Abstract
The exploration of ship collision avoidance behavior characteristics can provide a theoretical basis for ship collision risk assessment and collision avoidance decision-making, which is significant for ensuring maritime navigation safety and the development of intelligent ships. In order to scientifically and effectively analyze the characteristics of ship collision-avoidance behavior and to seek the intrinsic connections among ship collision-avoidance behavior feature parameters(CABFPS), this study proposes a method that combines the Apriori algorithm and complex network theory to mine ship collision-avoidance behavior characteristics from massive AIS spatiotemporal data. Based on obtaining ship encounter samples and CABFPS from AIS data, the Apriori algorithm is used to mine the association rules of motion parameters, and the maximum mutual information coefficient is employed to represent the correlation between parameters. Complex networks of CABFPS for different encounter situations are constructed, and network topological indicators are analyzed. Mutual information theory is applied to identify key parameters affecting ship collision- avoidance behavior under different situations. The analysis using actual AIS data indicates that during navigation, the relationships among various parameters are closely linked and prone to mutual influence. The impact of CABFPS on ship collision-avoidance actions varies under different encounter scenarios, with relative distance and DCPA having the greatest influence on ship collision-avoidance actions. This method can comprehensively and accurately mine the correlations between CABFPS and the influence mechanism of parameters on collision-avoidance actions, providing a reference for intelligent ship navigation and the formulation of collision-avoidance decisions.
1. Introduction
Maritime transportation plays a pivotal role in international trade. The development of the shipping industry and the surge in the number of ships, the trend towards intelligent, large-scale, and high-speed ships has increased the likelihood of maritime traffic accidents. This poses a significant threat to the normal operation of maritime traffic and the safety of life and property. Among all types of maritime traffic accidents, ship collisions account for the highest proportion []. According to incomplete statistics, approximately 30–40% of maritime traffic accidents are caused by collisions. The causes of ship collision accidents are diverse, such as inaccurate judgment of encounter situations, inappropriate timing and amplitude of collision avoidance actions, and non-standard collision-avoidance behaviors. In actual navigation, crews follow the International Regulations for Preventing Collisions at Sea(COLREGS) to take collision-avoidance actions. However, COLREGS provides vague qualitative guidance for determining collision risks and taking collision-avoidance actions, which is difficult to adapt to the increasingly complex maritime traffic environment. Crews must integrate specific navigation scenarios and collision-avoidance experience to take evasive actions, yet collisions can still occur due to inaccurate assessments of encounter situations and collision risks, irrational decision-making for collision avoidance actions, and inappropriate timing of maneuvers. Extracting scientifically and reasonable characteristics of collision-avoidance behavior from successful evasive action data on the collision-avoidance behaviors of experienced crews can uncover the actual patterns of ship collision-avoidance under various encounter situations. This can provide detailed and accurate theoretical and empirical foundations for crews, intelligent ships, and unmanned vessels to assess collision risks and formulate safe and effective collision avoidance decisions. Therefore, the analysis and mining of ship collision-avoidance behaviors hold significant theoretical research implications and practical application value.
Ship collision risk assessment is a practical method for reducing maritime accidents and a prerequisite for ships to make collision-avoidance decisions, providing crucial information for the danger judgment. Maritime intelligent navigation has always been an important part of intelligent transportation systems, and the formulation of intelligent ship collision-avoidance decisions is a key issue in intelligent navigation. Intelligent ships make decisions based on real-time perception of collision risks. Research on ship collision- avoidance behavior characteristics can improve the accuracy of collision risk determination and provide more detailed and accurate reference suggestions for intelligent ships collision-avoidance decisions, assisting in making the most economical and effective path planning. Therefore, the study of ship collision avoidance behaviors has always been an important content in maritime traffic.
Ship collision avoidance is a complex and dynamic interactive process, and the analysis of ship collision-avoidance-behavior characteristics is crucial for uncovering the spatiotemporal distribution of ship behavior patterns, characteristics of ship maneuvering behavior [], and the correlation and importance of motion parameters. In order to conduct a more comprehensive and in-depth study of ship collision-avoidance behavior characteristics, this paper introduces complex network theory to describe the relationships among ship collision-avoidance behavior feature parameters(CABFPS) and to assess the extent to which CABFPS influence the formulation of ship collision-avoidance decision-making. The contributions of the research include the following: (1) analyzing the distribution of CABFPS under different encounter situations, and quantifying the critical conditions for ship collision-avoidance actions according to the situations; (2) constructing a complex network of ship collision-avoidance parameters to explore the correlation and mutual influence among motion parameters; and (3) identifying the differences in ship collision- avoidance actions under different encounter situations and the key factors that affect ship collision-avoidance behavior.
The paper is organized as follows: Section 2 reviews the relevant studies on the analysis of ship collision-avoidance characteristics, focusing on the sources of collision-avoidance data acquisition and the methods used for analysis; Section 3 elaborates on the research methods and the application of the proposed methods; Section 4 analyzes the distribution of ship collision-avoidance features and establishes CABFPS networks under different encounter situations; Section 5 analyzes the topological structure of constructed networks; Section 6 discusses the main findings of the study and potential directions for improvement in detail; and Section 7 provides a summary of the paper.
2. Literature Review
Numerous researchers have proposed various methods for analyzing ship collision avoidance behaviors. According to the perspective of data sources, analyzing ship collision-avoidance behaviors can be classified into three main categories: traffic surveys, simulation experiments, and AIS data.
Real navigation data for studying collision-avoidance behavior and collision accidents are commonly obtained through traffic surveys. Statistical methods are frequently employed to analyze the characteristics of ship collision avoidance, focusing primarily on the amplitude of collision avoidance, the timing of avoidance maneuvers, and various motion parameter indicators. Among these, DCPA, TCPA and relative distance are the most widely used indicators. Li utilized questionnaires and actual maritime observations to conduct a more in-depth analysis of the relationships between collision-avoidance timing, avoidance amplitude, the speeds of the two ships, and the encounter situations through statistical analysis and grey relational analysis []. Weng statistically analyzed DCPA and TCPA of ships under different encounter situations and their patterns of change, establishing a ship collision risk assessment method with DCPA and TCPA as evaluation factors to determine the optimal avoidance scheme []. Zhang conducted a questionnaire survey on the timing of ship steering for avoidance, comprehensively considered the impact of various factors on the timing of avoidance, and established a model for the optimal steering avoidance timing for give-way ships using fuzzy decision-making methods []. Baldauf M.et al. showed through statistical analysis of actual ship collision- avoidance actions that changing ship speed is not usually the first choice during the collision-avoidance process; ships tend to prefer changing course to reduce the risk of collision []. Kim D. concluded from an investigation of 200 collision cases in Korean waters that the maximum collision risk-bearing angle (MCRBA) for ships is 112.5°–135°, and the distance at which collision risk begins to increase significantly (DCRBIS) is 1–1.2 NM; it is necessary for crews to take collision-avoidance actions before the distance between the two ships is less than 1 NM [].
Simulation experiments utilize mathematical modeling and maritime simulators to simulate ship collision-avoidance behavior, providing more comprehensive and substantial data for the development of collision-avoidance plans and the assessment of collision risk. Szlapczynski R. et al. determined the last moment at which successful collision-avoidance maneuvers could be executed by simulating various encounter situations, quantifying the critical conditions under which ships take evasive actions []. Johansen T A. et al. proposed a model predictive control-based ship collision-avoidance system that considers the number of target ships and environmental factors such as wind direction and ocean currents, steering and adjusting speed to avoid collisions, and proposed 15 avoidance strategies []. Ahmed Y A. et al. analyzed possible collision-avoidance actions in the ship collision process based on ship motion dynamics, establishing fuzzy membership functions to measure the collision risk of each ships in multi-ship encounter situations using DCPA and TCPA []. Yim J. et al. simulated the collision avoidance behavior of 100 crews in different scenarios using maritime simulators and established successful and failed collision avoidance models based on simulation data []. Mohovic D. et al. simulated 168 sets of steering experiments using maritime simulators, determining the minimum distance and closest collision-avoidance time at which collision avoidance could be achieved through the ship’s own maneuverability []. Li established models for the dynamic minimum safe distance of ships in open and restricted waters, and further constructed models for the latest steering distance for stand-on ships and give-way ships in open and restricted waters []. Wen et al. studied ship behavior from three aspects: individual ship behavior, ship-ship interaction, and multi-ship behavior, establishing the interactive effect between ships based on ship motion-status attributes, achieving the integration of micro and macro models of ship behavior, and analyzing multi-ship behavior from a macro perspective [].
The Automatic Identification System (AIS) is not only a primary device for ships to understand the intentions of other ships, but also an essential technological tool for maritime regulatory authorities to track and supervise ships. It has widespread applications in the fields of ship behavior analysis, ship-collision risk assessment, and ship collision avoidance decision-making. The emergence of AIS data has greatly enriched the information sources for ship collision-avoidance behavior research, encompassing a vast library of ship navigation information, providing valuable data support for researchers. Zhang et al. proposed a method for detecting near miss from AIS data, applying ship domain, relative distance, relative speed and relative bearing, to construct a Ship Conflict Risk Ordering (VCRO) model to determine the risk level of near-miss scenarios. To better assess the collision risk between ships, the VCRO model was further improved by considering ship dimensions and minimum distance to collision (MDTC), using VCRO to identify the risk of encounter situations and thus rank the collision risk of ships [,]. Gao et al. utilized the T-SNE algorithm to reduce the extracted 7-dimensional AIS data to 3 dimensions and visualize it, then applied spectral clustering algorithms to the reduced data for cluster analysis to reflect the objective laws of ship maneuvering behavior, thereby completing the identification of ship collision-avoidance-behavior patterns []. Yang et al. utilized the Fujii ship domain model to detect near miss scenarios, defined the duration of dangerous passages and average duration, and established a near missing collision time model. Subsequently, the proposed model was validated with AIS data from the Bohai Sea area, finding that the duration of near miss is related to ship type and scale []. Rong et al., based on the sliding window algorithm, considered relative distance, and turning rate and its derivatives to extract ship collision-avoidance behavior from AIS data, a method that can describe the spatial distribution of positions when taking collision-avoidance actions []. Hwang et al. collected AIS data from the West Sea of Korea for 12 months and used data-driven methods and clustering models to identify and classify ship collision avoidance behavior under various conditions, using the relative bearing between two ships to explain the navigational relationship []. Shu et al., through the analysis of AIS data from the Port of Rotterdam in the Netherlands, found that wind, visibility, currents and encounter situations significantly affect changes in ship speed and heading, indicating that ships adjust their speed, heading and relative distance from the approaching ships during encounters to take evasive actions []. Zhou et al. conducted an analysis of AIS data from the Port of Rotterdam in the Netherlands, along with collected meteorological and hydrological data. Performing a regression analysis on ships of similar scales, indicated that the influence of currents on ship speed is greater than wind, and the impact of wind on ship heading is greater than currents. Statistical analysis revealed that changes in ship headings during collision avoidance are a series of small-angle alterations, rather than direct turns []. Chen combined the weighted KNN and hyper-sphere support vector machines for classification decision-making of ship-encounter data, dividing it into seven collision-avoidance-process patterns. Based on the collision-avoidance knowledge obtained from training AIS data with HSSVM, a knowledge base for ship-collision-avoidance patterns was constructed using convolutional neural networks, and its application was demonstrated [].
In addition to obtaining valid ship collision-avoidance data, employing appropriate research methodologies is also a critical issue in the study of ship collision avoidance behavior characteristics. On the methodological level, the evolution has ranged from simple statistical descriptions based on survey data to complex analyses involving mathematical modeling and intelligent algorithms. However, there are still deficiencies in the study of ship collision-avoidance characteristics, which are mainly manifested in the following:
(1) The majority of studies aim to analyze the specific actions taken by ships in collision-avoidance scenarios and to quantify the critical conditions and timing for ship collision-avoidance maneuvers. However, these fail to delve into the analysis of ship collision-avoidance characteristics under different encounter situations, which may lead to a certain degree of subjectivity in the selection of feature parameters for subsequent research on collision-risk and collision-avoidance decision-making, thereby affecting the accuracy and reliability of the models.
(2) Current research often focused on a simple statistical analysis of ship behavior, failing to deeply analyze the interrelationship among various motion parameters that characterize ship behavior, such as DCPA, TCPA and relative distance, as well as the quantification of the impact of these parameters on collision-avoidance actions.
(3) Ship collision-avoidance actions are influenced by various factors including water type, navigation conditions, and traffic density. The methods currently employed often do not adequately consider the factors affecting ship navigation, and are mostly based on studies conducted in specific water areas. This limits the applicability of the models established, making results difficult to generalize.
At present, there is a scarcity of research on the correlation analysis of motion parameters and the determination of key parameters during the collision avoidance process. However, complex network theory offers a new perspective for revealing the intrinsic connections between systems and identifying key factors, serving as an effective method for describing and analyzing complex processes. In the context of maritime traffic, complex networks are primarily utilized to study areas such as collision risk [], and the complexity of maritime traffic [,,,].These networks can effectively reflect the interactive effects and influence levels among factors affecting collision accidents, regional conflict risks, patterns of traffic situation evolution and the complexity of traffic structures.
3. Research Methods
3.1. Research Framework Based on Complex Network
The objective of this study is to explore the correlation among CABFPS and to investigate the influence mechanism of factors on ship collision avoidance behavior under different encounter situations. The research framework primarily encompasses four processes: extracting the sample sets of collision-avoidance behavior in different encounter situations from AIS data, mining association rules between CABFPS, constructing complex networks and analyzing collision-avoidance-behavior characteristics. Firstly, ship-collision-avoidance-behavior data are extracted from AIS, based on the changes in heading and speed of ships during actual navigation. Secondly, the distribution of CABFPS is visually displayed, based on the extracted collision-avoidance data, thereby establishing CABFPS database. Then, association rules between the CABFPS under different encounter situations are mined, and the results of the association-rule mining are used to determine the network nodes and the connections between nodes to establish a complex network model. Finally, by analyzing the network topology and important nodes, the key parameters affecting ship collision-avoidance behavior under different encounter situations are identified. The research framework is shown in Figure 1.

