Abstract
Prediction of the spatial configuration of the umbilical cable during deep-sea mining in-situ tests is of great significance because dynamic change may cause the umbilical cable to touch the ground or overturn the mining vehicle. In the present paper, a real-time prediction method for the dynamic spatial configuration of the umbilical cable during the deep-sea mining process is proposed. At first, the environmental information, position and motion of the vessel–umbilical cable–mining system were collected by sensors arranged at different locations. Then, the data were converted and transformed to the local vessel coordinate system. After that, the commercial software OrcaFlex was employed to conduct real-time simulation, in which the spatial configuration of the umbilical cable was predicted by the lumped mass method. Furthermore, the proposed real-time simulation method was employed in a sea trial test of deep-sea mining in an area with a water depth of 1100 m. Comparing the prediction results with the trajectory of the USBL beacon obtained from the monitoring data, the maximum distance of some specific points was close to 5 m, and most of them were less than 3 m. Meanwhile, it could also give the dynamic responses of the deep-sea mining system. For example, the maximum top tension of the umbilical cable was less than 15 kN, which could be used to evaluate the health condition of the system. During the sea trial test, the proposed method played an important role in ensuring the safety of the umbilical cable during wide-range movement of the mining vehicle. With characteristics of good real-time performance, accurate prediction, high reliability and stability, the proposed method could enhance the confidence of engineers for on-site operation as a powerful digital tool for visualization of the subsea working state.
1. Introduction
The ocean is rich in mineral resources, especially in the deep-sea area. There are a large number of undeveloped polymetallic minerals, such as polymetallic nodules, polymetallic sulfides and cobalt-rich crusts [1,2,3]. Deep-sea mining is considered to be an effective way to alleviate the shortage of rare mineral resources. In particular, the grade of economically valuable metal elements (Cu, Zn, Au, Ag) in SMS (Seafloor Massive Sulfide) is much higher than that of land-based volcanic massive sulfide [4]. In recent years, deep-sea mining in-situ tests have made remarkable progress [5]. A deep-sea mining in-situ test system, shown in Figure 1, consists of a support vessel, an umbilical cable and a mining vehicle. The umbilical cable connects the support vessel and the mining vehicle, carrying out multiple tasks of power supply, communication and control. The reliability of the umbilical cable directly affects the safety of the mining process, and is of great significance to the whole deep-sea mining system [6,7].
Figure 1.
The configurations of the umbilical cable as the payout length increases.
However, the marine environment is harsh, especially in deep-sea areas. The umbilical cable might face a variety of problems during the mining process, such as high external pressure, corrosion and complex hydrodynamic effects. Common failure modes include mechanical damage, corrosion, and fatigue [8,9]. Any of them can lead to power outages, loss of data transmission, or equipment control failures, which have a serious impact on mining operations. It should be mentioned that the connection between the mining vehicle and the vessel was interrupted because of damage to the umbilical cable during a deep-sea mining test in 2019 conducted by the company Global Sea Mineral Resources (GSR) in the Clarion–Clipperton fault zone [10]. This incident exposed the vulnerability of umbilical cables under ocean environments and highlighted the importance of real-time monitoring and mechanical analysis of umbilical cables under ocean environments.
As for the global dynamic response of slender cables and pipes in ocean environments, there are a lot of excellent studies. Song et al. [11] compared the catenary configuration and lazy-wave configuration of deep-sea umbilical cables. It was found that the lazy-wave configuration could help reduce the effective tension while also reducing dynamic interference by the top vessel body and wave motion on the umbilical cable. Gnanaraj et al. [12] studied the main stages of mining vehicles entering the water, deploying, touching the seabed, lifting and exiting the water. According to the standard DNV-RP-H103 [13], the three-dimensional drag coefficients and additional mass coefficients of aramid umbilical cables were calculated. Furthermore, the tension of umbilical cables under the action of regular and random waves during the stages of entering water, deploying, and lifting was compared. Zhu et al. [14] proposed a simplified engineering formula that only considers three translational degrees of freedom for each node to predict the configuration of umbilical cables. It was found that instantaneous tension would cause damage to the umbilical cables. Yang et al. [15] simulated the dynamic response of umbilical cables during the deployment and retrieval of deep-sea mining vehicles by using OrcaFlex. The effects of free-hanging boundary conditions at the bottom and random wave loads at the top end were considered. Xu et al. [16] established a geometric nonlinear model of hydraulic lifting pipelines based on the principle of virtual work. The effects of the position of the mining vehicle, the current velocity and waves on spatial, bending stress, and node forces were studied. In addition, solid–liquid two-phase flow was also considered. Wang et al. [17] studied the three-dimensional transient characteristics of mining pipe during the deployment and towing operations of a 1000 m sea trial project by using the finite element method. A towing water tank test was conducted to verify the accuracy of the finite element model and dynamic simulation. Chung and Felippa [18,19] simulated the axial, bending, and torsional deformation of pipelines under marine environmental loads in the deep-sea mining process by using a three-dimensional beam element in finite element mode. Numerical analysis was conducted on the nonlinear static equilibrium configuration of deep-sea mining system pipelines, and the relationship between drag coefficient and Reynolds number was studied. Chen et al. [20] studied the influence of design parameters such as buoyancy module installation position, buoyancy ratio, and mining vehicle motion on the configuration and dynamic response of flexible risers based on a saddle-shaped riser configuration. It was found that the installation position and buoyancy ratio of buoyancy modules had a significant impact on the configuration of flexible risers, and the saddle-shaped configuration had good adaptability to bottom-end excitation.
