A Comparative Analysis of Growth, Survival, and Combining Ability Based on Diallel Crosses Among Three Selected Lines of the Fujian Oyster Crassostrea angulata with Normal, Golden, and Black Shell Colors
Abstract
1. Introduction
2. Materials and Methods
2.1. Parental Oyster Collection and Temporary Rearing
2.2. Mating Strategies and Larval Rearing
2.3. Trait Measuring
2.4. Statistical Analyses
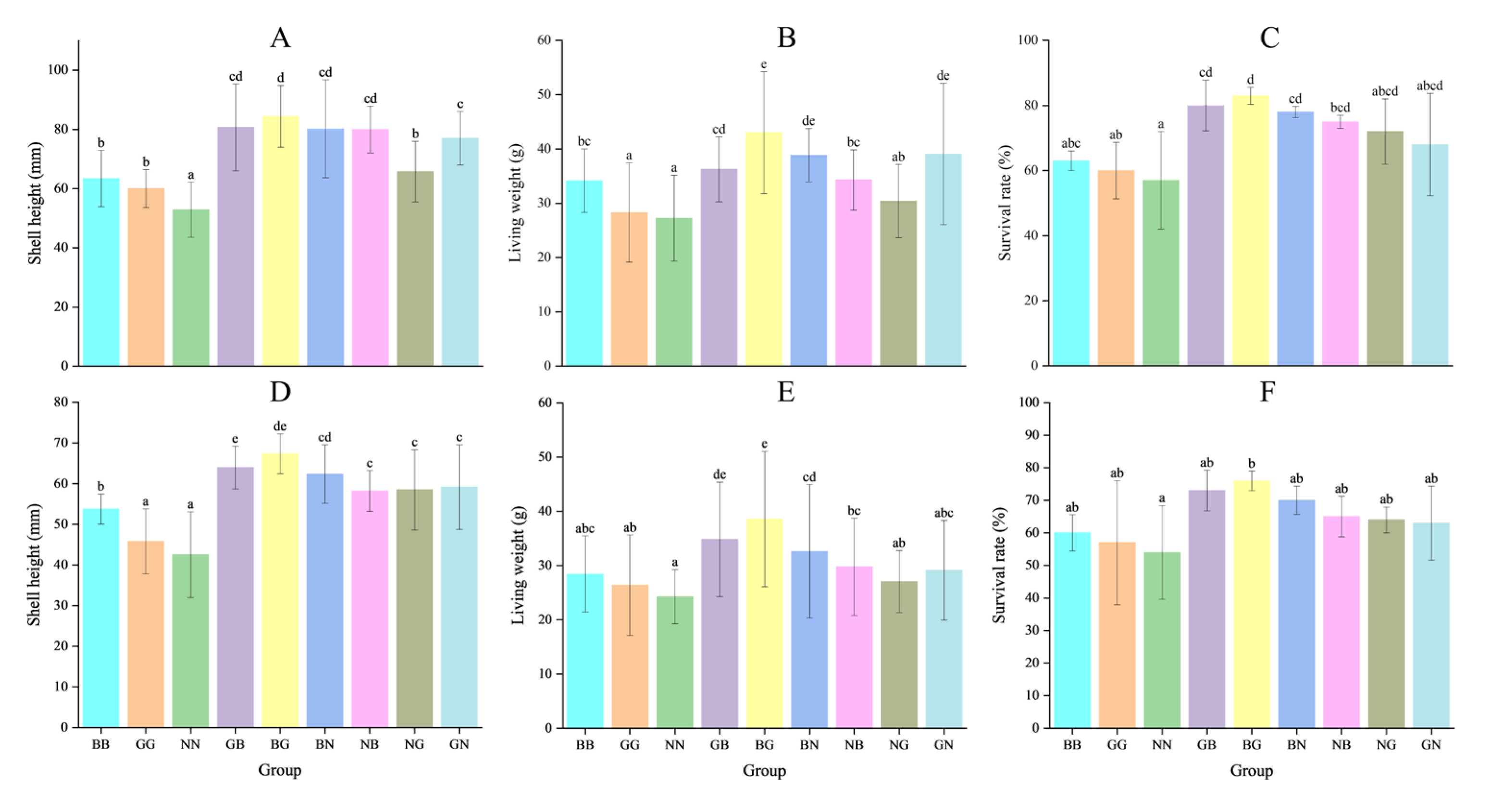
3. Results
3.1. Growth, Survival, and Combining Ability During the Larval Stage
3.2. Growth, Survival, and Combining Ability During the Grow-Out Stage
4. Discussion
5. Conclusions
Supplementary Materials
Author Contributions
Funding
Institutional Review Board Statement
Informed Consent Statement
Data Availability Statement
Conflicts of Interest
References
- Liang, Y.; Xu, C.; Li, Q. Heterosis and genetic diversity of intraspecific hybrids crosses between two selected lines of the Pacific oyster Crassostrea gigas. Aquaculture 2023, 569, 739369. [Google Scholar] [CrossRef]
- Liang, Y.; Hu, H.; Cheng, G.; Xu, C.; Li, Q. Growth, survival and thermotolerance of diploids, triploids and tetraploids of the Fujian oyster Crassostrea angulata with normal, golden and black shell colors. Aquaculture 2024, 591, 741131. [Google Scholar] [CrossRef]
- Mallet, A.L.; Haley, L.E. Growth rate and survival in pure population matings and crosses of the oyster Crassostrea virginica. Can. J. Fish. Aquat. Sci. 1983, 40, 948–954. [Google Scholar] [CrossRef]
- Hedgecock, D.; McGoldrick, D.J.; Bayne, B.L. Hybrid vigor in pacific oysters: An experimental approach using crosses among inbred lines. Aquaculture 1995, 137, 285–298. [Google Scholar] [CrossRef]
- Hedgecock, D.; Davis, J.P. Heterosis for yield and crossbreeding of the pacific oyster Crassostrea gigas. Aquaculture 2007, 272, S17–S29. [Google Scholar] [CrossRef]
- Sheridan, A.K. Genetic improvement of oyster production—A critique. Aquaculture 1997, 153, 165–179. [Google Scholar] [CrossRef]
- Han, Z.; Li, Q.; Liu, S.; Kong, L. Crossbreeding of three different shell color lines in the pacific oyster reveals high heterosis for survival but low heterosis for growth. Aquaculture 2020, 529, 735621. [Google Scholar] [CrossRef]
- Liang, Y.; Zhang, G.; Jiang, G.; Hu, Y.; Fang, J.; Chi, Y.; Xu, C.; Liu, W.; Liu, H.; Li, Q. Hybridization between “Haida No. 1” and orange-shell line of the pacific oyster reveals high heterosis in survival. Aquaculture 2022, 551, 737945. [Google Scholar] [CrossRef]