Figure 1.
Research framework.
3.2. Collision Avoidance-Behavior-Feature Parameters
3.2.1. Encounter Situations
The classification of encounter situations is a prerequisite for ships to clarify their responsibilities and take collision-avoidance actions. To standardize ship behavior, COLREGS defines three types of encounter situations: head-on, crossing, and overtaking, as shown in Figure 2. However, a ship encounter is a continuous dynamic process, and classification based on relative bearing cannot accurately describe the true encounter status of ships. Therefore, it is necessary to determine the encounter situation in conjunction with ship collision risk []. COLREGS rules 5-8 and 13-17 qualitatively establish the corresponding navigation rules that the give-way ship must follow from the time it enters the encounter process to the process of assessing risks [,], as shown in Figure 3.

Figure 2.
Division of encounter situations.

Figure 3.
Ship collision avoidance action.(a) head-on; (b) starboard small-angle crossing; (c) starboard larger-angle crossing; (d) port larger-angle crossing; (e) port small-angle crossing; (f) overtaking.
3.2.2. Relative Motion Parameters
Ship motion parameters are important indicators for judging encounter situations, assessing collision risks and exploring the characteristics of ship collision avoidance behavior. Given the position (x0, y0), heading CO and speed VO of the original ship, and the position (xT, yT), heading CT, and speed VT of the target ship, the calculated ship motion parameters include: relative distance(Dr), relative velocity(Vr), relative velocity heading(Cr), DCPA, TCPA, speed ratio(K), relative bearing of the original ship(AO), relative bearing of the target ship(AT) and course difference(C). The geometric diagram of the ship encounter is shown in Figure 4.

