Abstract
The optimization of the water-entry strategy for cross-wing underwater vehicles has become a research hotspot in the field of engineering, and its water-entry process is quite different from that of wedges and cylinders. In order to address this problem, a water-entry numerical model for the cross-wing underwater vehicle was first established based on the CFD method. The governing equations and boundary conditions of the dynamic model were defined, along with the basic principles of discretization and turbulent flow of the governing equations. The overset mesh and the VOF multiphase flow model were introduced, and a mesh size independence analysis of the numerical model was conducted. Furthermore, the numerical results were compared with the experimental results to ensure the accuracy of the numerical model. The research focused on the cross-wing underwater vehicle’s impact with calm water and regular waves, respectively. The results show that: (1) the numerical simulations are in good agreement with the experimental results (the maximum predictive error is less than 10%), which verifies the accuracy of the numerical model in this paper; (2) when the cross-wing underwater vehicle impacts calm water, the slamming pressure curve firstly shows a trend of increasing, reaching a peak, and then decreasing sharply, and finally stabilizes. As the water-entry velocity increases, the peak slamming pressure exhibits a gradual increase; (3) during the water entry of the cross-wing underwater vehicle into calm water, the acceleration profile demonstrates a trend of initial increase, followed by a decrease, another increase, and then a subsequent decrease as the entry velocity continues to rise. It should be noted that there are two peaks in the acceleration, with the first peak being significantly smaller than that of the second; (4) when the cross-wing underwater vehicle impacts a regular wave, the slamming pressure is lowest when impacting the crest and highest when impacting the trough.
1. Introduction
The water entry of structure is a very complex process, beginning with contact with water and ending with complete entry into the water. Early research on water entry mainly used experimental methods. In 1897, Worthington [1] used flash photography technology to observe the splashing and cavitation phenomena that occur when a small ball falls into different liquids, becoming the first person to conduct experiments on the principle of water immersion. In 1929, Von Karman [2] conducted theoretical research on the water entry of wedges based on the momentum theorem, focusing on the practical problem of forced landing of seaplanes. However, this method still has some shortcomings. Von Karman’s theoretical model is mainly based on the momentum theorem, which is based on the linear hypothesis and does not effectively solve the influence of the nonlinear change of the free surface during the slamming process. In 1932, Wagner [3] theorized Von Karman’s method, taking into account the phenomenon of water surface uplift during impact, and proposed the approximate flat plate theory of the small oblique lift angle model, which became the basis of current theoretical research. Later, several scholars [4,5,6,7,8] continuously improved the Von Karman and Wagner theoretical models, and until now, it is still one of the mainstream methods for studying the problem of water entry. In 2021, Sui et al. [9] combined various analytical models of Wagner’s theory with precise integration methods in the time domain to study the problem of wedge impact water. In 2023, Wu et al. [10] investigated the influence of different bottom edge shapes on the water entry of wedges, and the research results showed that the impact pressure of convex wedges was mainly concentrated at the bottom, while the overall impact pressure of concave wedges was relatively uniform.
