On the Static Stability and Seakeeping Performance of a Submerged Floating Tunnel Module in Wet Tow
Abstract
1. Introduction
2. Mathematical Implementation
2.1. Statics of the SFTM
2.2. Statics of Towlines
2.3. Coupled Static Equilibrium Equation and Iterative Solution
2.4. Incremental Updates of Configuration with Finite Rotation Effects
2.5. Stress Resultants
2.6. Motion Response of the SFTM
2.7. Statistical Analysis
- : Standard deviation
- : The most probable extreme amplitude for 3 h,
3. Considerations in the Stability Analysis of the SFTM
3.1. Roll Stability
3.2. Destabilizing Moment (Munk Moment)
4. Numerical Results and Discussions
4.1. Static Offset Test in Wet Tow Conditions
4.2. Pre-Tensions
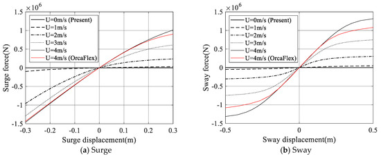
4.3. Load-Displacement Curves
4.4. Statistical Analysis Under Sea State 4
4.5. Discussion and Remarks
5. Conclusions
- Nonlinear stiffness, i.e., force-displacement curve, is observed, especially for surge, sway, and yaw DOFs associated with losing stiffness under stack towline.
- The Munk moment is especially important at higher yaw angles where larger yaw angles are seen at the same yaw moment. At lower angles, its effect is minor.
- The most probable extreme heave amplitude is considerable, which may negatively impact the roll stability.
- However, the extreme roll amplitude appears inappreciable, which is the limitation in the present frequency-domain analysis.
- In sea state 4, the extreme sway and yaw amplitudes exceed the linear duration of load-displacement curves, which are rapidly decreased due to the destabilizing moment and instantaneous slack of towlines located on the opposite side of the applied loads, which may reduce the course stability.
Author Contributions
Funding
Institutional Review Board Statement
Informed Consent Statement
Data Availability Statement
Conflicts of Interest
References
- Remseth, S.; Leira, B.J.; Okstad, K.M.; Mathisen, K.M.; Haukås, T. Dynamic Response and Fluid/Structure Interaction of Submerged Floating Tunnels. Comput. Struct. 1999, 72, 659–685. [Google Scholar] [CrossRef]
- Kim, G.-J.; Kwak, H.-G.; Jin, C.; Kang, H.; Chung, W. Three-Dimensional Equivalent Static Analysis for Design of Submerged Floating Tunnel. Mar. Struct. 2021, 80, 103080. [Google Scholar] [CrossRef]
- Jin, C.; Chung, W.C.; Kwon, D.-S.; Kim, M. Optimization of Tuned Mass Damper for Seismic Control of Submerged Floating Tunnel. Eng. Struct. 2021, 241, 112460. [Google Scholar] [CrossRef]
- Jeong, K.; Kim, S. Structural Response of Submerged Floating Tunnels with Free-End Boundary Condition Based on an Analytical Approach. Appl. Ocean. Res. 2024, 143, 103861. [Google Scholar] [CrossRef]
- Jeong, K.; Min, S.; Jang, M.; Won, D.; Kim, S. Feasibility Study of Submerged Floating Tunnels with Vertical and Inclined Combined Tethers. Ocean. Eng. 2022, 265, 112587. [Google Scholar] [CrossRef]
- Jin, B.; Kim, J. Considerations on the Behavior of Submerged Floating Tunnel Module During Immersion Stage. In Proceedings of the International Conference on Vibration Problems 2019, Crete, Greece, 1–4 September 2019. [Google Scholar]
- Kwon, D.-S.; Jin, C.; Kim, M. Prediction of Dynamic and Structural Responses of Submerged Floating Tunnel Using Artificial Neural Network and Minimum Sensors. Ocean. Eng. 2022, 244, 110402. [Google Scholar] [CrossRef]
- Luo, G.; Zhang, Y.; Ren, Y.; Guo, Z.; Pan, S. Dynamic Response Analysis of Submerged Floating Tunnel Subjected to Underwater Explosion-Vehicle Coupled Action. Ocean. Eng. 2021, 232, 109103. [Google Scholar] [CrossRef]
- Luo, W.; Huang, B.; Tang, Y.; Ding, H.; Li, K.; Cheng, L.; Ren, Q. Numerical Simulation of Dynamic Response of Submerged Floating Tunnel under Regular Wave Conditions. Shock Vib. 2022, 2022, 4940091. [Google Scholar] [CrossRef]