Figure 4.
Geometry of ship encounter.
The components of the original ship’s and the other ship’s velocity vectors in the X and Y axes, and the calculations of various motion parameters are as follows:
In the context of maritime navigation, DCPA and TCPA are crucial parameters for assessing encounter situations []. To obtain a comprehensive understanding of the ship collision-avoidance process, we integrate DCPA, TCPA and Dr as criteria for determining encounter situations, as follows:
To provide a more comprehensive reflection of ship collision-avoidance behavior and the amplitude of avoidance maneuvers, we take into account the variations in ship speed and heading as the basis for extracting ship collision-avoidance actions, as follows:
where ts represents the time at which collision avoidance begins; te represents the time at which collision avoidance ends; t represents the duration of the collision avoidance maneuver; Δc is the cumulative change in heading over a continuous 10 minutes; and Δs is the cumulative change in speed over a continuous 10 min.
3.3. Association-Rule Mining
Before the establishment of collision avoidance parameter networks, it is necessary to ascertain the connectivity between nodes, and association-rules mining is an effective method for constructing the interconnections of network edges []. Association-rule mining aims to quantitatively analyze the intrinsic connections between various factors, with its core objective being the identification of strong rules that reflect the interdependencies and associations between different entities []. Among the methods, the Apriori algorithm is one of the most classic algorithms in association-rule mining; it filters all association rules that meet the minimum support and confidence thresholds and iteratively discovers frequent item sets to generate association rules []. Considering the Apriori algorithm is easy to understand and widely applied, and given the moderate size of the database, this paper selected the Apriori algorithm to deeply mine the potential association rules among CABFPS. The formulas for calculating association rules are as follows:
where support(A) represents the support degree of event A; denotes the number of transactions in the dataset where A occurs; signifies the number of transactions in the dataset where both A and B occur simultaneously; N is the total number of transactions in the dataset; the frequency with which B appears in transactions that include A; measures the influence of the occurrence of A on B.
In many cases, it is difficult to intuitively represent the associations among multiple variables. The Maximal Information Coefficient (MIC) can not only quantify the linear and nonlinear relationships between variables but also uncovers non-functional dependencies between them [], providing a clearer representation of the associations among CABFPS. Consequently, this paper employs MIC to illustrate the correlations between parameters. The MIC value ranges between 0 and 1, with stronger correlations between variables corresponding to higher MIC values, and an MIC value of 0 when variables are independent of each other [].
3.4. Determination of Complex-Network Construction Metrics
Complex network can be regarded as a high-level topological abstraction of real complex systems, serving as a theoretical tool for studying the connections between elements in complex systems and the overall behavior of the system []. According to complex network theory, a network G is an ordered pair composed of a set of nodes V(G) and a set of edges E(G). For weighted networks, this also includes a set of edge weights W(G).
3.4.1. Selection of Network Topology Indicators
For a network containing N nodes, its adjacency matrix A is an N × N matrix as follows:
where aij represents whether there is an edge between node i and node j. If there is an edge, aij = 1; otherwise, aij = 0. In the collision avoidance parameter networks, N represents the number of collision avoidance database parameters.
For a weighted network, its weighted adjacency matrix W is as follows:
where wij represents the weight of the edge between node i and node j. In the collision avoidance parameter network, the magnitude of wij is determined by the results of the association rule mining between parameters.
Based on the weighted adjacency matrix W, the collision avoidance parameters networks can be constructed. After establishing the network, the selection of topological metrics is also crucial. These metrics reflect the characteristics of the network nodes and their connections []. By combining the actual collision avoidance behavior of ships and the connections between parameters, the following metrics are selected to analyze the network characteristics.
(1) Node degree
Node degree refers to the number of edges connected to nodes, in the context of collision avoidance parameters networks, a higher node degree implies a greater frequency of occurrence for the corresponding parameter within its respective range. The calculation is as follows:
where Ki is the degree of the node; eij is whether node i to node j is connected or not, with 1 if connected and 0 otherwise.
(2) Node Strength
Node strength refers to the sum of the weights of the edges connected to that node, which reflects the degree of connectivity between a node and other nodes. The calculation is as follows:
where Si represents the strength of node i; and wij denotes the weight of the edge from node i to node j.
(3) Betweenness centrality
Betweenness centrality refers to the proportion of all shortest paths in the network that pass through a given node, reflecting the transitivity of information between parameters in the collision avoidance parameter network. The calculations are as follows:
where Bi represents the betweenness centrality of node i; djl(i) denotes the number of shortest paths from node j to node i that pass through node i; dij represents the length of the shortest path between node i and node j; and B is the average betweenness centrality of the network.
(4) Clustering coefficient
Clustering coefficient describes the probability that the neighbors of a node are connected to each other, reflecting the degree of mutual influence among parameters. The calculations are follows:
where Ci represents the clustering coefficient of node i; Ei denotes the number of edges that actually exist among the neighbors of node i; and Cl is the average clustering coefficient of the network.
(5) The network diameter and the average path length
The network diameter refers to the length of the longest shortest path between any two nodes within a network, which reflects the degree of network compactness. The average path length refers to the average of the shortest path lengths between all pairs of nodes in the network, reflecting the average number of steps required to establish a connection between any two nodes within the network. The calculation formulas are as follows:
where D represents the network diameter; and L represents the average path length.
3.4.2. Selection of Node Importance
The assessment of node importance within a network aims to identify and quantify key nodes that significantly impact the overall functionality and stability of the network, playing a crucial role in information dissemination []. To achieve this objective, scholars continuously explore new algorithms to obtain a more comprehensive and objective evaluation of node importance, including the PageRank algorithm [], multi-attribute fusion methods [], and entropy weight methods [], among others. However, these methods often involve subjectivity in the selection of multi-attribute indicators and the determination of indicator weights, neglecting the global role of nodes and featuring high computational complexity.
The study of ship collision-avoidance-parameters networks requires not only an analysis of the global influence of nodes, but also consideration of the coupling relationships between characteristic parameters. Methods based on mutual information can quantify the connection strength and dependency between nodes, which includes not only the local characteristics of nodes but also reflects the role and status of nodes within the global network []. Therefore, this paper adopts a node importance-evaluation method based on mutual information theory. By calculating the mutual information between nodes, a more comprehensive evaluation of parameter importance can be obtained. The formulas for mutual information calculation are as follows:
where I(i,j) represents the mutual information from node i to node j; Ii denotes the mutual information quantity of node i. The greater the value of Ii, the more significant the importance of node i; conversely, if Ii is negative, node i is considered to be of less importance [].
4. Collision-Avoidance-Feature Network Construction
4.1. Extraction of Collision-Avoidance Data from AIS
The water area with a longitude range of (079.4° W, 080.3° W) and a latitude range of (24.8° N, 27.0° N) was selected as the research area. This area is an important shipping channel and tourist destination, with a high density of shipping traffic and a complex navigation environment. There are large number of encounter situations, with near-missing and collision-avoidance behaviors occuring in the area, and therefore sufficient sample data can be obtained for the feature analysis of collision avoidance behavior. Following the research framework shown in Figure 1, the research subjects selected are all ships equipped with AIS and from which we extracted 771 encounter data; the process of extracting collision avoidance behavior is detailed in References [,]. The distribution of the encounter sample data is shown in Figure 5, and the types of encounter ships in the sample are shown in Figure 6. Among them, there are 482 crossing situations, accounting for 62.52% of the total encounter samples, 118 overtaking situations, accounting for 15.3% of the total samples and 171 headon situations, accounting for 22.18% of the total samples. Figure 6 shows that, among the extracted encounter samples, the proportion of encounters between cargo ships is the highest, with encounters between cargo ships and oil ships accounting for more than half of the total encounters, while the encounters between passenger ships are the lowest.

Figure 5.
The study area and encounter situations distribution.

Figure 6.
Ship types under different encounter situations.
4.2. The Distribution of CABFPS
An analysis of the statistical characteristics of CABFPS when ships take collision avoidance actions under different encounter situations is conducted, as shown in Figure 7, where blocks closer to red in the figure represents higher frequencies of feature parameters within that range.


Figure 7.
Distribution of characteristic parameters of collision-avoidance behavior under different encounter situations. (a) DCPA; (b) TCPA; (c) Dr; (d) K; (e) V; (f) AO; (g) C; (h) Cr.
Figure 7 shows significant differences in the distribution of CABFPS under different encounter situations. For example, in head-on situations, 94.1% of the DCPA are in the range (0 NM, 3.5 NM). In crossing situations, for the starboard crossing and port crossing scenarios, 94.7% and 76.8% of DCPA are in the range (0 NM, 3.5 NM), respectively. In overtaking situations, 71.1% of DCPA are in the range (-2 NM, 3 NM).
In summary, in overtaking situations, Dr, DCPA and TCPA are mainly distributed in a relatively narrow range, while in head-on situations, Dr, DCPA and TCPA are distributed over a wider range. This indicates that ships in head-on situations tend to take collision-avoidance actions at greater distances whereas ships in overtaking situations take collision-avoidance actions at smaller distances and the latest times. Starboard crossing compared to port crossing has a wider distribution of Dr, DCPA and TCPA, indicating that the timing for collision avoidance in starboard crossing is earlier than in port crossing. The speed difference of ships in head-on situations is the smallest, while in overtaking situations it is the largest. This is attributed to the fact that in overtaking situations, the overtaking ship usually has a higher speed, to ensure that it can effectively pass the preceding ships while maintaining a safe distance, resulting in a larger speed difference between the two ships.
4.3. Collision Avoidance-Behavior-Feature Distribution
4.3.1. Distribution of Collision-Avoidance Amplitude
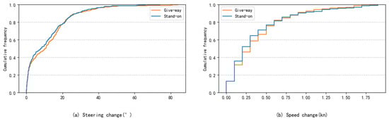
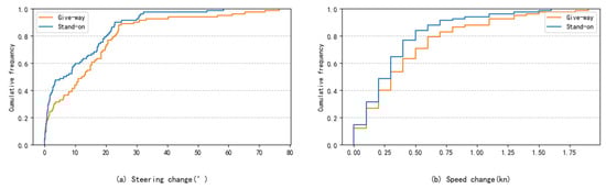
Ship collision-avoidance actions and amplitudes are crucial elements in the collision avoidance process. In actual collision avoidance, ships often adopt steering, speed changes, or a combination of both, to complete collision-avoidance maneuvers. According to the COLREGS, the stand-on ship and the give-way ship have different responsibilities and obligations during the collision-avoidance process. Generally, the stand-on ship should maintain its original speed and course, while the give-way ship needs to take necessary collision-avoidance actions to avoid the stand-on ship, and if necessary, both ships must take appropriate collision-avoidance actions to prevent collision. Therefore, there are differences in collision-avoidance actions and amplitudes between the give-way ship and the stand-on ship under different encounter situations, as shown in Figure 8, Figure 9 and Figure 10.