For the deep-sea in-situ mining system studied in the present paper, as shown in Figure 1, the umbilical cable connects the support vessel and the mining vehicle. It has functions including power supply, data transmission and bearing loads. However, the umbilical cable is mostly submerged below the water surface and might extend for thousands of meters, making it difficult to obtain a comprehensive view of its configuration through camera or other technical means. As mentioned before, if the umbilical cable breaks, it would lead to a serious accident. Therefore, during a sea trial test, the manipulation of the umbilical cable must be carried out with great caution. After the mining vehicle lands on the seabed, the length of the umbilical cable should be adjusted according to the horizontal distance between the mining vehicle and the support vessel. When the horizontal distance is large and the length of the umbilical cable is short, for a steep wave configuration, there is no sag bend section as shown in Figure 1. At this time, the mining vehicle might be dragged down by the umbilical cable when it continues moving forward. As the umbilical cable is released, when the horizontal distance is small and the length of the umbilical cable is large, for the steep wave configuration, the sag bend section has a great possibility to touch the seabed. It is also dangerous because the outer sheath of the umbilical cable might be worn out by stones on the seabed. Because of this, real-time monitoring and prediction of the dynamic spatial configuration is of great significance to ensure the safety of the umbilical cable during deep-sea mining.
This paper focuses on the real-time prediction of the dynamic spatial configuration of umbilical cables during the in-situ deep-sea mining process. In the present paper, a framework of a real-time simulation method to predict the dynamic spatial configuration of the umbilical cable is proposed. It includes a design for sensor arrangement and a real-time simulation method. At first, data acquisition was conducted with different sensors. Then, the data were inputted to the simulation model, which was based on the theory of lumped mass method. The three-dimensional spatial configuration could be predicted because the lumped mass method could efficiently give the three-dimensional coordinates of nodes. The real-time prediction method was applied in a sea trial test in an area with a water depth of 1100 m. A USBL (ultra-short baseline beacon) was installed at the top end of the bending restrictor, which was close to the bottom of the umbilical cable. The trajectory of the USBL beacon verified the prediction of the spatial configuration, and the results were satisfactory.
2. Mathematical Formulation of the Vessel-Umbilical-Vehicle System
In the present paper, real-time simulation was conducted based on the lumped mass method. The real-time simulation was based on the following assumption:
- The stiffness of the umbilical cable is assumed to remain consistent with that measured in the laboratory and to not change during transportation and installation.
- All the data collected from the monitoring equipment are accurate and reliable.
- The connections between the umbilical cable and mining vehicle and the umbilical cable and vessel could be considered as stiff springs.
2.1. Umbilical Cable Model
As shown in Figure 2, the umbilical cable is modeled as a series of lumped mass nodes, which are connected by linear springs, with rotational springs employed to model the bending stiffness of the system. Figure 2 shows three nodes connected to elements j and k, with the three-dimensional displacements of the nodes represented as y1, y2 and y3.
Figure 2.
The mathematical model.
The elastic force T1q acting on node 1 in the q direction is given as follows [21]:
where Lj denotes the original element length, EA is the axial stiffness and q is 1, 2 or 3, corresponding to global Cartesian coordinates x, y or z.
The extensional tangent stiffness matrix for node 1 is represented as , with its entries defined as follows [22]:
where represents the Kronecker delta. It can be easily demonstrated that the stiffness matrix for element j is expressed as [23]:
The tangent bending stiffness matrix and the bending moments are given as follows [24]:
wherein,
where is the mean value of θ, is the dynamic part of , EI is the flexural rigidity of the system and is a vector of influence coefficients, which is defined as follows [21]:
where and are defined as follows:
By combining Equations (1), (2), (4) and (5), the elastic forces in the umbilical cable and the associated tangent stiffness matrix entities can be obtained. The complete tangent stiffness matrix is defined as the total of the axial and bending contributions, which is designated here as .
The mass matrix of the umbilical cable consists of the structural mass matrix and the added mass matrix . The structural mass matrix is diagonal, lumping the structural mass onto the various nodes; is listed as follows:
where I is the identity matrix.
2.2. Wave Forces on the Umbilical Cable
The wave forces are calculated by applying Morison’s equation. As shown in Figure 2, the drag forces from elements j and k are concentrated at the middle node as follows [21,25,26,27]:
wherein,
where D is the outer diameter of the umbilical cable, and and are the normal and tangential drag coefficients. According to open literature [28], the drag coefficients were taken to be 1.2. is the current velocity, u is fluid particle velocity in linear wave theory, r represents the local relative velocity of the fluid with respect to the cable, which only considers the effect of waves, while Vr is relative fluid velocity considering the effect of both waves and currents.
The inertia forces are defined as follows [21]:
where is the normal added mass coefficient, and is the tangential added mass coefficient.
For the vessel, the wave forces were calculated and the details can be found in the open literature [21]. The connections between the vessel and the umbilical cable, the umbilical cable and the mining vehicle were achieved through a set of stiff springs and the details can also be found in the open literature [21].
2.3. Modelling of the Deep-Sea Mining System
Real-time simulation was conducted with the commercial software OrcaFlex due to its high efficiency in solving problems related to long slender rods under marine environments. As shown in Figure 3, the global configuration of the umbilical cable is designed in a steep wave shape. The hanging point of the umbilical cable is at the stern winch of the support vessel, 15 m above the water surface. The bottom of the umbilical cable is connected to the mining vehicle via a joint. The connection includes a 17 m long bending restrictor. The umbilical cable and the bending restrictor were modelled by line elements; the support vessel and the mining vehicle were modelled by vessel elements. For the mining vehicle, the motion information was defined and the wave forces were not calculated.
Figure 3.
Schematic of the vessel–umbilical cable–mining vehicle system.
Real-time numerical simulation was controlled with a self-developed Python program. The program has three layers, which are as follows:
- Layer 1—Control Layer: This layer has the function of collecting the monitored position and motion information of the vessel and the mining vehicle, and the real-time environmental information. Additionally, it also controls the start and end of every simulation case.