- Min, S.; Jeong, K.; Noh, Y.; Won, D.; Kim, S. Damage Detection for Tethers of Submerged Floating Tunnels Based on Convolutional Neural Networks. Ocean. Eng. 2022, 250, 111048. [Google Scholar] [CrossRef]
- Won, D.; Seo, J.; Kim, S. Dynamic Response of Submerged Floating Tunnels with Dual Sections under Irregular Waves. Ocean. Eng. 2021, 241, 110025. [Google Scholar] [CrossRef]
- Won, D.H.; Park, W.S.; Kim, S. Cyclic Bending Performance of Joint on Precast Composite Hollow Rc for Submerged Floating Tunnels. Mar. Struct. 2021, 79, 103045. [Google Scholar] [CrossRef]
- Lee, I.; Jin, C.; Kim, M. Static Stability of a Submerged Floating Tunnel Module in Wet tow. In Proceedings of the 2022 Structures Congress (Structures22), Seoul, Republic of Korea, 16–19 August 2022. [Google Scholar]
- Wang, J.J.; Lu, R.; Lu, N. Truss Spar Strength and Fatigue Analysis for Wet tow. In Proceedings of the ISOPE International Ocean and Polar Engineering Conference 2003, Honolulu, HI, USA, 25–30 May 2003. [Google Scholar]
- Sherman, M.; Sablok, A.; Kopsov, I.; Chen, L. Design of a Floating Spar Wind Platform with an Integrated Substructure and Tower. In Proceedings of the Offshore Technology Conference 2019, Houston, TX, USA, 6–9 May 2019. [Google Scholar]
- Amaral, G.A.; Pesce, C.P.; Franzini, G.R. Mooring System Stiffness: A Six-Degree-of-Freedom Closed-Form Analytical Formulation. Mar. Struct. 2022, 84, 103189. [Google Scholar] [CrossRef]
- Kim, B.W.; Sung, H.G.; Kim, J.H.; Hong, S.Y. Comparison of Linear Spring and Nonlinear Fem Methods in Dynamic Coupled Analysis of Floating Structure and Mooring System. J. Fluids Struct. 2013, 42, 205–227. [Google Scholar] [CrossRef]
- Orcina. Orcaflex Manual; Orcina Ltd.: Ulverston, UK, 2024. [Google Scholar]
- Ran, Z. Coupled Dynamic Analysis of Floating Structures in Waves and Currents; Texas A&M University: College Station, TX, USA, 2000. [Google Scholar]
- Garrett, D.L. Dynamic Analysis of Slender Rods. J. Energy Resour. Technol. 1982, 104, 302–306. [Google Scholar] [CrossRef]
- Yang, M.; Teng, B. Static and Dynamic Analysis of Mooring Lines by Nonlinear Finite Element Method. China Ocean. Eng. 2010, 24, 417–430. [Google Scholar]
- Dvorkin, E.N.; Onte, E.; Oliver, J. On a Non-Linear Formulation for Curved Timoshenko Beam Elements Considering Large Displacement/Rotation Increments. Int. J. Numer. Methods Eng. 1988, 26, 1597–1613. [Google Scholar] [CrossRef]
- Triantafyllou, M.S.; Hover, F.S. Maneuvering and Control of Marine Vehicles; Massachusetts Institute of Technology: Cambridge, MA, USA, 2003. [Google Scholar]
- Bathe, K.-J. Finite Element Procedures—Second Edition; Klaus-Jurgen Bathe: Watertown, MA, USA, 2006. [Google Scholar]
- John, F. On the Motion of Floating Bodies II. Simple Harmonic Motions. Commun. Pure Appl. Math. 1950, 3, 45–101. [Google Scholar] [CrossRef]
- Havelock, T.H. Waves Due to a Floating Sphere Making Periodic Heaving Oscillations. Proc. R. Soc. Lond. Ser. A Math. Phys. Sci. 1955, 231, 1–7. [Google Scholar]
- Bakti, F.P.; Jin, C.; Kim, M.-H. Practical Approach of Linear Hydro-Elasticity Effect on Vessel with Forward Speed in the Frequency Domain. J. Fluids Struct. 2021, 101, 103204. [Google Scholar] [CrossRef]
- Hasselmann, K.; Barnett, T.P.; Bouws, E.; Carlson, H.; Cartwright, D.E.; Enke, K.; Ewing, J.; Gienapp, A.; Hasselmann, D.; Kruseman, P. Measurements of Wind-Wave Growth and Swell Decay During the Joint North Sea Wave Project (JONSWAP). Ergaenzungsheft Dtsch. Hydrogr. Z. Reihe A 1973. Available online: https://pure.mpg.de/rest/items/item_3262854_4/component/file_3282032/content (accessed on 11 November 2024).