Figure 8.
Collision-avoidance amplitude in head-on situations. (a) Steering change; (b) speed change.

Figure 9.
Collision-avoidance amplitude in crossing situations. (a) Steering change; (b) speed change.

Figure 10.
Collision-avoidance amplitude in overtaking situations. (a) Steering change; (b) speed change.
Figure 8, Figure 9 and Figure 10 show that ships’ steering amplitude during the collision-avoidance process is relatively small. Specifically, in head-on situations, approximately 61% of give-way ships and 72% of stand-on ships have a steering amplitude less than 20°, with only 14% of give-way ships and 11% of stand-on ships having a steering amplitude greater than 30°. In crossing situations, about 70% of give-way ships and 63% of stand-on ships have a steering amplitude less than 20°, with only 12% of give-way ships and 8% of stand-on ships having a steering amplitude greater than 30°. In overtaking situations, about 77% of give-way ships and 70% of stand-on ships have a steering amplitude less than 20°, with only 10% of give-way ships and 9% of stand-on ships having a steering amplitude greater than 30°. The overall speed-change amplitude of ships is extremely small, with 80% to 95% of ships having a speed change of less than 1 kn across various encounter situations. This is primarily because the effectiveness of speed changes in collision avoidance is far less ideal compared to steering changes, and hence the actions of ships taking speed changes for collision avoidance is not significant.
As shown in Figure 11, in head-on situations, although the COLREGS mandate that ships should turn to starboard, as shown in Figure 12a, more than 45% of ships have been observed to take a port turn measure. This primarily because when two ships are in head-on situation and are positioned on the starboard side of the oncoming ship, if both ships take a starboard turn, it is highly likely to increase the risk of collision. Therefore, in such situations, each ship should appropriately turn to port to increase the lateral distance between them, thereby accomplishing collision avoidance, as shown in Figure 12b. In overtaking situations, the give-way ships tend to turn left while the stand-on ships tend to turn right. In actual scenarios, overtaking from the port side of the overtaken ships (stand-on ships) is safer than overtaking from the starboard side. Thus, the overtaking ships (give-way ships) should prioritize turning left, and the overtaken ship (stand-on ships) should prioritize turning right to facilitate the overtaking ships (give-way ships) to pass on the port side; in crossing situations, there is a significant difference in the steering actions taken by give-way and stand-on ships, with the proportion of give-way ships turning left being as high as 57.1%, while the proportion of stand-on ships turning left is only 44.9%.

Figure 11.
Ship-turning conditions under different encounter situations. (a) Give-way ships; (b) stand-on ships.

Figure 12.
Head-on situation. (a) Port head-on; (b) Starboard head-on.
In summary, the collision avoidance samples extracted in this paper show that the steering and speed change amplitudes of ships are generally small, with about 70% of ships having a steering amplitude of less than 20°, and 90% of ships having a speed change amplitude of less than 1 kn. In overtaking situations, the difference in steering amplitude between give-way and stand-on ships is the greatest. Furthermore, even stand-on ships must take collision avoidance actions in many scenarios, and the actions taken by stand-on and give-way ships are similar. This indicates that during actual navigation, the distinction between give-way and stand-on responsibilities is not always obvious, but the amplitude and timing of the collision avoidance actions are different.
4.3.2. Distribution of Collision-Avoidance Timing
During navigation, ships are required to maintain a proper lookout at all times, and to utilize all available means to assess the risk of collision []. The collision-avoidance process of ships can generally be divided into four stages: no-collision-risk stage, collision- danger stage, urgent-situation stage, and urgent-danger stage. The timing of ship-collision avoidance is influenced by environmental factors such as water areas, visibility and weather []. Some scholars suggest that when the size and speed of ships are standardized, the boundaries for these four stages should be set at 6 NM, 3 NM, and 2 NM, respectively. In conditions of poor visibility, these boundaries should be increased to 8 NM, 4 NM, and 2 NM. Li [] calculated that in head-on situations, ships should take collision-avoidance actions at a distance of 5.5 NM. In overtaking situations, port-crossing and starboard-large-angle crossing situations, the give-way ships should take avoidance actions at a distance of 3.5 NM. In starboard-small-angle crossing situations, the give-way ships should take avoidance actions at a distance of 5 NM. This paper, taking into account the aforementioned literature and the conditions of the research area, sets the boundary values for the four stages of head-on situations at 5.5 NM, 3.5 NM, and 2 NM, for crossing situations at 5 NM, 3.5 NM, and 2 NM, and for overtaking situations at 3.5 NM, 2 NM, and 1 NM. The distribution of ship motion parameters in each stage is shown in Table 1. Table 1 shows the timing for collision avoidance is the latest in overtaking situations and the earliest in head-on situations.

Table 1.
Distribution of motion parameters in collision-avoidance stage.
4.4. Association-Rule Mining of CABFPS
To fulfill the data requirements for the Apriori algorithm, the CABFPS distribution under different encounter situations were divided into three segments based on the 33th and 66th percentiles to construct a collision avoidance parameter database, as shown in Appendix A Table A1. This division method aids in a more nuanced analysis of the distribution of various parameters across different encounter situations, thereby facilitating the more efficient extraction of potential association rules.
In the process of association rule mining, the selection of thresholds is crucial as it directly affects the quality and effectiveness of the association rules. The distribution of CABFPS association rules as shown in Figure 13. Combining the results of the association rules, it is observed that as the minimum support and minimum confidence thresholds increase, the number of association rules decreases and eventually levels off. The thresholds are chosen when the change in the number of association rules is no longer significant. Figure 13 shows that when the minimum support is set to 0.25 and the minimum confidence is set to 0.3, the number of association rules begins to stabilize relatively. Consequently, the threshold combination, with a minimum support of 0.25 and a minimum confidence of 0.3, is selected as the final thresholds.

Figure 13.
Scatter plot of association-rules number. (a) Crossing; (b) overtaking; (c) head-on.
In the process of association rule mining, lift is a measure of correlation, used to filter out reliable and practically significant rules []. Its magnitude not only reflects the strength of the association rules but also the interaction between nodes in the network. This paper employs the Apriori algorithm to mine 466 association rules in head-on situations, 424 association rules in overtaking situations, and 446 association rules in crossing situations. The lift values of CABFPS under different encounter situations are shown in Table 2. Table 2 shows that the association rules between CABFPS are symmetrical under different encounter situations.

Table 2.
The parameter lift under different encounter situations(partial).
4.5. Complex-Network Construction
In CABFPS networks constructed under different situations in this paper, the node set V(G) is determined by the numbers in Table A1, which includes a total of 27 nodes. The edge set E(G) is determined by the number of association-rules mined, the edge weight set W(G) is determined by the lift values of the association rules, and the networks constructed in this paper are undirected weighted networks. Specifically, a network composed of 27 nodes and 233 edges was constructed under head-on situations, a network composed of 27 nodes and 212 edges was constructed under overtaking situations, and a network composed of 27 nodes and 223 edges was constructed under crossing situations. The topological structure of the networks is shown in Figure 14.

Figure 14.
Ship collision-avoidance parameters topology networks. (a) Head-on; (b) crossing; (c) overtaking.
5. Analysis of Ship Collision-Avoidance-Behavior Characteristics
5.1. Parameter-Influence Degree
Network topological features can analyze the interconnections between nodes from both local and global perspectives, which are instrumental in understanding the intrinsic nature of networks. This understanding facilitates a deeper exploration of the relationships within the CABFPS system, as well as the differences in parameters’ influence under various conditions. To explore the structural characteristics of the CABFPS networks under different situations, 1000 undirected weighted networks of equal scale were randomly generated, and their topological properties were comparatively analyzed. The average topological features of each networks are shown in Table 3.