Most of the above studies focus on simple objects such as wedges, cylinders, and spheres. In recent years, with the gradual increase of maritime activities, a series of new problems have arisen regarding the water entry of complex objects. In 2011, Pan et al. [11] used the finite element method (FEM) to establish a numerical model for the water entry of unmanned underwater vehicles (UUVs) and studied the load variation characteristics during the process of UUV airdrop into the water. The research results showed that as the water-entry velocity increased, both the axial and normal forces acting on UUV increased. In 2016, Qi et al. [12] conducted a numerical study on the water-entry problem of airborne deployed autonomous underwater vehicles (AUVs) by using computational fluid dynamics (CFD). They discussed the influence of factors such as water-entry velocity and angle on the force acting on AUVs, and obtained velocity response curves and pressure response curves under different water-entry conditions. This can provide a reference for the structural design and deployment conditions of airborne deployed AUVs. In 2021, Li et al. [13] conducted a numerical study on the water entry of air-dropped UUVs based on the CFD method, and discussed the effects of water-entry velocity and angle on the impact load characteristics. In 2021, Zhao et al. [14] conducted a numerical study on the water entry of air-dropped AUVs by using the CFD method, and analyzed the influence of different wave parameters on the load characteristics. Lu [15] innovatively conducted experimental research on open cavity cylinder water entry in response to the research background of rocket offshore recovery. He discovered two flow modes of open cavity cylinder water-entry motion: fluctuating flow and clouding flow. Shi et al. [16,17] used CFD and experimental methods to study the water entry of flared cavity structures, and explored the dynamic flow separation characteristics and load fluctuation characteristics of the water entry. Huang et al. [18] conducted experimental and numerical investigations on the water entry of deep-sea mining robots, studied the deployment characteristics of deep-sea mining robots under wave conditions, predicted their motion and dynamic behavior during the water-entry process, and obtained their impact load, displacement, velocity, and bubble evolution laws under different deployment speeds.
In recent years, with the development of computer technology, numerical methods have been applied more and more widely. Numerical methods such as CFD [19,20], SPH [21], ISPH [22], and ALE [23] have been applied to solve the problem of water entry. In 2006, Stenius [24] et al. applied the ALE algorithm to study the water entry of two-dimensional rigid wedges. In 2014, Luo et al. [25] used a coupled algorithm combining ALE and penalty function to study the water entry of three-dimensional wedges with and without rotation angles, and compared the numerical results with experimental results.
At present, most research on the water entry of structures is focused on simple structures and traditional underwater vehicles, with few studies on the water entry of new underwater vehicles with complex shapes. The underwater vehicle with a cross-wing plate proposed in this paper not only has the function of propeller propulsion of traditional underwater vehicles but also has the ability of underwater sliding. However, due to its special shape, its hydrodynamic characteristics are not clear. Therefore, this paper uses the CFD method to establish the hydrodynamic model for the water entry of the cross-wing underwater vehicle. The water-entry motion and load characteristics of the cruciform underwater vehicle are analyzed using the CFD commercial software STAR-CCM+ 17.04. It solves the problem of the lack of research on the hydrodynamics of complex underwater vehicles, particularly those with cross-wing designs that combine traditional propulsion with underwater gliding capabilities. By establishing a CFD-based hydrodynamic model, this paper provides valuable data for understanding the unique load and motion characteristics of such innovative vehicles during the water-entry process, which is helpful for its design optimization and performance improvement in marine applications. The remainder of this paper is organized as follows: the basic principles of the numerical model are introduced in Section 2, the results, analysis, and discussion are provided in Section 3, and the results of the study are summarized and the conclusions drawn in Section 4.
2. Basic Principles of Numerical Model
2.1. Governing Equations and Boundary Conditions
The water entry of cross-wing underwater vehicles is a complex problem involving the multi-phase coupling of gas, liquid, and solid. First of all, the mass conservation equation needs to be satisfied, and the continuity equation can be obtained as follows:
where: is the density of the mixture in the multiphase flow; is the average of the mixture velocities in a multiphase flow; is calculated as:
where: is the volume fraction of the kth phase in the mixture; is the density of the kth phase in the mixture; is the velocity of the kth phase in the mixture.
The momentum equation of fluid motion reflects the relationship between the density, velocity, pressure, and external forces of the fluid system, and the fluid momentum equation, considering gravity and fluid viscosity, is as follows:
where: P is the pressure; S is the source term; is shear stress; is calculated as:
where: is the viscosity, and its expression is ; is the velocity of the kth phase in the mixture.
The expression of the energy conservation equation of the fluid is:
where: is the effective heat conduction; is the source item; T is the temperature; E is the energy.
2.2. Discretization of Governing Equations and Turbulent Fundamentals
Although the dependent variables of the governing equations of the liquid are different, they reflect the conservation properties of each physical quantity per unit volume and unit time. If a generic variable is denoted by , the governing equations can be expressed in the following general form:
It unfolds in the form of:
where: is the fluid velocity; , , are their components; is a universal variable, which can represent , , , ; S is a generalized source term; is the generalized diffusion coefficient.
