Tidal Current with Sediment Transport Analysis and Wind Turbine Foundation Pile Scour Trend Studies on the Central Bohai Sea
Abstract
1. Introduction
2. Ocean Current Characteristics of the Study Region
2.1. Governing Equations
- (1)
- Continuity equation:
- (2)
- Momentum equation:
- (3)
- Temperature equation:
- (4)
- Salinity equation:
- (5)
- Density equation:
2.2. Model Setup and Validation
2.3. Current Field Characteristics of the Study Area
3. Sediment Transport in the Study Region
3.1. Sediment Transport Model
3.2. Suspended Sediment Concentration Validation
3.3. Suspended Sediment Distribution
3.4. Suspended Sediment Transport
3.5. Seabed Stability Analysis
4. Local Scour Around Wind Turbine Foundation Piles
4.1. Governing Equations
4.2. Turbulence Model
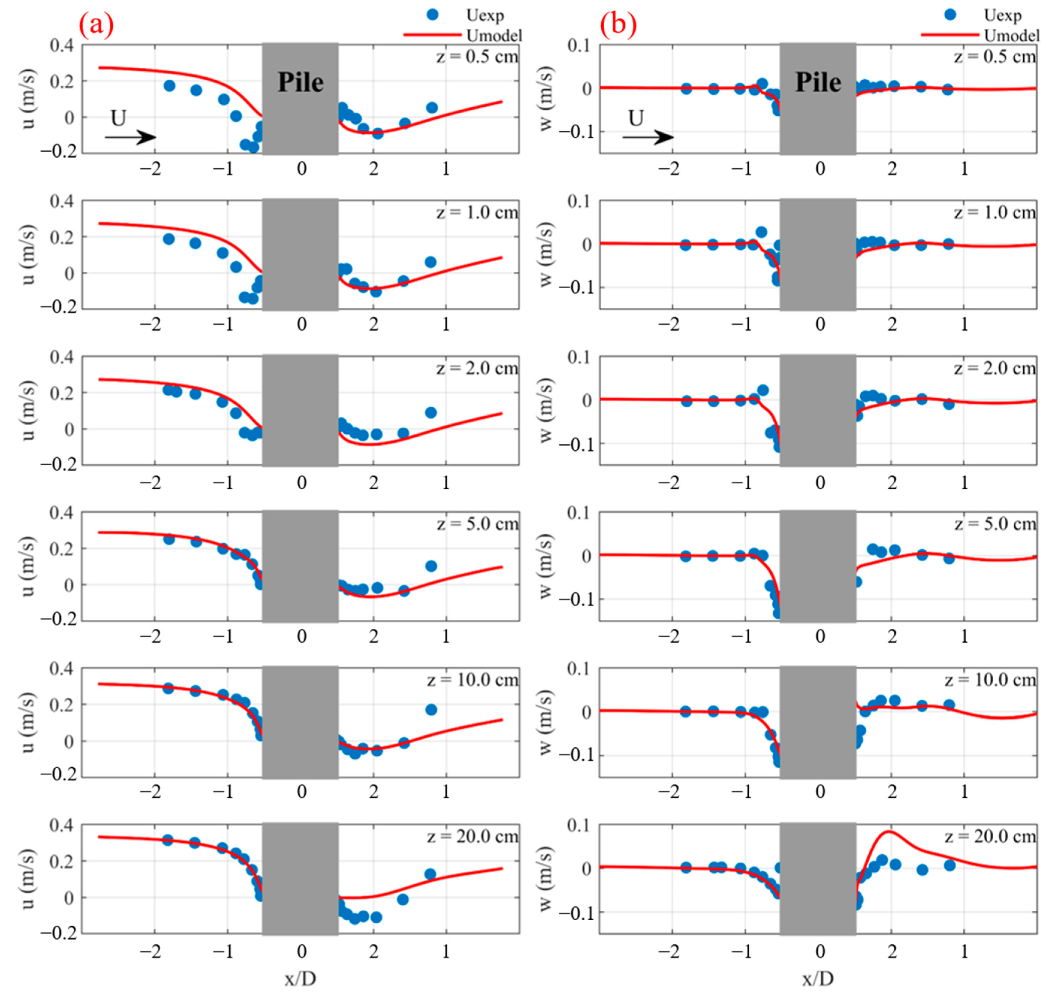
4.3. Physical Model Validation
4.4. Wind Turbine Pile Foundation Model Parameter Setup
4.5. Monopile Surrounding Flow Field Characteristics
4.6. Local Scour and Protection Process Characteristics
5. Conclusions
Author Contributions
Funding
Institutional Review Board Statement
Informed Consent Statement
Data Availability Statement
Acknowledgments
Conflicts of Interest
References
- Song, J.; Duan, L. The Bohai Sea. In World Seas: An Environmental Evaluation; Elsevier: Amsterdam, The Netherlands, 2019; pp. 377–394. [Google Scholar]
- Xu, Y.; Gao, H.; Wei, X.; Zhu, J. The Effects of Reclamation Activity and Yellow River Runoff on Coastline and Area of the Laizhou Bay, China. J. Ocean Univ. China 2021, 20, 729–739. [Google Scholar] [CrossRef]
- Gazi, A.H.; Afzal, M.S. A review on hydrodynamics of horseshoe vortex at a vertical cylinder mounted on a flat bed and its implication to scour at a cylinder. Acta Geophys. 2020, 68, 861–875. [Google Scholar] [CrossRef]
- Breusers, H.N.C.; Nicollet, G.; Shen, H.W. Local Scour Around Cylindrical Piers. J. Hydraul. Res. 1977, 15, 211–252. [Google Scholar] [CrossRef]
- Ansari, S.A.; Kothyari, U.C.; Ranga Raju, K.G. Influence of cohesion on scour around bridge piers. J. Hydraul. Res. 2002, 40, 717–729. [Google Scholar] [CrossRef]
- Oliveto, G.; Hager, W.H. Further Results to Time-Dependent Local Scour at Bridge Elements. J. Hydraul. Eng. 2005, 131, 97–105. [Google Scholar] [CrossRef]
- Chiew, Y.M.; Melville, B.W. Local scour around bridge piers. J. Hydraul. Res. 1987, 25, 15–26. [Google Scholar] [CrossRef]