Table 3.
Network-topology characteristics.
Table 3 shows that the network diameter for all three networks is 2, and the average path length is less than 1.5, indicating that it takes only 1-2 edges to connect any two nodes on average.The nodes are relatively close to each other, suggesting a low degree of separation and a propensity for cascading effects. Consequently, the CABFPS networks exhibit characteristics of a small-world network with high local clustering and short average path lengths. This implies that changes in characteristic parameters during the ship collision avoidance process are rapid, and focusing on more significant parameters can lead to more effective collision avoidance actions.
5.1.1. Internal Connections Between Parameters
The clustering coefficient is used to measure the degree of local connectivity within a network, reflecting the connections between related parameters. A high clustering coefficient indicates a strong internal connection between CABFPS. The clustering coefficients of CABFPS networks are shown in Figure 15. Table A1 and Figure 15a show that the clustering coefficients of nodes in the three ship collision-avoidance-parameter networks all range from 0.55 to 1, with approximately 55% of nodes in the head-on network, 81% of nodes in the crossing network, and 74% of nodes in the overtaking network having a clustering coefficient exceeding 0.7. Table 3 and Figure 15b show that the average clustering coefficient of the three networks is above 0.6, which is much higher than the average clustering coefficient of networks of equivalent scale, indicating a close interconnection among the parameters within the collision-avoidance-parameter networks, with a propensity for mutual influence. In the crossing network, the average clustering coefficients of AO, AT, C and Dr, in the overtaking network, C, TCPA, AO and DCPA, and in the head-on network, AT, AO, TCPA and DCPA, have more significant average clustering coefficient values. Compared to other parameters, changes in these parameters are more likely to induce variations in the remaining parameters.

Figure 15.
Distribution of nodes and parameters clustering coefficients. (a) Nodes; (b) parameters.
5.1.2. Parameter Differences Under Different Encounter Situations
Analysis of the network degree can reflect the differences in collision avoidance of ships under different encounter situations. The distribution of degree values for each of the nodes in the CABFPS networks, as shown in Figure 16, indicates a non-uniform distribution of the degree values of each node and parameter. Table A1 and Figure 16 show that in the head-on network, the nodes with higher degree values include Cr3, V2, D2, T2, and Dr3. In the overtaking network, the nodes with higher degree values include V3, K2, and Dr2. In the crossing encounter network, the nodes with higher degree values include C3, Cr2, Dr2, and D3. This suggests that in head-on situations, when 1 NM < DCPA < 2.74 NM, 5.39 min < TCPA < 18.01 min, and 6.22 NM < Dr, in overtaking situations, when 1.89 NM < Dr < 3.80 NM and 1.04 < K < 2.56, and in crossing situations, when 3.16 NM < Dr < 6.20 NM, 2.11 NM < DCPA < 3.96 NM, and 185°< C < 201°, ships should take avoidance actions within these ranges.

Figure 16.
Distribution of nodes and parameters degree. (a) Nodes; (b) parameters.
5.1.3. Inter-Parameter Influence
Betweenness centrality reflects the frequency and importance of a node acting as a bridge in the shortest paths between other nodes in the network. The betweenness centrality of CABFPS networks is shown in Figure 17. Table 3 and Figure 17a show that in the head-on network, nodes Cr3, T2, and V2, in the overtaking network, nodes V3, K2, and Dr2, in the crossing network, and nodes Cr1, Dr1, and K3 have higher betweenness centrality, indicating that the corresponding parameters can rapidly influence adjacent parameters. This suggests that the risk of collision significantly increases when ships are in close proximity and have significant speed differences. This is due to the large inertia of ships, meaning they cannot immediately change their speed and course when taking collision-avoidance actions, increasing the difficulty of taking collision avoidance measures at close ranges. In situations with large speed differences, the relative position of ships can change rapidly, leaving less time for ships to assess the situation and react, thus increasing the risk of collision. Table 3 and Figure 17b show that in the head-on network, parameters Cr and V, in the overtaking network, parameters V, Cr and in the crossing network, and parameters Dr, Cr have higher betweenness centrality, indicating that these parameters have a greater influence on other parameters throughout the collision-avoidance process. Among the three networks, the crossing network has the highest average betweenness centrality, and the overtaking network has the lowest average betweenness centrality. This indicates that parameter changes are more rapid in crossing situations, making collisions more likely to occur. Therefore, ships should take more significant amplitude or more frequent avoidance actions in crossing situations.

Figure 17.
Distribution of nodes and parameters between-center coefficients. (a) Nodes; (b) parameters.
5.2. Parameter-Association Analysis
Building on the mining of association rules for CABFPS, MIC analysis was conducted to delve into the potential correlations between various parameters, as shown in Figure 18.

Figure 18.
Correlation analysis between parameters. (a) Head-on; (b) crossing; (c) overtaking.
From Figure 18, it can be observed that:
In head-on situations, the correlation between TCPA and relative bearing is the most intimate (with a MIC of 0.95 between TCPA and AT, and a MIC of 0.93 between TCPA and AO), and there is also a strong association between Dr and TCPA (with a MIC of 0.9 between Dr and TCPA). This implies that in head-on situations, changes in the relative bearing and relative distance are closely related to TCPA, with more pronounced variations as the time to approach between the two ships decreases. Additionally, there is a tight correlation between the relative bearing and the relative bearing of the own ship and the target ship (with MIC of 0.93 between AO and AT), while the correlations among the other parameters are relatively weaker. This is primarily due to the dynamic changes in the relative positions and motion states of the two ships, where parameters such as TCPA, AT, AO, and Dr directly reflect the relative motion states, and thus their variations are interdependent.
In crossing situations, the correlations between parameters are generally weak, with the exception of a certain association between Dr and TCPA (with a MIC of 0.46 between Dr and TCPA). The lack of significant correlation among other parameters suggests that changes in one parameter do not substantially influence the others. This is primarily because in crossing situations, ships typically make substantial avoidance maneuvers to reduce the risk of collision, leading to rapid changes in motion parameters and thus weaker interparameter correlations.
In overtaking situations, there is a strong correlation between relative bearing and between DCPA and Dr (with a MIC of 0.94 between AO and AT, and a MIC of 0.74 between DCPA and Dr), while the correlations between other parameters are weak. This is mainly because, during overtaking, the ships are generally on a similar heading, resulting in smaller changes in relative bearing, which leads to the tightest correlation between the original ship’s and the target ship’s relative bearings. At the same time, the avoidance actions taken by give-way ships must be clearly visible to the standon ship and must ensure a safe distance. In this process, DCPA serves as a key indicator to measure the adequacy of these collision measures, hence the relatively strong correlation between DCPA and Dr.
5.3. Analysis of Key Parameters
Based on the theory of mutual information, this paper determines the importance of parameters within the CABFPS network and ranks them accordingly, as shown in Figure 19. From Figure 19a, it can be observed that in both the crossing network and the head-on network, nodes related to distance and bearing have the highest information content rankings, while in the overtaking network, nodes related to distance and speed are ranked at the forefront. This indicates that under any circumstances, ships should prioritize the distance factor between ships when taking evasive actions. Combining Figure 7 with Figure 19b, it can be observed that:

Figure 19.
Distribution of parameter influence degree. (a) Nodes; (b) parameters.
In head-on situations, Cr, Dr, C, DCPA and K have a significant impact on the ship collision-avoidance actions. In this situations, ships are moving towards each other with a relatively safe distance between them, assessing the risk of collision based on relative distance and the difference in their headings. During this process, ships primarily use steering to take collision-avoidance actions, and when the risk is too high, they combine speed changes to ensure safe navigation.
In crossing situations, Cr, Dr, DCPA, TCPA and K have a significant impact on the ship collision-avoidance actions. The relative velocity heading is helpful for crews or automatic collision-avoidance systems to plan a safe trajectory, avoiding getting too close to the oncoming ship’s course and ensuring safe navigation. Therefore, the relative velocity heading is crucial for ship collision-avoidance actions. At the same time, in this situation, the amplitude of ship steering for collision avoidance is large, and the ship speed significantly affects steering collision-avoidance, necessitating further adjustment of collision avoidance measures in conjunction with the ship-speed ratio.
In overtaking situations, V, AT, DCPA, Cr and Dr have a significant impact on the ships’ collision-avoidance actions. Since during overtaking, the headings of the two ships are similar and the overtaking ship needs to maintain sufficient speed to catch up with the ship being overtaken, there must be adequate safety distance during this process. Therefore, ships need to take reasonable collision-avoidance measures, combined with relative velocity, relative bearing, DCPA, and relative distance.
In summary, Dr and DCPA are the core elements in assessing the risk of collision during the ships’ collision-avoidance process.In crossing situations, ships need to take more significant and frequent evasive actions. In head-on situations, ships move towards each other along almost opposite headings. Therefore, in these two situations, ships need to further incorporate bearing factors to formulate evasive actions. In overtaking situations, since the bearing factors between ships do not change significantly and it is necessary to maintain an appropriate speed to reduce the impact on the oncoming ship, ships need to pay more attention to speed factors.
5.4. Case Analysis
To validate the impact of various parameters on ship collision-avoidance behavior, three typical encounter scenarios: head-on, crossing and overtaking, were selected from AIS data. The ship trajectories and important motion parameters are shown in Figure 20, Figure 21 and Figure 22, while the ship attributes are presented in Table 4.