In order to take the computational accuracy and efficiency into account, this paper uses the k-ε turbulence model in the RANS method. The k-ε model is the most widely used turbulence model at present, which is suitable for fully developed turbulent states. The transport equations for the turbulent kinetic energy k and turbulent energy dispersion rate ε are:
where: , , , are constants, and the values in this paper are , , , and ; μ is the dynamic viscosity of the fluid, is the turbulent viscosity, and the formula for calculating the turbulent viscosity is:
where: is a dimensionless constant, and the value of is 0.09 in this paper.
2.3. Overset Mesh and VOF Multiphase Flow Models
The water-entry process of the cross-wing underwater vehicle involves the independent movement of the structure relative to the entire fluid domain. If the overlapping mesh technology is not used, a large number of meshes need to be constructed, which will consume huge computing resources. In this paper, the overlapping grid technology is used to divide the mesh area of the cross-wing underwater vehicle’s water slamming, and the most appropriate meshing method is selected based on the background domain.
The water-entry process of the cross-wing underwater vehicle involves the dynamic change of the interface between water and air. The volume of fluid (VOF) model can better capture these changes in the free liquid level. This model identifies and tracks the free liquid level by calculating the fluid volume fraction F within each grid cell. When F = 1, it means that the grid cell is completely filled with the specified fluid phase. When F = 0, it means that there is no fluid in the specified phase in the grid element. If 0 < F < 1, it indicates that the element contains the interface of the fluid phase. The VOF model can be used to track the free liquid level, and for phase q, the equation is:
The volume fraction equation can be solved by the following implicit or explicit equations, such as Eulerian explicit equations:
or Euler’s implicit equation:
where: n + 1 is the pointer of the new time step; n is the pointer of the previous time step; is the value of the q-th phase volume fraction in the algorithm; V is the volume of the unit; is the volumetric flow rate that passes through the surface at normal velocity.
2.4. Mesh Generation and Independence Test
The structure and size of the cross-wing underwater vehicle are shown in Figure 1a, and the grid division of the background grid and overset grid of the computational domain is shown in Figure 1b,c.
Figure 1.
Meshing for water-entry simulation of the cross-wing underwater vehicle. (a) Underwater vehicle outline; (b) The background mesh; (c) The overset mesh.
In this paper, five meshing schemes are selected, as shown in Table 1, and a numerical study on the water entry of the cross-wing underwater vehicle is conducted, and the variation law of the slamming pressure and the water-entry velocity under different grid schemes is analyzed, as shown in Figure 2. It can be seen from the figure that, under different meshing schemes, the variation law of the slamming load and velocity is basically the same. However, different meshing conditions have a great influence on the peak load. At the same time, considering the influence of calculation efficiency and calculation accuracy, when the meshing scheme 4 is selected, it can not only ensure the accuracy of the calculation results but also improve the calculation efficiency. Therefore, in the subsequent numerical simulation process, if there is no special emphasis, scheme 4 is selected for meshing.
Table 1.
Grid parameters.
Figure 2.
Grid independence test. Time histories of (a) force; (b) head slamming pressure; (c) water-entry velocity.
2.5. Comparison of Numerical and Experimental Results
When the water-entry velocity is 0.5 m/s, the comparison between the numerical results and experimental results for the water-entry separation characteristics of the wedge is shown in Figure 3. It can be seen from the figure that: (1) the numerical results and the experimental results both capture the separation characteristics well, and the evolution trend of the free liquid surface is basically the same, indicating that the numerical results and the experimental results are in good agreement. (2) After the wedge touches the water, the free liquid surface flows along the bottom of the model. When the free liquid surface flows out of the bottom edge, flow phenomena such as liquid surface rolling and droplet splashing occur, which can be clearly observed in the test results. In addition, the numerical model established in this paper can also accurately capture these features.