- Layer 2—Transformation Layer: The monitored position and motion information, the environmental information are processed and transformed into the vessel–mining vehicle local coordinate system. Detailed transformation will be described in Section 2.4.
- Layer 3—Computation Layer: The monitored data are inputted into OrcaFlex and used to build the numerical model. Under the control of layer 1, the real-time simulation starts.
During the whole in-situ mining process, the maximum simulation time for a single case was less than 120 s. In the present paper, according to the simulation requirement, for the vessel-umbilical cable-mining vehicle system, the real-time motion information of the support vessel, umbilical cable, and mining vehicle, along with the wave and current environmental data were collected by different sensors. The motion information of the support vessel includes its GPS location, heading, and speed. As for the motion information of the mining vehicle, it includes longitude and latitude, speed and heading. The monitored information of the umbilical cable is the real-time cable length. The environmental information includes wave height, wave direction, and wave period, as well as the velocity and direction of the current.
2.4. Transformation of Coordinate System
In the OrcaFlex model, the positions of the support vessel and the mining vehicle are determined by inputting the relative distance between them, rather than directly inputting the support vessel and mining vehicle position information obtained from the monitoring system. The monitoring data referenced in the geodetic coordinate system need to be converted into the coordinate system of the OrcaFlex software. This involves redefining the coordinate values and directions of the monitoring data.
In OrcaFlex software, as shown in Figure 4, the direction is defined with anticlockwise as positive in a right-hand coordinate system.
Figure 4.
Definition of the global coordinate system in OrcaFlex.
However, the monitoring data were under a left-hand coordinate system, where the positive direction was typically defined with north being 0° and the clockwise direction being positive.
In the present paper, a local vessel coordinate system is defined as shown in Figure 5. The local vessel coordinate system was established in the OrcaFlex model with the center of gravity of the vessel as the origin. The bow was defined as 0°. The direction parallel to the longitudinal axis of the vessel was designated as the x-axis, while the direction perpendicular to the longitudinal axis was designated as the y-axis, as shown in Figure 5. For the OrcaFlex model, a key issue is how to obtain the correct directions of variables and the position of the mining vehicle in the local vessel coordinate system using monitoring data. The following gives the specific derivation.
Figure 5.
The local vessel coordinate system.
The current direction, heading of the vessel, and heading of the mining vehicle obtained by sensors were clockwise. For the local vessel coordinate system, as shown in Figure 4 and Figure 5, the positive direction is anti-clockwise. Because of this, they should be adjusted as follows:
In Equation (17), θ represents the direction obtained from the monitoring sensors, while denotes the monitoring data in the geodetic coordinate system (North-O-West coordinate system, as shown in Figure 5).
After that, the wave direction, as well as the current direction and the heading of the mining vehicle should be transformed from the geodetic coordinate system to the local vessel coordinate system.
In Equation (18), denotes their directional values in the local vessel coordinate system, while represents the heading of the support vessel.
This next step is to determine the coordinates (xB,yB) of the mining vehicle (Point B) in the local vessel coordinate system. To achieve this goal, the relative horizontal distance d2 between the center of gravity of the vessel and the mining vehicle is calculated as the intermediate variable:
In Equation (19), (xvehicle,yvehicle) are the coordinates of the vehicle in the geodetic coordinate system (North-O-West coordinate system).
Then, the coordinates of the mining vehicle (Point B) in the local vessel coordinate system can be expressed as:
In Equation (20), represents the heading of the support vessel, and denotes the angle between the heading of the mining vehicle and the west direction. The calculation formula is as follows:
3. Deep-Sea Mining Sea Trial Test
The deep-sea mining sea trial test was conducted in an area with a water depth of 1100 m. The mining system consisted of a vessel, an umbilical cable, and a mining vehicle. During the sea trial test, the proposed real-time simulation method had good performance in predicting the dynamic spatial configuration of the umbilical cable. This method provided a digital way to make the configuration of the umbilical cable visualizable in real time, which could be used to guide the engineers to manipulate the mining vehicle and the deployment of the umbilical cable. It enhanced the confidence of engineers greatly.
3.1. Main Parameters of the Vessel–Umbilical Cable–Mining Vehicle System
The surface support vessel for deep-sea mining was a multipurpose saturation diving support vessel. The vessel had an overall length of 142.9 m, a beam of 27 m, and a maximum draft of 8 m. It had a Dynamic Positioning (DP) class of DP 3. The main parameters of the support vessel are shown as follows (Table 1):
Table 1.
Parameters of the surface support vessel.
The umbilical cable was aramid-armored. It consisted of two parts: the umbilical cable and the float section. The float section included a buoyancy bend limiter with a length of 17 m. The stiffness and other parameters of the umbilical cable are listed in Table 2. The length of the mining vehicle was 7.8 m, and the width and height were 3.8 m and 3 m, respectively.
Table 2.
Parameters of the umbilical cable.
3.2. Sensor Arrangement
During the sea trial test, the maximum depth of the vehicle was 1069.61 m and the maximum release length of the umbilical cable was 1125.04 m. When the mining vehicle touched the seabed, operators on the vessel continued to release the umbilical cable to enlarge the operation range of the mining vehicle. After that, the umbilical length would not extend or change any further until the mining vehicle was retrieved. During the sea trial test, as shown in Figure 6, various sensors were installed on both the vessel and the mining vehicle to monitor the operational conditions. The sensors installed on the system are listed as follows:
Figure 6.
Diagram of the sensor arrangement.
- GNSS antenna was installed on the afterdeck of the vessel to obtain the longitude and latitude of the vessel.
- Gyrocompass and log were used to obtain the heading and the speed of the vessel.