- Rawson, P.; Feindel, S. Growth and Survival for Genetically improved lines of eastern oysters (Crassostrea virginica) and interline hybrids in Maine, USA. Aquaculture 2012, 326–329, 61–67. [Google Scholar] [CrossRef]
- Avin, F.A.; Bhassu, S.; Rameeh, V.; Tan, Y.S.; Vikineswary, S. Genetics and hybrid breeding of pleurotus pulmonarius: Heterosis, heritability and combining ability. Euphytica 2016, 209, 85–102. [Google Scholar] [CrossRef]
- Li, Q.; Wang, Q.; Liu, S.; Kong, L. Selection response and realized heritability for growth in three stocks of the pacific oyster Crassostrea gigas. Fish. Sci. 2011, 77, 643–648. [Google Scholar] [CrossRef]
- Hallauer, A.R.; Carena, M.J.; Filho, J.B.M. Heterosis. In Quantitative Genetics in Maize Breeding; Springer: New York, NY, USA, 2010; pp. 477–529. ISBN 978-1-4419-0765-3. [Google Scholar]
- Wang, C.; Liu, B.; Li, J.; Liu, S.; Li, J.; Hu, L.; Fan, X.; Du, H.; Fang, H. Introduction of the peruvian scallop and its hybridization with the bay scallop in China. Aquaculture 2011, 310, 380–387. [Google Scholar] [CrossRef]
- Soletchnik, P. A Comparative field study of growth, survival and reproduction of Crassostrea gigas, C. angulata and their hybrids. Aquatic Living Resources 2002, 15, 243–250. [Google Scholar] [CrossRef]
- Xue, B.; Shen, B.; Li, H.; Meng, D.; Niu, D.; Li, J.; Shen, H. Heterosis analysis at early generations for complete diallel crosses in three different geographical culture populations of Sinonovacula Constricta (Lamarck 1818) in Zhejiang, China. Aquac. Res. 2020, 51, 1388–1397. [Google Scholar] [CrossRef]
- Militz, T.A.; Braley, R.D.; Schoeman, D.S.; Southgate, P.C. Larval and early juvenile culture of two giant clam (Tridacninae) hybrids. Aquaculture 2019, 500, 500–505. [Google Scholar] [CrossRef]
- Kong, L.; Song, S.; Li, Q. The effect of interstrain hybridization on the production performance in the pacific oyster Crassostrea gigas. Aquaculture 2017, 472, 44–49. [Google Scholar] [CrossRef]
- In, V.V.; Sang, V.V.; O’Connor, W.; Van, P.T.; Dove, M.; Knibb, W.; Nguyen, N.H. Are strain genetic effect and heterosis expression altered with culture system and rearing environment in the Portuguese oyster (Crassostrea angulata)? Aquac. Res. 2017, 48, 4058–4069. [Google Scholar] [CrossRef]
- Tan, K.; Liu, H.; Ye, T.; Ma, H.; Li, S.; Zheng, H. Growth, Survival and lipid composition of Crassostrea gigas, c. angulata and their reciprocal hybrids cultured in southern China. Aquaculture 2020, 516, 734524. [Google Scholar] [CrossRef]