Figure 3.
Comparison between numerical and experimental results for water-entry flow (V = 0.5 m/s). The time instants presented are (a) 0.06 s, (b) 0.08 s, (c) 0.10 s, (d) 0.12 s, respectively.
The pressure measuring point is set directly below the wedge, and the pressure sensor is used to measure the impact pressure during the water entry of the wedge. The measuring position and measuring instruments are shown in Figure 4, and the numerical calculation results are compared with the experimental results. When the water-entry velocity is 0.5 m/s, the comparison between numerical results and experimental results for water-entry pressure is shown in Figure 5. It can be seen from the figure that the numerical results and the experimental results are in good agreement. For water-entry problems, there has always been a problem that the peak pressure is not predicted accurately, but it can be seen from the figure that the numerical results for peak pressure are basically consistent with the experimental results. Even if there is an error, the error can be controlled within 10%, which fully shows that the accuracy of the numerical model in this paper is reliable.
Figure 4.
The pressure probe position (a) and the pressure sensor used (b).
Figure 5.
Comparison between numerical and experimental results for slamming pressure. The results presented here are for (a) 0.5 m/s and (b) 0.75 m/s.
3. Results and Discussion
3.1. Numerical Simulation of Cross-Wing Underwater Vehicle Entering the Calm Water
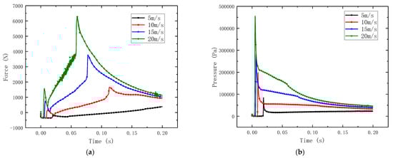
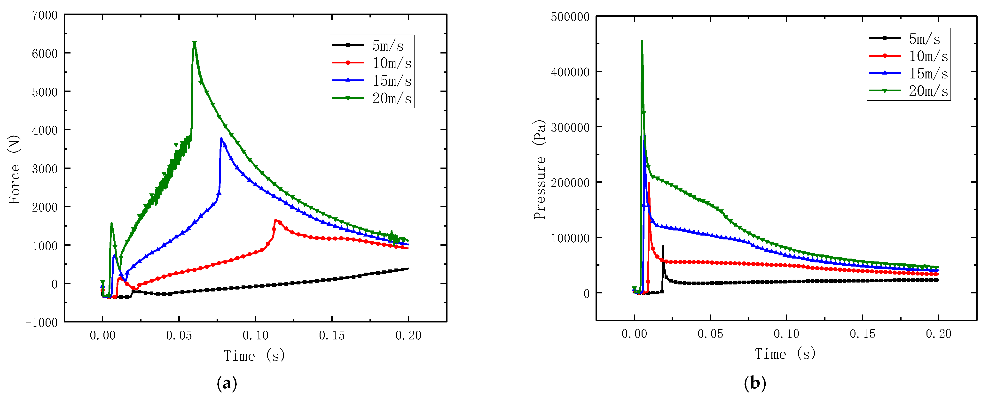
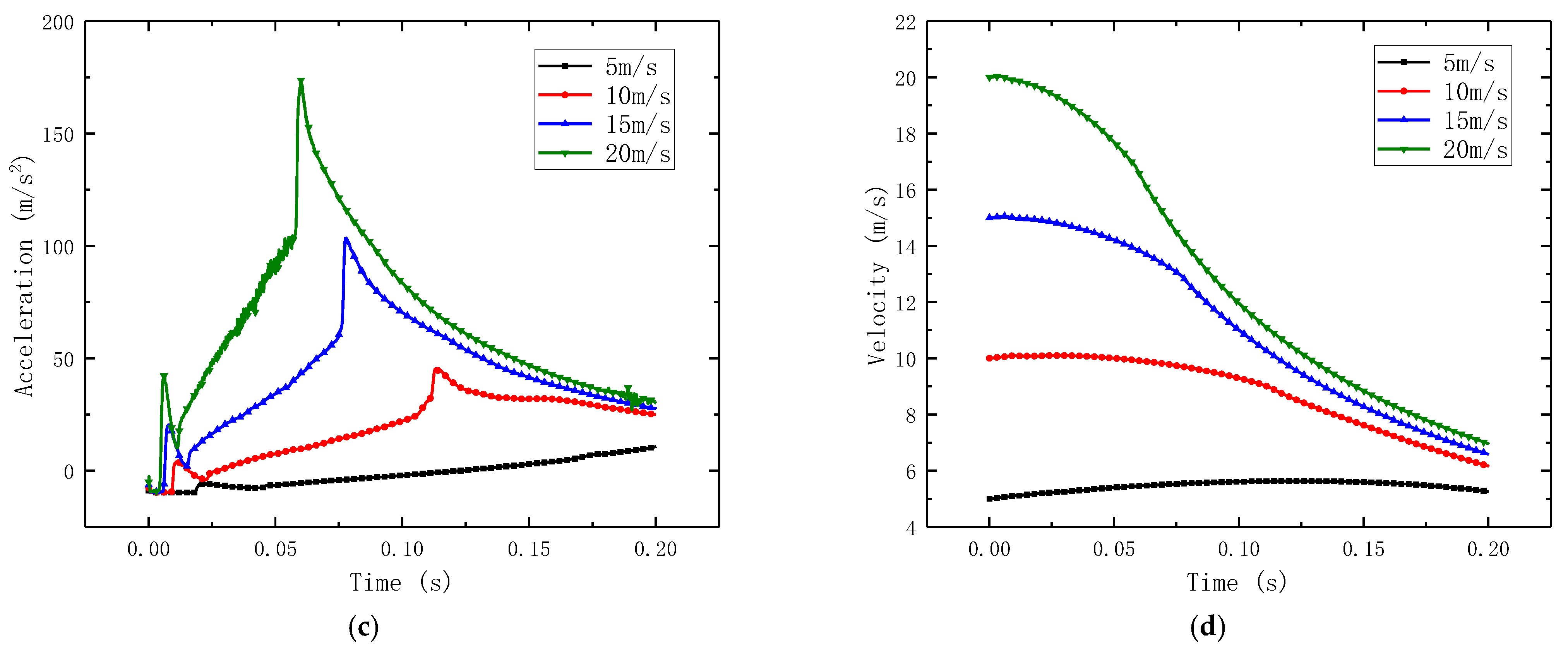
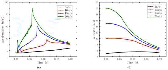