- One USBL beacon was installed on the mining vehicle to obtain the longitude and latitude of the vehicle.
- Inertial Navigation System was installed on the mining vehicle to obtain the speed and heading of the vehicle.
- Another USBL beacon was installed on the umbilical cable to obtain the trajectory of a fixed position and to verify the accuracy of the real-time prediction method. The position was 17 m from the end of the umbilical cable.
- The real-time umbilical cable length was obtained by the sensors installed on the winch.
- ADCP (Acoustic Doppler Current Profiler) was installed in the moonpool of the vessel to obtain the current speed and current direction.
- Wave-measuring radar was installed on the railings at the bow of the vessel.
4. Results and Discussion
4.1. Data Acquisition
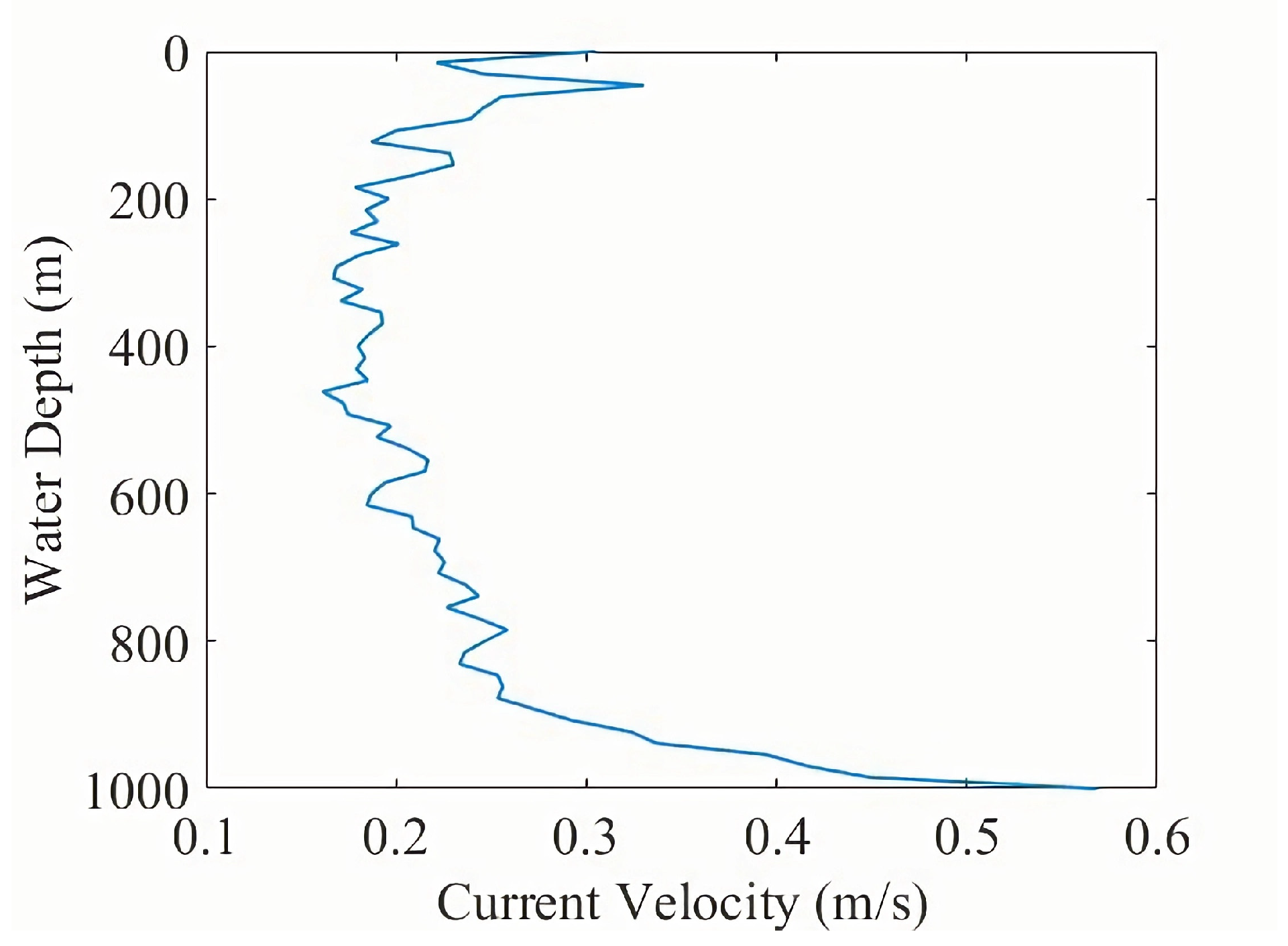
During the sea trial test, the data monitored by sensors were successfully collected. As shown in Figure 7 and Figure 8, the wave height and wave direction were collected by the wave-measuring radar. The wave height was between 0 and 3.0 m, the average wave height was 1.6 m, and the wave periods were between 3 and 7 s. The wave direction relative to the bow was close to 180°, which means the wave direction was from the bow to the stern. The current velocity profile is shown in Figure 9. The maximum surface velocity was 0.32 m/s. There existed a blind zone for ADCP when the water depth was close to the seabed. Because of this, the current velocity is not accurate when the water depth is close to the seabed.
Figure 7.
Wave height.
Figure 8.
Wave direction.
Figure 9.
Current profile.
