 60, 17–31. [Google Scholar]
- Ueno, M.; Nimura, T.; Miyazaki, H. Experimental study on manoeuvring motion of a ship in waves. In Proceedings of the International Conference on Marine Simulation and Ship Manoeuvrability, Kanazawa, Japan, 25–28 August 2003. [Google Scholar]
- Yasukawa, H. Simulation of ship maneuvering in waves (1st report: Turning motion). J. Jpn. Soc. Nav. Arch. Ocean Eng. 2006, 4, 127–136. [Google Scholar] [CrossRef][Green Version]
- Yasukawa, H. Simulation of ship maneuvering in waves (2nd report: Zig-zag and stopping maneuvers). J. Jpn. Soc. Nav. Arch. Ocean Eng. 2008, 7, 163–170. [Google Scholar] [CrossRef][Green Version]
- Kim, D.J.; Yun, K.H.; Park, J.Y.; Yeo, D.J.; Kim, Y.G. Experimental investigation on turning characteristics of KVLCC2 tanker in regular waves. Ocean Eng. 2019, 175, 197–206. [Google Scholar] [CrossRef]
- Tello Ruiz, M.; Mansuy, M.; Delefortrie, G.; Vantorre, M. Modelling the manoeuvring behaviour of an ULCS in coastal waves. Ocean Eng. 2019, 172, 213–233. [Google Scholar] [CrossRef]
- Skejic, R.; Faltinsen, O.M. A unified seakeeping and maneuvering analysis of ships in regular waves. J. Mar. Sci. Technol. 2008, 13, 371–394. [Google Scholar] [CrossRef]
- Seo, M.G.; Kim, Y. Numerical analysis on ship maneuvering coupled with ship motion in waves. Ocean Eng. 2011, 38, 1934–1945. [Google Scholar] [CrossRef]
- Zhang, W.; Zou, Z.J.; Deng, D.H. A study on prediction of ship maneuvering in regular waves. Ocean Eng. 2017, 137, 367–381. [Google Scholar] [CrossRef]
- Chillcce, G.; el Moctar, O. A numerical method for manoeuvring simulation in regular waves. Ocean Eng. 2018, 170, 434–444. [Google Scholar] [CrossRef]
- Tezdogan, T.; Demirel, Y.K.; Kellett, P.; Khorasanchi, M.; Incecik, A.; Turan, O. Full-scale unsteady RANS CFD simulations of ship behaviour and performance in head seas due to slow steaming. Ocean Eng. 2015, 97, 186–206. [Google Scholar] [CrossRef]
- Sung, Y.J.; Park, S.H. Prediction of ship manoeuvring performance based on virtual captive model tests. J. Soc. Nav. Arch. Korea 2015, 52, 407–417. [Google Scholar] [CrossRef]
- International Towing Tank Conference (ITTC). Practical guidelines for ship CFD applications. In Proceedings of the 26th ITTC, Rio de Janeiro, Brazil, 28 August–3 September 2011. [Google Scholar]
- User Guide STAR-CCM+; Version 10.02; CD-Adapco: Melville, NY, USA, 2015.