The liquid phase diagrams under different water-entry velocities are shown in Figure 6, Figure 7, Figure 8 and Figure 9. The dynamics change law of the motion and load characteristics under different water-entry velocities are shown in Figure 10. Figure 10a shows the force change law of the cross-wing underwater vehicle; it can be seen from the figure that when the water-entry velocity is 5 m/s, the structure force shows a gradual upward trend, and with an increase in velocity, the force curve shows a trend of first increasing, then decreasing, and finally stabilizing. In addition, the higher the water-entry velocity, the greater the impact force on the cross-wing underwater vehicle. Figure 10b shows the variation law of the head slamming pressure; it can be seen that the slamming pressure curve of the cross-wing underwater vehicle first increases, reaches the peak, then decreases sharply, and finally tends to stabilize. In addition, as the water-entry velocity increases, the peak slamming pressure gradually increases. Figure 10c shows the acceleration change law of the cross-wing underwater vehicle; it can be seen from the figure that when the water-entry velocity is 5 m/s, the acceleration curve gradually increases, and with the increase of the water-entry velocity, the acceleration curve first increases, then decreases, followed by another increase, and finally decreases again. It should be noted that there are two peaks in acceleration, with the first peak being significantly smaller than that of the second. Figure 10d shows the speed change law of the cross-wing underwater vehicle; it can be seen from the figure that when the water-entry velocity is 5 m/s, the water-entry speed gradually increases, and finally tends to be stable.
Figure 6.
Liquid phase diagram when initial water-entry velocity is 5 m/s.
Figure 7.