- Chaivichoo, P.; Koonawootrittriron, S.; Chatchaiphan, S.; Srimai, W.; Na-Nakorn, U. Genetic components of growth traits of the hybrid between ♂North African catfish (Clarias gariepinus burchell, 1822) and ♀Bighead catfish (C. macrocephalus Günther, 1864). Aquaculture 2020, 521, 735082. [Google Scholar] [CrossRef]
- Hu, Y.; Li, Q.; Xu, C.; Liu, S.; Kong, L.; Yu, H. Response to selection for growth in successive mass selected generations of iwagaki oyster Crassostrea nippona. Aquaculture 2022, 560, 738575. [Google Scholar] [CrossRef]
- Chi, Y.; Li, Q.; Xu, C. Comparative study of growth, survival and yield of selected, inbreeding and wild populations in pacific oysters. Aquaculture 2023, 566, 739232. [Google Scholar] [CrossRef]
- Wan, W.; Qin, Y.; Shi, G.; Li, S.; Liao, Q.; Ma, H.; Li, J.; Suo, A.; Ding, D.; Yu, Z.; et al. Genetic improvement of aquaculture performance for tetraploid pacific oysters, Crassostrea gigas: A case study of four consecutive generations of selective breeding. Aquaculture 2023, 563, 738910. [Google Scholar] [CrossRef]
- Zhou, J.; Jiang, G.; Xu, C.; Bai, X.; Li, Q. Growth, Survival and gonad development of diploids, triploids and tetraploids of ‘Haida No. 3’ line of the Pacific oyster Crassostrea gigas. Aquaculture 2023, 571, 739472. [Google Scholar] [CrossRef]
- Chi, Y.; Xu, C.; Li, Q. Influence of Ploidy, Genetic and environment on production traits of the pacific oyster Crassostrea gigas. Aquaculture 2024, 586, 740756. [Google Scholar] [CrossRef]
- Yue, C.; Qin, Y.; Wan, W.; Shi, G.; Li, S.; Li, J.; Wang, Z.; Ma, H.; Li, J.; Yu, Z.; et al. Phenotypic traits of reciprocal tetraploid hybrids derived from tetraploid Crassostrea gigas and tetraploid Crassostrea angulata. Aquaculture 2024, 582, 740495. [Google Scholar] [CrossRef]
- Li, H.; Yu, R.; Li, Q.; Ma, P. Evaluation of advantages in the growth, survival and reproductive aspects of triploid hybrids derived from Crassostrea gigas tetraploids and C. ariakensis diploids in northern China. Aquaculture 2022, 548, 737675. [Google Scholar] [CrossRef]
- Jiang, G.; Xu, C.; Li, Q. Growth, survival and reproductive traits of two genetically improved allotriploid oysters derived from Crassostrea gigas and C. angulata. Aquaculture 2024, 587, 740882. [Google Scholar] [CrossRef]
- Callam, B.R.; Allen, S.K.; Frank-Lawale, A. Genetic and environmental influence on triploid Crassostrea virginica grown in Chesapeake Bay: Growth. Aquaculture 2016, 452, 97–106. [Google Scholar] [CrossRef]