Figure 20.
Changes in main motion parameters in head-on situation. (a) Trajectories; (b) ship course; (c) speed; (d) Dr and DCPA; (e) K; (f) C and Cr.

Figure 21.
Changes in main motion parameters in crossing encounter situation. (a) Trajectories; (b) course; (c) speed; (d) Dr and DCPA; (e) K; (f) Cr and TCPA.

Figure 22.
Changes in main motion parameters in overtaking encounter situation. (a) Trajectories; (b) course; (c) speed; (d) Dr and DCPA; (e) V; (f) Cr and AT.

Table 4.
Three types of encounters with the ship attributes.
Figure 20 shows a head-on situation between two ships, Ship1 and Ship2, which are positioned on the starboard side of the approaching ship with nearly opposite heading. As shown in Figure 20b,c, both ships exhibit frequent minor angular changes in their headings, accompanied by slight variations in speed. Figure 20d-f indicate that during the encounter, the Dr and DCPA between the two ships decrease sharply, reaching a minimum around 15 minutes. Both ships took evasive actions, with Ship1 turning a total of 11.8°, and Ship2 turning a total of 11.6°. Throughout the collision avoidance process, the ships adjusted their headings and speeds, leading to significant changes in the ship-speed ratio, relative velocity direction, and heading difference. Therefore, ships should give considerable attention to Dr, C, DCPA, Cr, and K when devising collision-avoidance measures.
Figure 21 shows a crossing situation between two ships, with Ship3 located on the starboard side of ship4. According to the COLREGS, Ship3 is the stand-on ship, while Ship4 is the give-way ship. As shown in Figure 21b, both ships undergo significant changes in their headings, with the heading of Ship3 alterations primarily occurring between 5 and 13 minutes, and the heading of Ship4 changes predominantly taking place after 15 minutes. Figure 21c,e indicate that during the collision avoidance maneuver, the speed changes of both ships are less than 1 kn, with no significant variation in their speed ratio. Figure 21d–f indicate that the relative distance between the two ships decreases sharply, reaching a minimum of 1.4 NM at 16 minutes, with the DCPA showing considerable fluctuation and the TCPA generally exhibiting a trend of decreasing followed by increasing. Throughout the collision avoidance process, Ship3 as the stand-on ship, also takes substantial evasive action, resulting in a significant change in the relative velocity direction between the two ships.Therefore, ships should give considerable attention to Dr, DCPA, TCPA, Cr, and K when devising collision-avoidance measures.
Figure 22 shows an overtaking situation between two ships, with Ship6 is overtaking Ship5 from the port side. According to the COLREGS, Ship5 is the stand-on ship, and Ship6 is the give-way required to take action to avoid collision. Figure 22b,c indicate that both Ship5 and Ship6 have similar headings, and there are significant changes in both their speeds and headings. Figure 22d-f show that Dr and DCPA between the two ships decrease sharply, reaching a minimum of 1.7 NM around 21 minutes into the encounter. Since Ship6 is overtaking Ship5 from the port side, Ship6 must take evasive action to the left. Throughout the collision-avoidance process, the relative velocity between the ships decreases sharply and then stabilizes, while there are significant changes in the relative velocity direction and relative bearing. Therefore, ships should give considerable attention to Dr, DCPA, V, Cr, and AT when devising collision-avoidance measures.
6. Discussion
While the methodology employed in this paper can analyze the interrelationships among CABFPS and identify key factors affecting ship collision-avoidance actions to same extent, there are several areas where further refinement and enhancement could strengthen the research findings. Firstly, this paper identifies and extracts ship collision avoidance behaviors from AIS data, which can be discontinuous and inaccurate after multiple processing steps [], leading to potential inaccuracies in the extracted collision- avoidance data. Additionally, relying solely on AIS data may lead to an incomplete extraction of all collision avoidance behaviors in the study area. Although the construction of CABFPS networks is based on the distribution of parameters when ships take avoidance actions, without considering the specific maneuvering behaviors of the ships, this circumvents the limitations of data discontinuity. It may result in an incomplete analysis of the amplitude of ship collision avoidance. Secondly, the encounter situations used in this paper are divided according to the COLREGS, which may lead to a lack of detailed statistical distribution of CABFPS. Additionally, the timing of ship collision avoidance is influenced by visibility, meteorological conditions, and water areas, due to the limited sample data, there may be biases in the definition of critical values for each avoidance timing and the distribution of characteristic parameters for each timing. Lastly, through the analysis of the topological features and key nodes of collision-avoidance-parameter networks, the interrelationships of parameters and key parameters are identified. However, there is a lack of analysis of the spatial correlation between parameters. Spatial correlation is the spatial structure and spatial dependence of CABFPS in the study area []. It is necessary to consider characteristic parameters when ships take collision-avoidance actions, but ships behavior is also influenced by various external factors (such as hydrological, meteorological and route conditions). Therefore, to more accurately analyze the characteristics of ship collision-avoidance behavior, these influencing factors should be considered when constructing networks to enhance the applicability of model. At the same time, the sources of ship collision-avoidance data should be further improved by combining AIS, radar data, and hydrological and meteorological data.
7. Conclusions
To explore the characteristics of ship collision-avoidance behavior, this paper proposes a method based on the Apriori algorithm and complex network theory, driven by collision-avoidance data. By extracting collision-avoidance data samples from AIS, a detailed analysis of ship collision-avoidance amplitude and CABFPS is conducted. It is observed that in head-on situations, despite the COLREGS rules that ships must take starboard actions to avoid the arrival ships, a significant proportion of ships still take port actions. In overtaking and crossing situations, the give-way ships predominantly take port actions, while the stand-on ships predominantly take starboard actions. Subsequently, based on the results of Apriori mining and in combination with complex network theory, CABFPS networks were established. Analysis of the network’s topological features reveals that Dr and Cr have a greater influence on other parameters throughout ship collision- avoidance process. Ships take different collision-avoidance actions in different encounter situations, and in crossing situations, ships should take greater amplitude and more frequent evasive actions. To further analyze the impact of parameters on ships taking collision-avoidance actions, the importance of nodes in networks was mined, indicating that Dr and DCPA are the core elements in the determination of ship-collision risk.
The findings of this paper not only enrich the research perspectives on ship collision avoidance behavior, but also provide references and theoretical foundations for ship collision risk assessment and path planning studies. Additionally, future research on ship behavior characteristics should incorporate more environmental factors to better meet practical application needs. It may also be beneficial to consider analyzing the spatial correlation between characteristic parameters in specific scenarios, which could further enhance the applicability of the research to real conditions.
Author Contributions
Conceptualization, S.W. and L.G.; data curation, S.W. and T.L.; formal analysis, S.W. and Z.L; funding acquisition, L.G.; investigation, S.W., Z.L. and C.L.; methodology, S.W.; project administration, L.G.; software, S.W., T.L. and Z.L.; supervision, L.G.; validation, S.W.; visualization, S.W. and C.L.; writing—original draft, S.W.; writing—review and editing, S.W. and L.G. All authors have read and agreed to the published version of the manuscript.
Funding
This research was supported by the National Natural Science Foundation of China (Grants No. 52171345 and 52272413).
Institutional Review Board Statement
Not applicable.
Informed Consent Statement
Not applicable.
Data Availability Statement
The data presented in this study are currently under analysis and, therefore, are not publicly available. The data will be made available upon request after the analysis is completed or will be published in an appropriate public repository in the future.
Acknowledgments
We are especially grateful to the Marine Intelligent Transportation Research Team for their technical support.
Conflicts of Interest
The authors declare no conflicts of interest.
Appendix A