Time variation of liquid phase diagram when initial water-entry velocity is 10 m/s.
Figure 8.
Time variation of liquid phase diagram when initial water-entry velocity is 15 m/s.
Figure 9.
Time variation of liquid phase diagram when initial water-entry velocity is 20 m/s.

Figure 10.
Hydrodynamic changes at different water-entry velocities. (a) Hydrodynamic force; (b) Head slamming pressure; (c) Acceleration; (d) Velocity.
3.2. Numerical Simulation of Cross-Wing Underwater Vehicle Entering the Water in Waves
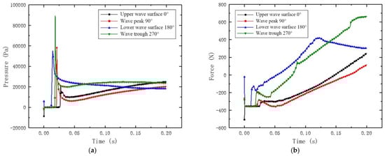
It is necessary to carry out an investigation on the impact of the cross-wing underwater vehicle on regular waves, with an analysis of the slamming pressure of the cross-wing underwater vehicle at the wave crest, wave trough, upper wave surface, and lower wave surface. The wavelength given in this section is 4 m, the wave period is 1.6 s, and the water-entry velocity of the cross-wing underwater vehicle is 5 m/s. The schematic diagram of the cross-wing underwater vehicle landing in different wave positions is shown in Figure 11.
Figure 11.
Landing schematics of different wave positions.
The load characteristics of the cross-wing underwater vehicle landing at different wave surface positions are shown in Figure 12. Figure 12a presents the head slamming pressure curve of the cross-wing underwater vehicle; it can be clearly seen from the figure that when the cross-wing underwater vehicle lands at the wave trough, the head slamming pressure is the largest, and when the cross-wing underwater vehicle lands at the upper wave surface, the head slamming pressure is the smallest. The slamming pressure trend of the cross-wing underwater vehicle landing at different wave surface positions is as follows: Pwave trough > Pwave peak > Plower wave surface > Pupper wave surface. Figure 12b shows the structure force curve of the cross-wing underwater vehicle. It can be clearly seen from the figure that the overall force of the cross-wing underwater vehicle is the highest when it lands at the wave trough. The overall force of the cross-wing underwater vehicle is basically the same when landing at the upper wave surface and the lower wave surface.
Figure 12.
Load characteristics of landings at different wave surface locations. (a) Head slamming pressure and (b) hydrodynamic force.
4. Conclusions
In this paper, a numerical model for the water entry of a cross-wing underwater vehicle was established based on the CFD method, and a mesh size convergence analysis was performed to verify the convergence of the numerical model. Numerical simulations of the water entry of wedges were conducted and compared with the experimental results. Finally, a numerical study of the cross-wing underwater vehicle’s impact on calm water and regular waves was carried out. The results can be concluded as follows.
(1) When the cross-wing underwater vehicle enters calm water, the head slamming pressure curve shows a trend of initial increasing, reaches a peak, then decreases, and finally stabilizes. In addition, as the water-entry velocity increases, the peak slamming pressure gradually increases.
(2) When the cross-wing underwater vehicle enters calm water, the acceleration curve shows a trend of initial increasing, then decreasing, followed by another increase, and finally decreasing again. It should be noted that there are two peaks in acceleration, with the first peak significantly smaller than that of the second.
(3) When the cross-wing underwater vehicle enters at the wave trough, the slamming pressure is the highest, and when the cross-wing underwater vehicle enteres at the upper wave surface, the slamming pressure is the smallest. The overall trend of the slamming pressure when entering at different wave surface positions is: Ptrough > Ppeak > Plower wave surface > Pupper wave surface.
In the future, the primary emphasis will be on enhancing the efficiency and stability of underwater vehicles during water entry. This will involve an in-depth study of the vehicle’s shape design and optimizing its water-entry attitude. By leveraging a combination of numerical simulation technology and experimental methods, we aim to further advance the accurate analysis of complex hydrodynamic phenomena that occur during the water-entry process. Additionally, we will examine the impact of various environmental conditions on the vehicle’s water-entry process, ensuring that it can operate efficiently in the diverse and challenging marine environment. This research will provide robust technical support for the widespread application of underwater vehicles in military, scientific research, and engineering fields.