- Bodenstein, S.; Callam, B.R.; Walton, W.C.; Rikard, F.S.; Tiersch, T.R.; La Peyre, J.F. Survival and growth of triploid eastern oysters, Crassostrea virginica, produced from wild diploids collected from low-salinity areas. Aquaculture 2023, 564, 739032. [Google Scholar] [CrossRef]
- Matt, J.L.; Guévélou, E.; Small, J.M.; Allen, S.K. A field test investigating the influence of brood stock origin and ploidy on the susceptibility of Crassostrea virginica to “triploid mortality” in the Chesapeake Bay. Aquaculture 2020, 526, 735375. [Google Scholar] [CrossRef]
- Gjedrem, T. Selection and Breeding Programs in Aquaculture; Springer: Dordrecht, The Netherlands, 2005; pp. 122–132. [Google Scholar] [CrossRef]
- Gordon, I.L. Quantitative Genetics of Intraspecies Hybrids. Heredity 1999, 83, 757–764. [Google Scholar] [CrossRef]
- Volker, P.W.; Potts, B.M.; Borralho, N.M.G. Genetic Parameters of Intra- and Inter-Specific Hybrids of Eucalyptus Globulus and E. Nitens. Tree Genet. Genomes 2008, 4, 445–460. [Google Scholar] [CrossRef]
- Zhang, Y.; Wang, Z.; Yu, Z.; Yan, X. Evaluation on cross-heritability of interspecific hybrids between female Crassostrea Hongongensis and male Crassostrea gigas. Oceanol. Et Limnol. Sin. 2014, 45, 1367–1373. Available online: https://kns.cnki.net/kcms/detail/detail.aspx?dbname=CJFD2014&filename=HYFZ201406029&dbcode=CJFD (accessed on 27 January 2025). (In Chinese).





| Day 5 | Day 25 | |||||||
|---|---|---|---|---|---|---|---|---|
| Shell Height | Survival Rate | Shell Height | Survival Rate | |||||
| MPH | HPH | MPH | HPH | MPH | HPH | MPH | HPH | |
| GB | 3.73 | 3.69 | 4.97 | 5.56 | −12.21 | −13.83 | 13.16 | 17.81 |
| BG | 2.95 | 2.91 | 4.97 | 5.56 | −13.01 | −14.61 | 14.47 | 19.18 |
| BN | 2.18 | 2.47 | 4.44 | 5.62 | −11.32 | −16.69 | 14.29 | 23.53 |
| NB | 3.37 | 3.67 | 3.33 | 4.49 | −8.97 | −14.48 | 11.56 | 20.59 |
| NG | 2.24 | 2.56 | 2.79 | 3.37 | −1.45 | −5.76 | 13.48 | 17.65 |
| GN | 1.73 | 2.06 | 3.91 | 4.49 | −4.89 | −9.05 | 16.31 | 20.59 |
| Day 25 | Day 360 | ||||
|---|---|---|---|---|---|
| Luoyu | Jiangkou | Houhai | LY, JK, and HH | ||
| GCA | GCA | GCA | GCA | GCA | |
| B♀ | 1.097 | 1.835 | 1.327 | 1.611 | 8.43 × 10−8 |
| G♀ | 7.564 | −6.116 | −1.106 | −3.888 | −1.48 × 10−8 |
| N♀ | −1.172 | −1.223 | −1.216 | −1.222 | −6.94 × 10−8 |
| B♂ | 2.313 | 9.173 | 1.146 | 7.776 | 9.44 × 10−8 |
| G♂ | −1.157 | 4.587 | 8.594 | 2.777 | 6.39 × 10−8 |
| N♂ | −2.198 | −1.376 | −2.005 | −1.055 | −1.58 × 10−7 |
| SCA | SCA | SCA | SCA | SCA | |
| GB | 1.632 | 6.36 | 3.36 | 3.844 | 0.126 |
| NB | 0.523 | 2.953 | 0.134 | 1.886 | 0.063 |