Table A1.
Collision-avoidance-parameter data.
Table A1.
Collision-avoidance-parameter data.
Encounter Situations | Parameters | Numbers | Range | Encounter Situations | Parameters | Numbers | Range |
---|---|---|---|---|---|---|---|
Head-on | DCPA/NM | D1 | (0, 1.13) | Head-on | Cr/° | Cr1 | (0, 178.87) |
D2 | (1.13, 2.35) | Cr2 | (178.87, 358.74) | ||||
D3 | (2.35, 5) | Cr3 | (358.74, 360) | ||||
Overtaking | D1 | (−3.98, −1.46) | Overtaking | Cr1 | (0, 1.55) | ||
D2 | (−1.46, 2.11) | Cr2 | (1.55, 181.22) | ||||
D3 | (2.11, 3.96) | Cr3 | (181.22, 360) | ||||
Crossing | D1 | (−2.56, 1) | Crossing | Cr1 | (0, 1.50) | ||
D2 | (1, 2.74) | Cr2 | (1.50, 181.43) | ||||
D3 | (2.74, 5.61) | Cr3 | (181.43, 360) | ||||
Head-on | TCPA/min | T1 | (−21.31, −5.12) | Head-on | C/° | C1 | (143.40, 176.10) |
T2 | (−5.12, 12.67) | C2 | (176.10, 185.30) | ||||
T3 | (12.67, 19.89) | C3 | (185.30, 201.60) | ||||
Overtaking | T1 | (−18.58, 0.96) | Overtaking | C1 | (1.30, 14.50,) | ||
T2 | (0.96, 17.23) | C2 | (14.50, 335.15) | ||||
T3 | (17.23, 19.94) | C3 | (335.15, 360) | ||||
Crossing | T1 | (−19.17, 5.39) | Crossing | C1 | (1.40, 159.80) | ||
T2 | (5.39, 18.01) | C2 | (159.80, 218.28) | ||||
T3 | (18.01, 19.98) | C3 | (218.28, 360) | ||||
Head-on | Dr/NM | Dr1 | (1.16, 3.16) | Head-on | AO/° | AO1 | (5.10, 72.56) |
Dr2 | (3.16, 6.20) | AO2 | (72.56, 334.38) | ||||
Dr3 | (6.20, 10.60) | AO3 | (334.38, 360) | ||||
Overtaking | Dr1 | (0.33, 1.89) | Overtaking | AO1 | (1.26, 38.12) | ||
Dr2 | (1.89, 3.80) | AO2 | (38.12, 296.99) | ||||
Dr3 | (3.80, 6.92) | AO3 | (296.99, 360) | ||||
Crossing | Dr1 | (0.90, 3.35) | Crossing | AO1 | (0, 0.84) | ||
Dr2 | (3.35, 6.22) | AO2 | (0.84, 335.68) | ||||
Dr3 | (6.22, 8.62) | AO3 | (335.68, 360) | ||||
Head-on | K | K1 | (0.35, 1.06) | Head-on | AT/° | AT1 | (0, 5) |
K2 | (1.06, 1.89) | AT2 | (355, 360) | ||||
K3 | (1.89, 4.62) | AT3 | (5, 355) | ||||
Overtaking | K1 | (0.17, 1.04) | Overtaking | AT1 | (25, 90) | ||
K2 | (1.04, 2.56) | AT2 | (270, 345) | ||||
K3 | (2.56, 6.29) | AT3 | (90, 270) & (5,25) | ||||
Crossing | K1 | (0.1, 0.84) | Crossing | AT1 | (112.5, 130) | ||
K2 | (0.84, 1.84) | AT2 | (130, 220) | ||||
K3 | (1.84, 6) | AT3 | (220, 247.5) | ||||
Head-on | Vr/kn | Vr1 | (1.7, 12.03) | ||||
Vr2 | (12.03, 22.52) | ||||||
Vr3 | (22.52, 29.39) | ||||||
Overtaking | Vr1 | (1.76, 10.60) | |||||
Vr2 | (10.60, 19.50) | ||||||
Vr3 | (19.50, 40.07) | ||||||
Crossing | Vr1 | (1.44, 10.31) | |||||
Vr2 | (10.31, 21.12) | ||||||
Vr3 | (21.12, 39.26) |
References
- Marino, M.; Cavallaro, L.; Castro, E.; Musumeci, R.E.; Martignoni, M.; Roman, F.; Foti, E. New frontiers in the risk assessment of ship collision. Ocean Eng. 2023, 274, 113999. [Google Scholar] [CrossRef]
- Zhen, R.; Shao, Z.P.; Pan, J.C. Advance in character mining and prediction of ship behavior based on AIS data. J. Geoinf Sci. 2021, 23, 2111–2127. [Google Scholar]
- Li, G. Statistics and Grey Analysis All Factors of Vessel Collision Avoidance Behaviors. Master’s Thesis, Dalian Maritime University, Dalian, China, 2000. [Google Scholar]
- Weng, J. Study on Varibale Patterns of DCPA&TCPA and Best Avoiding Means. Master’s Thesis, Wuhan University of Technology, Wuhan, China, 2004. [Google Scholar]
- Zhang, G. The Research of Avoidance Effects by Changing Course and the Best Action Time. Master’s Thesis, Dalian Maritime Universtiy, Dalian, China, 2014. [Google Scholar]
- Baldauf, M.; Mehdi, R.; Fischer, S.; Gluch, M. A perfect warning to avoid collisions at sea? Sci. J. Marit. Univ. Szczec. 2017, 49, 53–64. [Google Scholar]
- Kim, D. Identification of collision risk factors perceived by ship operators in a vessel encounter situation. Ocean Eng. 2020, 200, 107060. [Google Scholar] [CrossRef]
- Szlapczynski, R.; Krata, P.; Szlapczynska, J. Ship domain applied to determining distances for collision avoidance manoeuvres in giveway situations. Ocean Eng. 2018, 165, 43–54. [Google Scholar] [CrossRef]
- Johansen, T.A.; Perez, T.; Cristofaro, A. Ship collision avoidance and COLREGS compliance using Simulation-Based control behavior selection with predictive hazard assessment. IEEE Trans. Intell. Transp. Syst. 2016, 17, 3407–3422. [Google Scholar] [CrossRef]
- Ahmed, Y.A.; Hannan, M.A.; Oraby, M.Y.; Maimun, A. COLREGs compliant Fuzzy-Based collision avoidance system for multiple ship encounters. J. Mar. Sci. Eng. 2021, 9, 790. [Google Scholar] [CrossRef]
- Yim, J.; Park, D.; Youn, I. Development of navigator behavior models for the evaluation of collision avoidance behavior in the collision-prone navigation environment. Appl. Sci. 2019, 9, 3114. [Google Scholar] [CrossRef]
- Mohovic, D.; Mohovic, R.; Suljic, M.; Njegovan, M. Reducing the risk of collision between ships in a close-quarters situation by simulating collision avoidance actions. J. Navig. 2021, 74, 558–573. [Google Scholar] [CrossRef]
- Li, S. Research on the Latest Minute Action for Ship Collision Avoidance. Master’s Thesis, Dalian Maritime Universtiy, Dalian, China, 2022. [Google Scholar]
- Wen, Y.Q.; Tao, W.; Sui, Z.Y.; Piera, M.A.; Song, R.X. Dynamic model-based method for the analysis of ship behavior in marine traffic situation. Ocean Eng. 2022, 257, 111578. [Google Scholar] [CrossRef]
- Zhang, W.B.; Goerlandt, F.; Montewka, J.; Wang, Y.H. A method for detecting possible near miss ship collisions from AIS data. Ocean Eng. 2015, 107, 60–69. [Google Scholar] [CrossRef]
- Zhang, W.B.; Goerlandt, F.; Kujala, P.; Wang, Y.H. An advanced method for detecting possible near miss ship collisions from AIS data. Ocean Eng. 2016, 124, 141–156. [Google Scholar] [CrossRef]
- Gao, M.; Shi, G.Y. Ship-handling behavior pattern recognition using AIS sub-trajectory clustering analysis based on the T-SNE and spectral clustering algorithms. Ocean Eng. 2020, 205, 106919. [Google Scholar] [CrossRef]
- Yang, J.X.; Zhou, Y.Y.; Li, J.G. Ship near-miss duration model and application analysis. Chinese J. Ship Res. 2021, 16, 172–180. [Google Scholar]
- Rong, H.; Teixeira, A.P.; Guedes, S.C. Ship collision avoidance behaviour recognition and analysis based on AIS data. Ocean Eng. 2022, 245, 110479. [Google Scholar] [CrossRef]
- Hwang, T.; Youn, I. Navigation situation clustering model of Human-Operated ships for maritime autonomous surface ship collision avoidance tests. J. Mar. Sci. Eng. 2021, 9, 1458. [Google Scholar] [CrossRef]
- Shu, Y.Q.; Daamen, W.; Ligteringen, H.; Hoogendoom, S.P. Influence of external conditions and vessel encounters on vessel behavior in ports and waterways using Automatic Identification System data. Ocean Eng. 2017, 131, 1–14. [Google Scholar] [CrossRef]