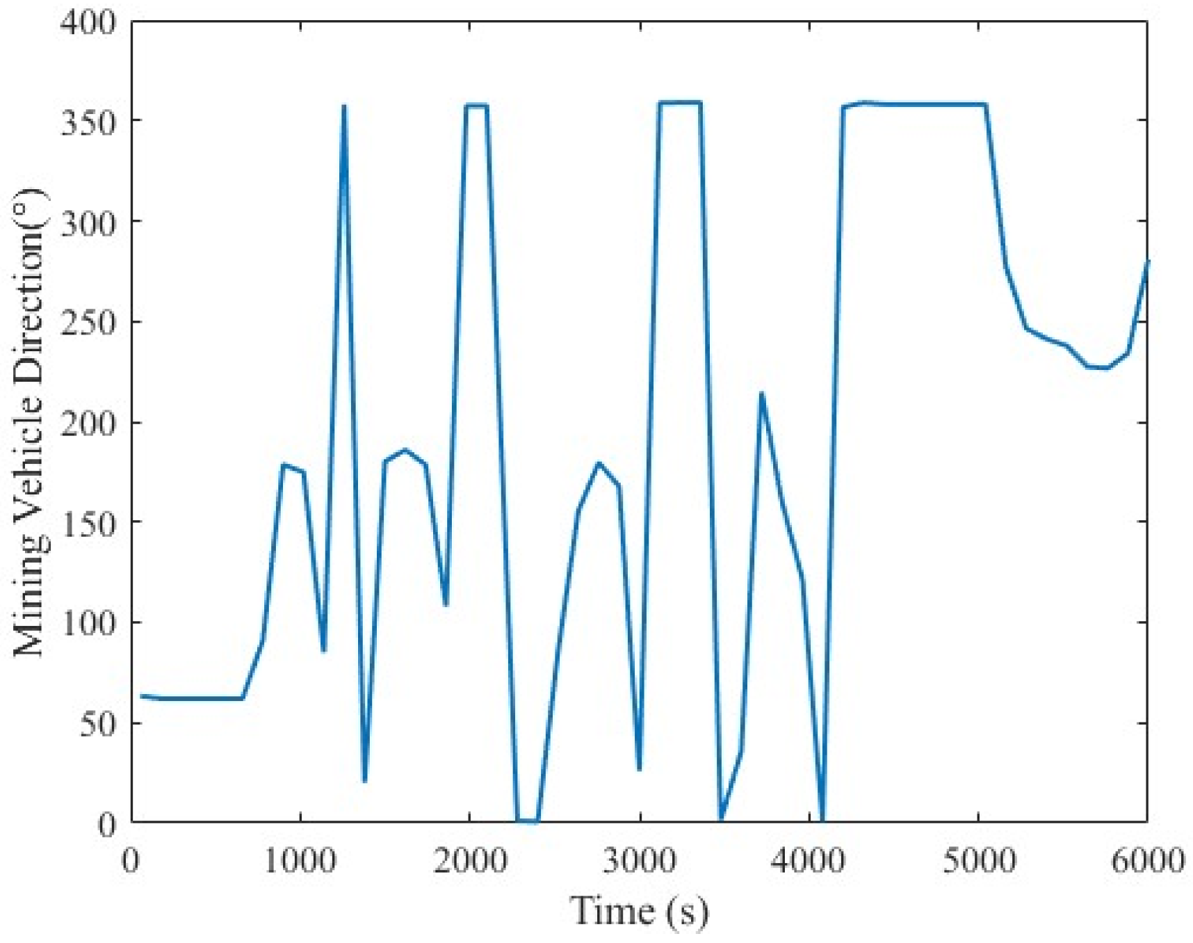
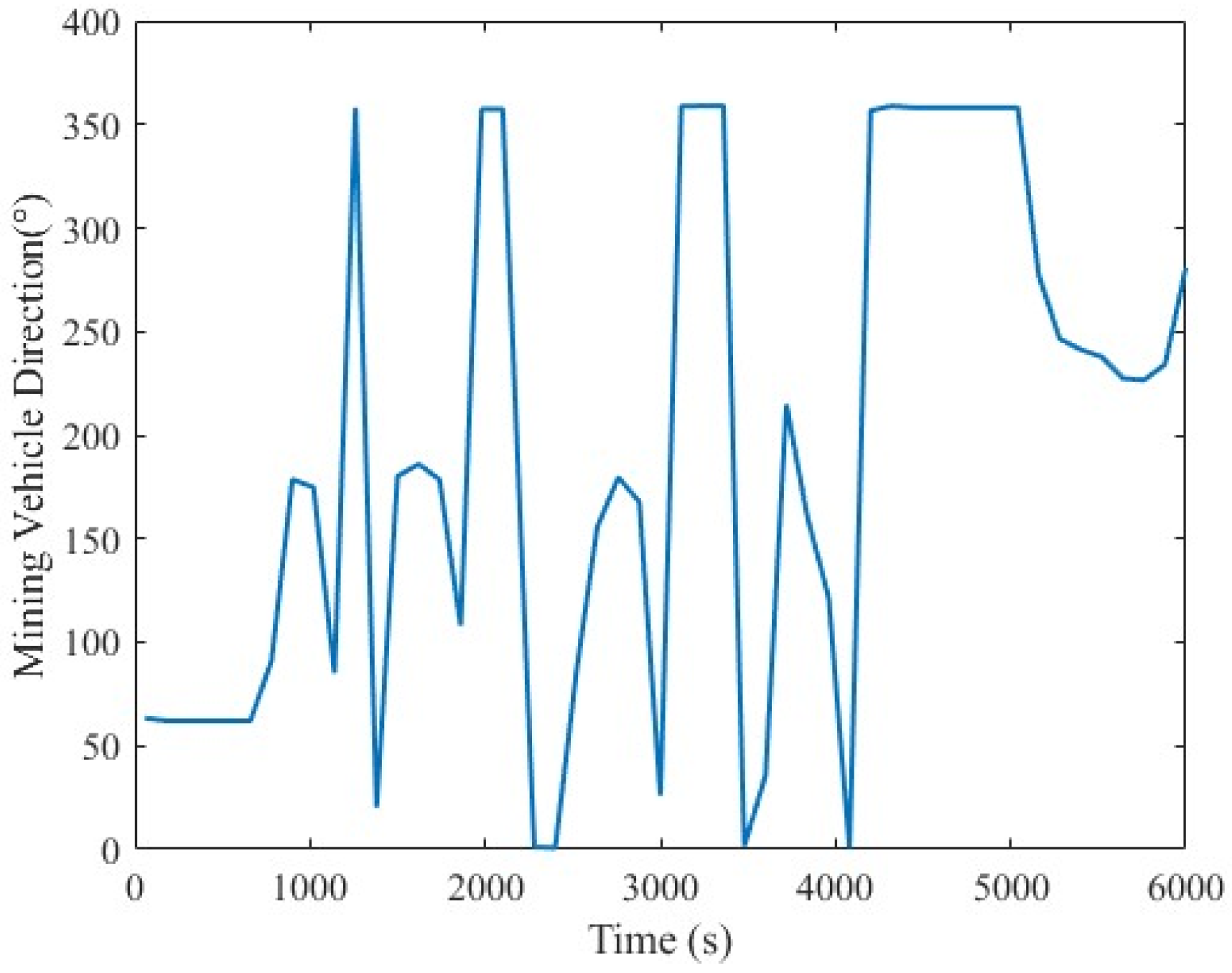
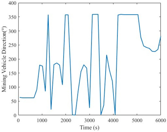
The trajectory of the vessel during the sea trial test is shown in Figure 10, and the trajectory of the mining vehicle is shown in Figure 11. As the location of the work site is also commercially confidential, the latitude and longitude are not displayed. For the vessel, the distance in the north–south direction was close to 8.07 m and the distance in the east–west direction was 104.47 m when the mining vehicle moved on the seabed. The heading of the vessel was 250° and the vessel always kept the bow facing the waves. Figure 10 illustrates that the vessel maintained a relatively stable trajectory with minor deviations in the north–south direction. For the mining vehicle, the trajectory was U-shaped, and the range was 52.08 m × 96.79 m. Figure 11 shows that the mining vehicle followed a zigzag path, indicating its movement strategy during operation. The direction of the mining vehicle was relative to the north direction and changed with movement, as depicted in Figure 12, which presents the variation in the heading angle over time. The maximum speed during the walking period was 0.35 m/s, as shown in Figure 13, where the speed fluctuated significantly.
Figure 10.
The trajectory of the vessel.
Figure 11.
The trajectory of the vehicle.
Figure 12.
The direction of the mining vehicle.
Figure 13.
The speed of the mining vehicle.
4.2. Verification of the Dynamic Configuration Prediction
As shown in Figure 6, a USBL beacon was bonded to the umbilical cable to monitor the motion of the umbilical cable at the sensor location. As shown in Figure 14, the black line is the trajectory of the USBL beacon predicted by the real-time simulation method, while the red line is the monitoring data collected from the USBL beacon. Figure 14 illustrates the comparison between the simulated trajectory and the actual trajectory of the USBL beacon. The trajectory of the USBL beacon predicted by the simulation method agrees well with the trajectory monitored by the USBL beacon. When the mining vehicle walked on the seabed, the vessel also moved. As listed in Table 3, the positions are in the vessel–mining vehicle local coordinate system. For some specific points on the trajectories in Figure 14, the maximum distance was close to 5 m, and most of them were less than 3 m. This verified the accuracy and reliability of the real-time simulation results.
Figure 14.
Comparison between the trajectories of the mining vehicle and the USBL beacon on the umbilical cable.
Table 3.
Comparison of USBL positions obtained by simulation and sensors.