| BG | 1.909 | 8.405 | 4.57 | 5.803 | 0.091 |
| NG | −0.031 | 0.909 | −0.269 | 1.233 | −0.015 |
| BN | 1.078 | 4.998 | 2.15 | 3.192 | 0.023 |
| GN | 0.523 | −1.817 | −0.672 | 0.58 | 0.005 |
| Day 25 | Day 360 | ||||||||
|---|---|---|---|---|---|---|---|---|---|
| Shell Height | Shell Height | Living Weight | |||||||
| Luoyu | Jiangkou | Houhai | LY, JK, and HH | Luoyu | Jiangkou | Houhai | LY, JK, and HH | ||
| GCA | GCA | GCA | GCA | 5.46 × 10−6 | GCA | GCA | GCA | GCA | |
| B♀ | −7.06 | 2.378 | 8.742 | 2.44 | 2.52 × 10−7 | 2.271 | 1.226 | 2.896 | 0.67 |
| G♀ | −1.203 | 5.37 | −1.094 | 5.929 | −5.71 × 10−6 | −0.042 | −0.003 | −1.165 | −0.07 |
| N♀ | 8.263 | −2.915 | −7.648 | −2.5 | −5.72 | −2.229 | −1.223 | −1.731 | −0.61 |
| B♂ | −2.071 | 1.354 | 1.833 | 1.509 | 3.23 × 10−6 | 4.254 | 1.348 | −1.177 | 6.49 × 10−6 |
| G♂ | 3.188 | −6.735 | 3.847 | 5.618 | −2.21 × 10−8 | −1.109 | 8.284 | 1.347 | 5.50 × 10−6 |
| N♂ | 2.039 | −6.801 | −2.218 | −2.07 | −3.21 × 10−6 | 6.833 | −2.176 | −1.229 | −1.30 × 10−5 |
| SCA | SCA | SCA | SCA | SCA | SCA | SCA | SCA | SCA | |
| GB | −28.125 | 8.818 | 6.896 | 7.684 | 11.31 | 1.494 | 3.931 | 2.092 | 7.71 |
| NB | −15.244 | 8.084 | 1.289 | 5.79 | 5.39 | 1.699 | 0.726 | 1.316 | 1.82 |
| BG | −24.69 | 12.41 | 10.227 | 10.005 | 8.12 | 5.458 | 6.041 | 8.02 | 2.86 |
| NG | 12.796 | −5.67 | 1.596 | −1.009 | 2.00 | −1.778 | −1.543 | −0.271 | 1.58 |
| BN | −7.356 | 8.353 | 5.327 | 2.096 | 5.29 | 1.743 | 1.066 | 0.864 | 0.86 |
| GN | 11.472 | 5.276 | 2.264 | −1.484 | −1.75 | 4.017 | −0.82 | 1.093 | −1.84 |
| Sites | Source | Items | d.f. | MS | F-Value | p-Value |
|---|---|---|---|---|---|---|
| Luoyu | EO | Shell height | 2 | 2065.633 | 15.869 | 0.000 |
| Living weight | 2 | 1206.443 | 17.344 | 0.000 | ||
| Survival rate | 2 | 90.500 | 1.099 | 0.352 | ||
| MS | Shell height | 1 | 22,207.706 | 170.603 | 0.000 | |
| Living weight | 1 | 3004.705 | 43.197 | 0.000 | ||
| Survival rate | 1 | 1536.000 | 18.656 | 0.000 | ||
| EO * MS | Shell height | 2 | 7.902 | 0.061 | 0.941 | |
| Living weight | 2 | 92.604 | 1.331 | 0.266 | ||
| Survival rate | 2 | 6.500 | 0.079 | 0.924 | ||
| Jiangkou | EO | Shell height | 2 | 1611.953 | 26.767 | 0.000 |
| Living weight | 2 | 646.448 | 7.218 | 0.001 | ||
| Survival rate | 2 | 105.500 | 1.158 | 0.333 | ||
| MS | Shell height | 1 | 12,114.967 | 201.175 | 0.000 | |
| Living weight | 1 | 1903.538 | 21.254 | 0.000 | ||
| Survival rate | 1 | 793.500 | 8.708 | 0.008 | ||
| EO * MS | Shell height | 2 | 146.564 | 2.434 | 0.090 | |