- Kim, H.; Akimoto, H.; Islam, H. Estimation of the hydrodynamic derivatives by RaNS simulation of planar motion mechanism test. Ocean Eng. 2015, 108, 129–139. [Google Scholar] [CrossRef]
- Park, S.H.; Oh, G.H.; Rhee, S.H.; Koo, B.Y.; Lee, H.S. Full scale wake prediction of an energy saving device by using computational fluid dynamics. Ocean Eng. 2015, 101, 254–263. [Google Scholar] [CrossRef]
- Demirel, Y.K.; Turan, O.; Incecik, A. Predicting the effect of biofouling on ship resistance using CFD. Appl. Ocean Res. 2017, 62, 100–118. [Google Scholar] [CrossRef]
- Celik, I.B.; Ghia, U.; Roache, P.J.; Freitas, C.J.; Coleman, H.; Raad, P.E. Procedure for estimation and reporting of uncertainty due to discretization in CFD applications. J. Fluids Eng. 2008, 130, 078001-1-4. [Google Scholar]
- Lyu, W.; el Moctar, O. Numerical and experimental investigations of wave-induced second order hydrodynamic loads. Ocean Eng. 2017, 131, 197–212. [Google Scholar] [CrossRef]
- Hizir, O.; Kim, M.; Turan, O.; Day, A.; Incecik, A. Numerical studies on non-linearity of added resistance and ship motions of KVLCC2 in short and long waves. Int. J. Nav. Arch. Ocean. Eng. 2019, 11, 143–153. [Google Scholar] [CrossRef]
- Faltinsen, O.M. Sea Loads on Ships and Offshore Structures; Cambridge University Press: Cambridge, UK, 1998. [Google Scholar]
- Lewis, E.V. Principles of Naval Architecture, 2nd ed.; The Society of Naval Architects and Marine Engineers: Jersey City, NJ, USA, 1989. [Google Scholar]
- International Towing Tank Conference (ITTC). The manoeuvring committee—final report and recommendations to the 23rd ITTC. In Proceedings of the 23rd ITTC, Venice, Italy, 8–14 September 2002. [Google Scholar]





















| Description | Full Scale |
|---|---|
| Length between perpendiculars, L (m) | 91.5 |
| Breadth, B (m) | 27.5 |
| Draft, T (m) | 4.0 |
| Volume, (m3) | 10,846.0 |
| Block coefficient, CB | 0.923 |
| Length of skeg, Ls (m) | 12.810 |
| Breadth of skeg, Bs (m) | 1.375 |
| Height of skeg, Hs (m) | 3.766 |
| Static Drift Simulation | |||||
| Drift Angle, | Wavelength, | Wave Amplitude, | Hydrodynamic Derivatives | ||
| (-) | (deg) | (L) | (m) | (-) | |
| 0.12 | 5, 10, 15 | 0.5, 1.0, 1.5 | 0.5 | , | |
| Pure Yaw Simulation | |||||
| Angular | Lateral | Wave- | Wave | Hydrodynamic | |
| Velocity, | Displacement | length, | Amplitude, | Derivatives | |
| (-) | (-) | (m) | (L) | (m) | (-) |
| 0.12 | 0.1, 0.3, 0.5 | 100.0 | 0.5, 1.0, 1.5 | 0.5 | , |
| Mesh Configuration | Total No. of Cells |
|---|---|
| Coarse | 894,673 |
| Medium | 1,549,265 |
| Fine | 3,542,882 |
| Y (N) | N (N·m) | |
|---|---|---|
| −78,122.5 | −3,206,399.7 | |
| −79,280.9 | −3,244,955.9 | |
| −82,076.5 | −3,290,778.9 | |
| 0.414 | 0.841 | |
| 2.542 | 0.498 | |
| −77,302.9 | −3,001,826.2 | |
| 3.53% | 1.41% | |
| 2.56% | 8.09% | |
| 3.12% | 9.37% |
| Without Skeg | With Skeg | |
|---|---|---|
| 0.07768 | 0.08098 | |
| −0.13355 | −0.13915 | |
| −0.03873 | −0.02914 |
Publisher’s Note: MDPI stays neutral with regard to jurisdictional claims in published maps and institutional affiliations. |
© 2020 by the authors. Licensee MDPI, Basel, Switzerland. This article is an open access article distributed under the terms and conditions of the Creative Commons Attribution (CC BY) license (http://creativecommons.org/licenses/by/4.0/).
Share and Cite
Lee, C.; Lee, S. Effect of Skeg on the Wave Drift Force and Directional Stability of a Barge Using Computational Fluid Dynamics. J. Mar. Sci. Eng. 2020, 8, 844. https://doi.org/10.3390/jmse8110844
Lee C, Lee S. Effect of Skeg on the Wave Drift Force and Directional Stability of a Barge Using Computational Fluid Dynamics. Journal of Marine Science and Engineering. 2020; 8(11):844. https://doi.org/10.3390/jmse8110844
Chicago/Turabian StyleLee, Chunki, and Sangmin Lee. 2020. "Effect of Skeg on the Wave Drift Force and Directional Stability of a Barge Using Computational Fluid Dynamics" Journal of Marine Science and Engineering 8, no. 11: 844. https://doi.org/10.3390/jmse8110844
APA StyleLee, C., & Lee, S. (2020). Effect of Skeg on the Wave Drift Force and Directional Stability of a Barge Using Computational Fluid Dynamics. Journal of Marine Science and Engineering, 8(11), 844. https://doi.org/10.3390/jmse8110844