- Zhou, Y.; Daamen, W.; Vellinga, T.; Hoogendoom, S.P. Impacts of wind and current on ship behavior in ports and waterways: A quantitative analysis based on AIS data. Ocean Eng. 2020, 213, 107774. [Google Scholar] [CrossRef]
- Chen, P. Research on the Knowledge Base of Ship Collision Avoidance Based on HSSVM and Convolutional Neural Networks. Ph.D. Thesis, Dalian Maritime Universtiy, Dalian, China, 2021. [Google Scholar]
- Zhu, J.X.; Gao, M.; Zhang, A.M.; Hu, Y.J.; Zeng, X. Multi-ship encounter situation identification and analysis based on AIS data and graph complex network theory. J. Mar. Sci. Eng. 2022, 10, 1536. [Google Scholar] [CrossRef]
- Zhang, F.; Liu, Y.H.; Du, L.; Goerlandt, F.; Sui, Z.Y.; Wen, Y.Q. A rule-based maritime traffic situation complex network approach for enhancing situation awareness of vessel traffic service operators. Ocean Eng. 2023, 284, 115203. [Google Scholar] [CrossRef]
- Sui, Z.Y.; Wen, Y.Q.; Huang, Y.M.; Zhou, C.H.; Du, L.; Piera, M.A. Node importance evaluation in marine traffic situation complex network for intelligent maritime supervision. Ocean Eng. 2022, 247, 110742. [Google Scholar] [CrossRef]
- Sui, Z.Y.; Huang, Y.M.; Wen, Y.Q.; Zhou, C.H.; Huang, X. Marine traffic profile for enhancing situational awareness based on complex network theory. Ocean Eng. 2021, 241, 110049. [Google Scholar] [CrossRef]
- Sui, Z.Y.; Wen, Y.Q.; Huang, Y.M.; Zhou, C.H.; Xiao, C.S.; Chen, H.L. Empirical analysis of complex network for marine traffic situation. Ocean Eng. 2020, 214, 107848. [Google Scholar] [CrossRef]
- Namgung, H. Local route planning for collision avoidance of maritime autonomous surface ships in compliance with COLREGs rules. Sustain. 2022, 14, 198. [Google Scholar] [CrossRef]
- Ohn, S.; Namgung, H. Requirements for optimal local route planning of autonomous ships. J. Mar. Sci. Eng. 2023, 11, 17. [Google Scholar] [CrossRef]
- Namgung, H.; Kim, J. Collision risk inference system for maritime autonomous surface ships using COLREGs rules compliant collision avoidance. IEEE Access. 2021, 9, 7823–7835. [Google Scholar] [CrossRef]
- Gang, L.H.; Zheng, Z.Y.; Qi, L. Extraction of ship-encounter information from AIS data. China Sci. 2017, 12, 802–805. [Google Scholar]
- Deng, Y.L.; Zhang, Y.; Yuan, Z.M.; Li, R.Y.M.; Gu, T.T. Analyzing subway operation accidents causations: Apriori algorithm and network approaches. Int. J. Environ. Res. Public Health 2023, 20, 3386. [Google Scholar] [CrossRef] [PubMed]
- Mokkadem, A.; Pelletier, M.; Raimbault, L. Association rules and decision rules. Stat. Anal. Data Min. 2023, 16, 411–435. [Google Scholar] [CrossRef]
- Chen, H.; Yang, M.; Tang, X. Association rule mining of aircraft event causes based on the Apriori algorithm. Sci. Rep. 2024, 14, 13440. [Google Scholar] [CrossRef]
- Reshef, D.N.; Reshef, Y.A.; Finucane, H.K.; Grossman, S.R.; McVean, G.; Turnbaugh, P.J.; Lander, E.S.; Mitzenmacher, M.; Sabeti, P.C. Detecting novel associations in large data sets. Science 2011, 334, 1518–1524. [Google Scholar] [CrossRef] [PubMed]
- Zhu, D.H.; Li, Z.Q. Parallel calculation method for maximum unformation coefficient. Sci. Tech. Eng. 2021, 21, 14625–14633. [Google Scholar]
- Cui, J.Y.; Xu, S.Q.; Na, X.; Pan, L.M.; Lv, L.Y. Research on supply chain research based on complex network theory. Acta Phys. Sin. 2024, 73, 161–183. [Google Scholar] [CrossRef]
- Zhao, N.; Yang, S.P.; Wang, H.; Zhou, X.Y.; Luo, T.; Wang, J. A novel method to identify key nodes in complex networkx based on degree and neighborhood information. Appl. Sci. 2024, 14, 521. [Google Scholar] [CrossRef]
- Zhu, S.Q.; Zhan, J.; Li, X. Identifying influential nodes in complex networks using a gravity model based on the H-index method. Sci. Rep. 2023, 13, 16404. [Google Scholar] [CrossRef]
- Ma, L.H.; Ma, X.X.; Wang, T.; Chen, L.G.; Lan, H. On the development and measurement of human factors complex network for maritime accidents: A case of ship groundings. Ocean Coast. Manag. 2023, 248, 106954. [Google Scholar] [CrossRef]
- Wang, Y.C.; Wang, J.; Huang, M.J.; Yu, G.M.; Wang, Z.Q.; Guo, S.Y.; Yang, J. A multiple features fusion-based social network node importance measure for rumor control. Soft Comput. 2024, 28, 2501–2516. [Google Scholar] [CrossRef]
- Qiu, L.Q.; Liu, Y.Y.; Zhang, J.Y. A new method for indentifying influential spreaders in complex networks. Comput. J. 2024, 64, 362–375. [Google Scholar] [CrossRef]
- Deng, Z.W.; Li, X.C.; Kong, J.; Wang, D.F. Node importance recognition method of temporal network based on mutual information between layers. Oper. Res. Manag. Sci. 2023, 32, 108–113. [Google Scholar]
- Wang, X.L.; Li, J.Y.; Lian, M.K.; Sun, Z.J. Vulnerability analysis of metro system based on complex network model. Urban Mass Transit. 2021, 24, 47–50. [Google Scholar]
- Liu, T.; Gang, L.H.; Zhang, L.F. AIS-based method for extracting the process of ship collision avoidance. In Proceedings of the 2024 8th International Conference on Traffic Engineering and Transportation System (ICTETS 2024), Dalian, China, 20–22 September 2024. [Google Scholar]
- Hao, Y. Evaluation of Collision Avoidance Actions and Their Application in Collision Liability Divison. Master’s Thesis, Dalian Maritime Universtiy, Dalian, China, 2020. [Google Scholar]
- Li, Z.F. Strategy Research on Ship Driving Behavior Based on Ship Encounter Simulation. Master’s Thesis, Wuhan University of Technology, Wuhan, China, 2013. [Google Scholar]
- Hu, S.; Lin, P.F.; Weng, J.C.; Liang, Q.; Zhou, W. Hierarchy transfer analysis of passengers’ dependence on public transport based on improved Apriori algorithm. J. Southeast Univ. 2022, 52, 344–351. [Google Scholar]
- Gupta, P.; Kim, Y.R.; Steen, S.; Rasheed, A. Streamlined semi-automatic data processing framework for ship performance analysis. Int. J. Nav. Archit. Ocean Eng. 2023, 15, 100500. [Google Scholar] [CrossRef]
- Rong, H.; Teixeira, A.P.; Guedes, S.C. Spatial correlation analysis of near ship collision hotspots with local maritime traffic characteristics. Reliab. Eng. Syst. Saf. 2021, 209, 107463. [Google Scholar] [CrossRef]
Disclaimer/Publisher’s Note: The statements, opinions and data contained in all publications are solely those of the individual author(s) and contributor(s) and not of MDPI and/or the editor(s). MDPI and/or the editor(s) disclaim responsibility for any injury to people or property resulting from any ideas, methods, instructions or products referred to in the content. |
© 2024 by the authors. Licensee MDPI, Basel, Switzerland. This article is an open access article distributed under the terms and conditions of the Creative Commons Attribution (CC BY) license (https://creativecommons.org/licenses/by/4.0/).