| Living weight | 2 | 45.749 | 0.511 | 0.601 | ||
| Survival rate | 2 | 3.500 | 0.038 | 0.962 | ||
| Houhai | EO | Shell height | 2 | 599.501 | 2.756 | 0.065 |
| Living weight | 2 | 189.215 | 1.744 | 0.177 | ||
| Survival rate | 2 | 81.500 | 1.724 | 0.203 | ||
| MS | Shell height | 1 | 10,068.412 | 46.289 | 0.000 | |
| Living weight | 1 | 3598.862 | 33.168 | 0.000 | ||
| Survival rate | 1 | 962.667 | 20.359 | 0.000 | ||
| EO * MS | Shell height | 2 | 142.469 | 0.655 | 0.520 | |
| Living weight | 2 | 80.704 | 0.744 | 0.476 | ||
| Survival rate | 2 | 6.167 | 0.130 | 0.878 |
| Day 90 | Day 360 | ||||||||||
|---|---|---|---|---|---|---|---|---|---|---|---|
| Shell Height | Survival Rate | Shell Height | Living Weight | Survival Rate | |||||||
| MPH | HPH | MPH | HPH | MPH | HPH | MPH | HPH | MPH | HPH | ||
| Luoyu | GB | 19.94 | 19.21 | 16.88 | 15.38 | 30.75 | 27.29 | 16.10 | 6.19 | 30.08 | 26.98 |
| BG | 27.43 | 26.65 | 23.38 | 21.79 | 36.76 | 33.13 | 37.72 | 25.97 | 34.96 | 31.75 | |
| BN | 41.94 | 1.61 | 11.11 | 8.97 | 37.97 | 26.53 | 26.51 | 13.78 | 30.00 | 23.81 | |
| NB | 39.63 | −0.04 | 12.42 | 10.26 | 37.49 | 26.09 | 11.7 | 0.46 | 25.00 | 19.05 | |
| NG | 5.41 | −24.26 | 7.28 | 6.58 | 16.44 | 9.50 | 9.40 | 7.39 | 23.08 | 20.00 | |
| GN | 9.54 | −21.29 | 5.96 | 5.26 | 36.45 | 28.32 | 40.63 | 38.04 | 16.24 | 13.33 | |
| Jiangkou | GB | 11.2 | 1.71 | 20.30 | 14.29 | 28.45 | 18.92 | 27.07 | 22.44 | 24.79 | 21.67 |
| BG | 23.44 | 12.91 | 23.31 | 17.14 | 35.34 | 25.30 | 40.77 | 35.65 | 29.91 | 26.67 | |
| BN | −6.12 | −23.46 | 19.08 | 11.43 | 29.42 | 15.92 | 23.77 | 14.69 | 22.81 | 16.67 | |
| NB | 2.30 | −16.60 | 14.50 | 7.14 | 20.78 | 8.19 | 12.93 | 4.64 | 14.04 | 8.33 | |
| NG | 34.90 | 18.75 | 19.35 | 17.46 | 32.40 | 27.72 | 6.81 | 2.55 | 15.32 | 12.28 | |
| GN | 36.86 | 25.97 | 16.13 | 14.29 | 33.96 | 29.22 | 15.05 | 10.46 | 13.51 | 10.53 | |
| Houhai | GB | 40.94 | 35.09 | 20.97 | 19.05 | 18.48 | 18.07 | 17.24 | 14.70 | 60.98 | 43.48 |
| BG | 40.89 | 35.04 | 19.35 | 17.46 | 21.66 | 21.25 | 32.84 | 29.96 | 75.61 | 56.52 | |
| BN | 69.29 | 27.28 | 18.7 | 15.87 | 15.13 | 10.43 | 12.37 | 11.54 | 68.42 | 39.13 | |
| NB | 72.89 | 29.99 | 5.69 | 3.17 | 20.39 | 15.48 | 13.54 | 12.71 | 57.89 | 30.43 | |
| NG | 41.89 | 9.92 | 12.40 | 11.48 | 11.10 | 6.93 | 11.86 | 13.53 | 75.76 | 61.11 | |
| GN | 48.78 | 15.25 | 15.70 | 14.75 | 10.42 | 6.27 | 15.48 | 17.20 | 69.70 | 55.56 | |
| Source | Items | d.f. | MS | F-Value | p-Value |
|---|---|---|---|---|---|