Author Contributions
Conceptualization, D.Z.; funding acquisition, Y.C.; methodology, Z.S.; supervision, D.Z. and Q.J.; writing—original draft, Z.S.; writing—review and editing, Y.C., H.P., D.Z. and Q.J. All authors have read and agreed to the published version of the manuscript.
Funding
This research was funded by the Laoshan Laboratory Technology Innovation Project (LSKJ202205500), National Key R&D Program of China (2022YFC2803601), Shandong Provincial Natural Science Foundation (ZR2021YQ29), and supported by the Taishan Scholars Program of Shandong Province, China.
Institutional Review Board Statement
Not applicable.
Informed Consent Statement
Not applicable.
Data Availability Statement
The original contributions presented in this study are included in the article; further inquiries can be directed to the corresponding author.
Conflicts of Interest
The authors declare no conflicts of interest.
Nomenclature
| CFD | Computational Fluid Dynamics |
| RANS | Reynolds-Averaged Navier-Stokes |
| VOF | Volume of Fluid |
| FEM | Finite Element Method |
| UUV | Unmanned Underwater Vehicle |
| AUV | Autonomous Underwater Vehicle |
| SPH | Smoothed Particle Hydrodynamics |
| The density of the mixture in the multiphase flow | |
| The average of the mixture velocities in a multiphase flow | |
| The volume fraction of the kth phase in the mixture | |
| P | The pressure |
| S | The source term |
| Shear stress | |
| Effective heat conduction | |
| The source item | |
| T | The temperature |
| E | The energy |
References
- Worthington, A.M.; Cole, R.S. Impact with a liquid surface studied by the aid of instantaneous photography. Philos. Trans. R. Soc. Lond. Ser. A Contain. Pap. A Math. Phys. Character 1897, 194, 137–148. [Google Scholar] [CrossRef]
- Von Karman, T. The Impact on Seaplane Foats During Landing. In Technical Report Archive & Image Library; National Advisory Committee for Aeronautics: Washington, DC, USA, 1929. [Google Scholar]
- Wagner, H. Phenomena associated with coasts and sliding on liquid surfaces. Natl. Advis. Comm. Aeronaut. 1932, 1366, 112–123. [Google Scholar]
- Milwitzky, B. Generalized Theory for Seaplane Impact. 1952. Available online: https://ntrs.nasa.gov/api/citations/19930092141/downloads/19930092141.pdf (accessed on 9 December 2024).
- May, A. Review of water-entry theory and data. AIAA J. 1970, 70, 140–142. [Google Scholar]
- Garabedian, P. Oblique water entry of a wedge. Commun. Pure Appl. Math. 1953, 6, 157–165. [Google Scholar] [CrossRef]
- Borg, S.F. Some contributions to the wedge-water entry problem. J. Eng. Mech. Div. 1957, 83, 1214. [Google Scholar] [CrossRef]
- Cumberbatch, E. The impact of a water wedge on the wall. J. Fluid Mech. 1960, 7, 353–374. [Google Scholar] [CrossRef]
- Sui, X.; Sun, Z.; Xu, L. Dynamic characteristics of 2D sections under free fall condition. In Proceedings of the 16th National Conference on Hydrodynamics and the 32nd National Symposium on Hydrodynamics, Wuxi, China, 30 October 2021; p. 9. [Google Scholar]
- Wu, Q.; Zhang, Z.; Chen, M. Investigation of water entry slamming of wedges accounting effect of air-cushion. Shipbuild. China 2023, 64, 87–98. [Google Scholar]
- Pan, G.; Zhong, R.; Du, X. Finite element simulation study of the water entry impact of airborne UUV. Fire Control Command Control 2011, 36, 142–145+149. [Google Scholar]