As shown in Figure 15 and Figure 16, the largest horizontal distance between the end of the vessel and the vehicle was 61.50 m. As shown in Figure 16, the yellow dot represents the position monitored by the USBL. It is obvious that the monitoring result was close to the configuration predicted by the real-time simulation. The distance from the USBL beacon to the predicted spatial configuration is less than 1 m in the top view. As for the depth information of the USBL beacon, it has a difference close to 10 m, which cannot be used to verify the prediction results. As shown in Figure 17, the yellow square represents the monitored position of the USBL beacon. For different time points, it can clearly be seen that the configuration prediction results also coincide well with the positions of the USBL beacon on the umbilical cable.
Figure 15.
The largest horizontal distance between the end of the vessel and the mining vehicle.
Figure 16.
Comparison between the predicted configuration and the monitoring location of the beacon when the horizontal distance was largest.
Figure 17.
Comparison between the predicted configuration and the monitoring location of the USBL beacon at different moments.
During the movement of the mining vehicle, the proposed real-time simulation method could give an accurate prediction of the configuration of the umbilical cable. It can be verified by the data of the USBL beacon. The umbilical cable is ultra-slender, and its global configuration could not be observed straightforwardly because most of it was underwater. Because of this, the prediction played an important role in enhancing the confidence of the engineers in their on-site operations.
4.3. Load-Bearing State Analysis
In addition to predicting the global configuration, the real-time simulation could also provide a relevant dynamic response prediction of the deep-sea mining system, which can be used to evaluate the health condition of the vessel–umbilical cable–mining vehicle system.
As shown in Figure 18, the tension of the umbilical cable would decrease as the arclength of the umbilical cable increased. The maximum tension occurred at the top hanging point. When the mining vehicle walked on the seabed, the top tension of the umbilical cable was less than 15 KN. Meanwhile, during the process of the mining vehicle walking on the seabed, the maximum curvature occurred at the top end of the bending restrictor, as shown in Figure 19. The maximum value was 0.38 m−1, which was less than the allowable value of 0.7 m−1.
Figure 18.
The maximum and minimum effective tension along the umbilical length during the sea trial test.
Figure 19.