| E | Shell height | 2 | 60522.829 | 416.433 | <0.001 *** |
| Living weight | 2 | 25782.817 | 271.718 | <0.001 *** | |
| Survival rate | 2 | 13206.500 | 186.515 | <0.001 *** | |
| G | Shell height | 1 | 43063.785 | 296.304 | <0.001 *** |
| Living weight | 1 | 8367.245 | 88.180 | <0.001 *** | |
| Survival rate | 1 | 3226.722 | 45.571 | <0.001 *** | |
| E * G | Shell height | 2 | 663.650 | 4.566 | 0.011 * |
| Living weight | 2 | 69.931 | 0.737 | 0.479 | |
| Survival rate | 2 | 32.722 | 0.462 | 0.632 |
Disclaimer/Publisher’s Note: The statements, opinions and data contained in all publications are solely those of the individual author(s) and contributor(s) and not of MDPI and/or the editor(s). MDPI and/or the editor(s) disclaim responsibility for any injury to people or property resulting from any ideas, methods, instructions or products referred to in the content. |
© 2025 by the authors. Licensee MDPI, Basel, Switzerland. This article is an open access article distributed under the terms and conditions of the Creative Commons Attribution (CC BY) license (https://creativecommons.org/licenses/by/4.0/).
Share and Cite
Liang, Y.; Hu, H.; Pan, Z.; Xu, C.; Li, Q. A Comparative Analysis of Growth, Survival, and Combining Ability Based on Diallel Crosses Among Three Selected Lines of the Fujian Oyster Crassostrea angulata with Normal, Golden, and Black Shell Colors. J. Mar. Sci. Eng. 2025, 13, 281. https://doi.org/10.3390/jmse13020281
Liang Y, Hu H, Pan Z, Xu C, Li Q. A Comparative Analysis of Growth, Survival, and Combining Ability Based on Diallel Crosses Among Three Selected Lines of the Fujian Oyster Crassostrea angulata with Normal, Golden, and Black Shell Colors. Journal of Marine Science and Engineering. 2025; 13(2):281. https://doi.org/10.3390/jmse13020281
Chicago/Turabian StyleLiang, Yuanxin, Hong Hu, Zhenzong Pan, Chengxun Xu, and Qi Li. 2025. "A Comparative Analysis of Growth, Survival, and Combining Ability Based on Diallel Crosses Among Three Selected Lines of the Fujian Oyster Crassostrea angulata with Normal, Golden, and Black Shell Colors" Journal of Marine Science and Engineering 13, no. 2: 281. https://doi.org/10.3390/jmse13020281
APA StyleLiang, Y., Hu, H., Pan, Z., Xu, C., & Li, Q. (2025). A Comparative Analysis of Growth, Survival, and Combining Ability Based on Diallel Crosses Among Three Selected Lines of the Fujian Oyster Crassostrea angulata with Normal, Golden, and Black Shell Colors. Journal of Marine Science and Engineering, 13(2), 281. https://doi.org/10.3390/jmse13020281