- Lee, C.H. Wamit Theory Manual; Massachusetts Institute of Technology: Cambridge, MA, USA, 1995. [Google Scholar]
- Cao, X.; Zhang, H.; Zhang, N. Research on Dynamic Responses of Multi-Float Systems During Wet towing. Ocean. Eng. 2024, 312, 119226. [Google Scholar] [CrossRef]
- OCIMF. Static Towing Assembly Guidelines (Stag), 1st ed.; OCIMF: London, UK, 2020. [Google Scholar]
- Zhang, X.; Bandyk, P.; Beck, R.F. Seakeeping Computations Using Double-Body Basis Flows. Appl. Ocean. Res. 2010, 32, 471–482. [Google Scholar] [CrossRef]














| Parameters | Value |
|---|---|
| Tow speeds (m/s) | 0, 1, 2, 3, 4 |
| Wind speed (10 m above MWL) (m/s) | 6 |
| Angles () at fairleads (degree) | 35, 40, 45 |
| Water depth (m) | 70 |
| Specifications | Value | |
|---|---|---|
| SFTM | Length (m) | 160 |
| Diameter (m) | 23 | |
| Draft (m) | 11.5 | |
| ) (m) | 0.1 | |
| ) | 0.82/0.4 | |
| ) | 0.82/0.4 | |
| Towlines | Density (kg/m3) | 1500 |
| Unstretched length (m) | 60 | |
| Axial stiffness (kN) | 1.5 × 105 | |
| Constraint at SFTM | Hinged | |
| Constraint at tugboats | Clamped (with fixed ) | |
| ) | 0.0/0.0 (neglected) | |
| ) | 0.01/1.2 |
| U (m/s) | 0 | 1 | 2 | 3 | 4 |
|---|---|---|---|---|---|
| Equiv. GMT (m) | 0.1014 | 0.1072 | 0.1257 | 0.1507 | 0.1733 |
| Hs (m) | Tp (s) | γ | β (°) | U (m/s) |
|---|---|---|---|---|
| 2.44 | 8.1 | 2.14 | 0–360 (15° interval) | 0, 1, 2, 3, 4 |
| DOF | Max. Value | β (°) |
|---|---|---|
| Surge | 0.25 m | 0 |
| Sway | 0.34 m | 90 |
| Heave | 0.59 m | 90 |
| Roll | 0.017 deg. | 90 |
| Pitch | 0.71 deg. | 60 |
| Yaw | 0.85 deg. | 30 |
Disclaimer/Publisher’s Note: The statements, opinions and data contained in all publications are solely those of the individual author(s) and contributor(s) and not of MDPI and/or the editor(s). MDPI and/or the editor(s) disclaim responsibility for any injury to people or property resulting from any ideas, methods, instructions or products referred to in the content. |
© 2025 by the authors. Licensee MDPI, Basel, Switzerland. This article is an open access article distributed under the terms and conditions of the Creative Commons Attribution (CC BY) license (https://creativecommons.org/licenses/by/4.0/).
Share and Cite
Lee, I.; Jin, C.; Kim, S.-J.; Kim, M. On the Static Stability and Seakeeping Performance of a Submerged Floating Tunnel Module in Wet Tow. J. Mar. Sci. Eng. 2025, 13, 77. https://doi.org/10.3390/jmse13010077
Lee I, Jin C, Kim S-J, Kim M. On the Static Stability and Seakeeping Performance of a Submerged Floating Tunnel Module in Wet Tow. Journal of Marine Science and Engineering. 2025; 13(1):77. https://doi.org/10.3390/jmse13010077
Chicago/Turabian StyleLee, Ikjae, Chungkuk Jin, Sung-Jae Kim, and Moohyun Kim. 2025. "On the Static Stability and Seakeeping Performance of a Submerged Floating Tunnel Module in Wet Tow" Journal of Marine Science and Engineering 13, no. 1: 77. https://doi.org/10.3390/jmse13010077
APA StyleLee, I., Jin, C., Kim, S.-J., & Kim, M. (2025). On the Static Stability and Seakeeping Performance of a Submerged Floating Tunnel Module in Wet Tow. Journal of Marine Science and Engineering, 13(1), 77. https://doi.org/10.3390/jmse13010077