The maximum curvature along the umbilical length during the sea trial test.
When a mining vehicle walks on the seabed, the umbilical cable might pull down the mining vehicle. The mining vehicle might overturn along the right/left side or front/back side. Because of this, the overturning moments along the longitudinal and lateral sides should be predicted and evaluated. During a sea trial test, real-time overturning moments could also be calculated by multiplying the connection force components with the corresponding length of the moment arm. As shown in Figure 20, the maximum longitudinal and lateral overturning moments were less than 3 kN·m, which are much lower than the allowable value of 101 kN·m and 76 kN·m. This indicates that the umbilical cable was in a slack state at the connection point between the mining vehicle and the umbilical cable, and also suggests that the cable had good compliance with the movement of the mining vehicle. For the mining vehicle, this is beneficial for collecting ores on the seabed and avoiding obstacles. According to the predicted results, it can be concluded that the mining vehicle walked steadily during the test.
Figure 20.
The overturning moments of the mining vehicle during the sea trial test.
5. Conclusions
In the present paper, a real-time prediction method for dynamic spatial configuration is proposed. It combines sensors and real-time simulation. At first, sensors were used to obtain environmental information and the position and motion of a vessel–umbilical cable–mining vehicle system. Then, the data obtained by different sensors were transformed to the local vessel coordinate system. After that, the lumped mass method was used to predict the spatial configuration of the umbilical cable through the commercial software OrcaFlex. This real-time prediction method was applied in a deep-sea mining trial test with a water depth of 1100 m, which showed a satisfactory result. The following conclusions were obtained:
- (1)
- The global configuration of the ultra-slender umbilical cable could not be observed directly because most of it was underwater. The proposed method could give an accurate prediction of the global configuration. Compared with the trajectory obtained by the USBL beacon that was installed on the umbilical cable, the predicted results agreed well. With this good predicted configuration of the umbilical cable, this method could provide guidance on releasing/retrieving the cable and operating the mining vehicle while avoiding suffering excessive bending damage or touching the seabed. It ensured the safety of the vessel–cable–mining vessel system during the movement of the mining vehicle.
- (2)
- The sensors and data transmission network were stable and reliable. This ensures the smooth acquisition of environmental information and the motion information of the vessel–umbilical cable–mining vehicle system during the test.
- (3)
- The effective tension and curvature of the umbilical cable and the overturning moments of the mining vehicle could be predicted in real time. The results showed that the mining vehicle walked steadily during the test.
According to the sea trial test, this real-time prediction method is a practical tool to help engineers and operators make decisions on vehicle walking and releasing the umbilical cable. During the sea trial test, it provided an intuitive view of the current spatial configuration and working status of the umbilical cable for on-site engineers, which could guide engineers to control the release speed of the umbilical cable and manipulate the mining vehicle. It combined data acquisition and numerical simulation automatically, and greatly enhanced the confidence of engineers for on-site operation due to providing a visualization of the subsea working state. In the near future, our research will focus on self-developed computer programs rather than commercial software to be applied to more complex systems.
Author Contributions
Conceptualization, J.L., L.L., W.L. and S.W.; methodology, C.H. and W.L.; software, L.H. and Z.Y.; validation, W.S., Y.L. (Yu Liu) and Y.L. (Yuanyuan Liu); formal analysis, C.H., W.L. and L.H.; investigation, W.L. and Y.S.; resources, J.L., L.L. and S.W.; data curation, C.H., Y.S., L.H. and W.L.; writing—original draft preparation, C.H. and W.L.; writing—review and editing, W.L. and S.W.; visualization, L.H. and Z.Y.; supervision, S.W.; project administration, J.L., L.L. and S.W.; funding acquisition, J.L. and S.W. All authors have read and agreed to the published version of the manuscript.
Funding
The authors are deeply grateful for financial support from China Merchants Industry Holdings Company Limited (CMMI-E-1-2021-005) and the National Natural Science Foundation of China (52088102).
Institutional Review Board Statement
Not applicable.
Informed Consent Statement
Not applicable.
Data Availability Statement
All data are presented in the paper.
Conflicts of Interest
Authors Chaojun Huang, Jiancheng Liu and Lei Li were employed by the company China Merchants Industry Holdings Company Limited. The remaining authors declare that the research was conducted in the absence of any commercial or financial relationships that could be construed as a potential conflict of interest.
References
- Rona, P.A. Resources of the sea floor. Science 2003, 299, 673–674. [Google Scholar] [CrossRef] [PubMed]
- Jin, G.; Zong, Z.; Sun, Z.; Zou, L.; Wang, H. Numerical Analysis of Vortex-Induced Vibration on a Flexible Cantilever Riser for Deep-Sea Mining System. Mar. Struct. 2023, 87, 103334. [Google Scholar] [CrossRef]
- Miller, K.A.; Thompson, K.F.; Johnston, P.; Santillo, D. An Overview of Seabed Mining Including the Current State of Development, Environmental Impacts, and Knowledge Gaps. Front. Mar. Sci. 2018, 4, 312755. [Google Scholar] [CrossRef]
- Hein, J.R.; Mizell, K.; Koschinsky, A.; Conrad, T.A. Deep-ocean mineral deposits as a source of critical metals for high-and green-technology applications: Comparison with land-based resources. Ore Geol. Rev. 2013, 51, 1–14. [Google Scholar] [CrossRef]
- Zhang, Q.; Chen, X.; Luan, L.; Sha, F.; Liu, X. Technology and equipment of deep-sea mining: State of the art and perspectives. Earth Energy Sci. 2024, in press. [CrossRef]
- ISO 13628; Petroleum and Natural Gas Industries—Design and Operation of Subsea Production Systems. International Organization for Standardization: Geneva, Switzerland, 2006.