- Qi, D.; Feng, J.; Yu, Z.; Li, Y. Simulation study on water entry impact of airborne launched AUV. J. Ship Mech. 2016, 20, 1281–1288. [Google Scholar]
- Li, W.; Guo, R.; Zan, Y. Numerical simulation of water-entry angle effect on free fall unmanned underwater vehicle. Ship Eng. 2021, 43, 160–165. [Google Scholar]
- Zhao, Q.; Ding, Z. Numerical simulation of water entry of an air-dropped AUV under wave conditions. J. Huazhong Univ. Sci. Technol. (Nat. Sci. Ed.) 2021, 49, 128–132. [Google Scholar]
- Lu, Z.; Sun, T.; Wei, Y.; Wang, C. Experimental investigation on the motion feature of inclined water-entry of a semi-closed cylinder. Chin. J. Theor. Appl. Mech. 2018, 50, 263–273. [Google Scholar]
- Shi, Z.; Duan, W.; Huang, Z.; Zhang, G.; Jiang, Z.; Huang, L. Experimental and numerical investigation on water entry fluctuation effect of flared cavity. Appl. Ocean Res. 2023, 135, 103544. [Google Scholar] [CrossRef]
- Duan, W.; Shi, Z.; Jiang, Z.; Li, H.; Huang, L. Experimental and numerical investigation on cavitation evolution and fluctuation mechanism of flared cavity entering water. Ocean Eng. 2022, 266, 113030. [Google Scholar] [CrossRef]
- Huang, X.; Dai, Y.; Su, Q.; Cheng, H.; Zhu, X. Simulation and experimental verification of water impact flow field of deep ocean mining vehicle entering water. Chin. J. Nonferrous Met. 2021, 31, 2782–2794. [Google Scholar]
- Facci, A.L.; Porfiri, M.; Ubertini, S. Three-dimensional water entry of a solid body: A computational study. J. Fluids Struct. 2016, 66, 36–53. [Google Scholar] [CrossRef]
- Chen, C.; Sun, T.Z.; Wei, Y.J.; Wang, C. Computational analysis of compressibility effects on cavity dynamics in high-speed water-entry. Int. J. Nav. Archit. Ocean Eng. 2018, 1, 495–509. [Google Scholar] [CrossRef]
- Sun, P.N.; Luo, M. The suction effect during freak wave slamming on a fixed platform deck: Smoothed particle hydrodynamics simulation and experimental study. Phys. Fluids 2019, 31, 108–117. [Google Scholar] [CrossRef]
- Skillen, A.; Lind, S. Incompressible smoothed particle hydrodynamics (SPH) with reduced temporal noise and generalised Fickian smoothing applied to body-water slam and efficient wave-body interaction. Comput. Methods Appl. Mech. Eng. 2013, 265, 163–173. [Google Scholar] [CrossRef]
- Wang, S.; Islam, H.; Soares, C.G. Uncertainty due to discretization on the ALE algorithm for predicting water slamming loads. Mar. Struct. 2021, 80, 103086. [Google Scholar] [CrossRef]
- Stenius, A.R.; Kuttenkeuler, J. Explicit FE-modelling of fluid-structure interaction in hull-water impacts. Int. Shipbuild. Prog. 2006, 53, 103–121. [Google Scholar]
- Luo, H.; Liu, X.; Dong, D. Experimental investigation of water impact of one free-drop wedge with stiffened aluminum panel. Chin. J. Hydrodyn. 2014, 29, 460–468. [Google Scholar]
Disclaimer/Publisher’s Note: The statements, opinions and data contained in all publications are solely those of the individual author(s) and contributor(s) and not of MDPI and/or the editor(s). MDPI and/or the editor(s) disclaim responsibility for any injury to people or property resulting from any ideas, methods, instructions or products referred to in the content. |
© 2025 by the authors. Licensee MDPI, Basel, Switzerland. This article is an open access article distributed under the terms and conditions of the Creative Commons Attribution (CC BY) license (https://creativecommons.org/licenses/by/4.0/).