- API SPEC 17E; Specification for Subsea Umbilicals. American Petroleum Institute: Washington, DC, USA, 2010.
- Drumond, G.P.; Pasqualino, I.P.; Pinheiro, B.C.; Estefen, S.F. Pipelines, risers, and umbilicals failures: A literature review. Ocean Eng. 2018, 148, 412–425. [Google Scholar] [CrossRef]
- Zhao, W.J. Design and Study of a Hydraulic Collecting System of Deep Sea Manganese Nodule Miners. Master’s Thesis, Shanghai Jiao Tong University, Shanghai, China, 2020. [Google Scholar]
- GSR. GSR Patania II Suffers a Set-Back. Available online: https://dsmobserver.com/2019/03/gsr-patania-ii-suffers-a-set-back (accessed on 21 March 2019).
- Song, L.; Fu, S.; Chen, X.; Guo, H.; Qu, Y. Comparative study on deepwater umbilical overall response characteristic. Vib. Shock 2014, 33, 119–124. [Google Scholar]
- Aravind, G.A.; Gopakumar, K.; Ramadass, G.A. Deployment Loads of Large Systems to Deep Waters by Aramid Umbilical Cable. In OCEANS 2022-Chennai; IEEE: Piscataway, NJ, USA, 2022; pp. 1–12. [Google Scholar]
- DNV-RP-H103; Modeling and Analysis of Marine Operations. Det Norske Veritas: Høvik, Norway, 2011.
- Zhu, K.; Zheng, D.; Cai, Y.; Yu, C.; Wang, R.; Liu, Y.; Zhang, F. Nonlinear hydrodynamic response of marine cable-body system under random dynamic excitations. J. Hydrodyn. 2009, 21, 851–855. [Google Scholar] [CrossRef]
- Yang, X.; Lv, H.; Yang, J.; Sun, P. Research on the axial tension response characteristics of umbilical cables in deep-sea mining vehicle deployment and recovery. Ocean Eng. 2023, 41, 128–138. [Google Scholar] [CrossRef]
- Xu, H.; Chen, W.; Li, L.; Yang, F. Morphology of deep-sea mining hydraulic conveying pipeline and its influencing laws in marine dynamic environment. J. Cent. South Univ. 2023, 30, 3790–3807. [Google Scholar] [CrossRef]
- Wang, G.; Liu, S.; Li, L. FEM modeling for 3D dynamic analysis of deep-ocean mining pipeline and its experimental verification. J. Cent. South Univ. Technol. 2007, 14, 808–813. [Google Scholar] [CrossRef]
- Felippa, C.A.; Chung, J.S. Nonlinear static analysis of deep ocean mining pipe—Part I: Modeling and formulation. J. Energy Resour. Technol. 1981, 103, 11–15. [Google Scholar] [CrossRef]
- Chung, J.S.; Felippa, C.A. Nonlinear static analysis of deep ocean mining pipe—Part II: Numerical studies. J. Energy Resour. Technol. 1981, 103, 16–25. [Google Scholar] [CrossRef]
- Chen, W.; Guo, S.; Li, Y.; Gai, Y.; Shen, Y. Structural configurations and dynamic performances of flexible riser with distributed buoyancy modules based on FEM simulations. Int. J. Nav. Archit. Ocean Eng. 2021, 13, 650–658. [Google Scholar] [CrossRef]
- Low, Y.M.; Langley, R.S. Time and frequency domain coupled analysis of deepwater floating production systems. Appl. Ocean Res. 2006, 28, 371–385. [Google Scholar] [CrossRef]
- Ghadimi, R. A simple and efficient algorithm for the static and dynamic analysis of flexible marine risers. Comput. Struct. 1988, 29, 541–544. [Google Scholar] [CrossRef]
- Raman-Nair, W.; Baddour, R.E. Three-dimensional dynamics of a flexible marine riser undergoing large elastic deformations. Multibody Syst. Dyn. 2003, 10, 393–423. [Google Scholar] [CrossRef]
- Barltrop, N.D.P. (Ed.) Floating Structures: A Guide for Design and Analysis; Oilfield Publications Ltd.: London, UK, 1998; Volume 1. [Google Scholar]
- Li, Y.; Zhang, X.; Dou, Y.N.; Zhang, X.; Li, W. Numerical Analysis of Dynamic and Fatigue Characteristics of Deep-Sea Mining Riser Considering Irregular Waves and Currents. Ocean Eng. 2024, 311, 118910. [Google Scholar] [CrossRef]
- Cheng, Y.; Tang, L.; Fan, T. Dynamic Analysis of Deepwater Steel Lazy Wave Riser with Internal Flow and Seabed Interaction Using a Nonlinear Finite Element Method. Ocean Eng. 2020, 209, 107498. [Google Scholar] [CrossRef]
- Ragheb, H.; Sobey, A. Effects of Extensible Modelling on Composite Riser Mechanical Responses. Ocean Eng. 2021, 220, 108426. [Google Scholar] [CrossRef]
- Zhang, J.; Chen, N.Z. Vortex-induced vibration of flexible riser transporting high-speed spiral flow in deep-sea mining. Ocean Eng. 2022, 261, 112084. [Google Scholar] [CrossRef]
Disclaimer/Publisher’s Note: The statements, opinions and data contained in all publications are solely those of the individual author(s) and contributor(s) and not of MDPI and/or the editor(s). MDPI and/or the editor(s) disclaim responsibility for any injury to people or property resulting from any ideas, methods, instructions or products referred to in the content. |
© 2025 by the authors. Licensee MDPI, Basel, Switzerland. This article is an open access article distributed under the terms and conditions of the Creative Commons Attribution (CC BY) license (https://creativecommons.org/licenses/by/4.0/).



