- Raudkivi, A.J.; Ettema, R. Clear-Water Scour at Cylindrical Piers. J. Hydraul. Eng. 1983, 109, 338–350. [Google Scholar] [CrossRef]
- Jain, S.C.; Fischer, E.E. Scour Around Circular Bridge Piers at High Froude Numbers; US Department of. Transportation, Federal Highway Administration: Washington, DC, USA, 1979. [Google Scholar]
- Jiang, W.; Pohlmann, T.; Sündermann, J.; Feng, S. A modelling study of SPM transport in the Bohai Sea. J. Mar. Syst. 2000, 24, 175–200. [Google Scholar] [CrossRef]
- Bian, C.; Jiang, W.; Pohlmann, T.; Sündermann, J. Hydrography-Physical Description of the Bohai Sea. J. Coast. Res. 2016, 74, 1–12. [Google Scholar] [CrossRef]
- Qiao, L.; Zhong, Y.; Wang, N.; Zhao, K.; Huang, L.; Wang, Z. Seasonal transportation and deposition of the suspended sediments in the Bohai Sea and Yellow Sea and the related mechanisms. Ocean Dyn. 2016, 66, 751–766. [Google Scholar] [CrossRef]
- Saito, Y.; Yang, Z.; Hori, K. The Huanghe (Yellow River) and Changjiang (Yangtze River) deltas: A review on their characteristics, evolution and sediment discharge during the Holocene. Geomorphology 2001, 41, 219–231. [Google Scholar] [CrossRef]
- Zhou, Z.; Bian, C.; Wang, C.; Jiang, W.; Bi, R. Quantitative Assessment on Multiple Timescale Features and Dynamics of Sea Surface Suspended Sediment Concentration Using Remote Sensing Data. J. Geophys. Res. Ocean. 2017, 122, 8739–8752. [Google Scholar] [CrossRef]
- Liu, X.; Qiao, L.; Zhong, Y.; Wan, X.; Xue, W.; Liu, P. Pathways of suspended sediments transported from the Yellow River mouth to the Bohai Sea and Yellow Sea. Estuar. Coast. Shelf Sci. 2020, 236, 106639. [Google Scholar] [CrossRef]
- Qiao, S.; Shi, X.; Wang, G.; Zhou, L.; Hu, B.; Hu, L.; Liu, S. Sediment accumulation and budget in the Bohai Sea, Yellow Sea and East China Sea. Mar. Geol. 2017, 390, 270–281. [Google Scholar] [CrossRef]
- Chen, C.; Liu, H.; Beardsley, R.C. An Unstructured Grid, Finite-Volume, Three-Dimensional, Primitive Equations Ocean Model: Application to Coastal Ocean and Estuaries. J. Atmos. Ocean. Technol. 2003, 20, 159–186. [Google Scholar] [CrossRef]
- Chen, C.; Cowles, G. An Unstructured-Grid Finite-Volume Coastal Ocean Model (FVCOM) System. Oceanography 2006, 19, 78–89. [Google Scholar] [CrossRef]
- Jin, Z.; Zuo, C.; Wang, Z. Impact of Phase III Project of Maji Mountain Port on sediment siltation in adjacent sea area. Acta Oceanol. Sin. 2017, 36, 111–118. [Google Scholar] [CrossRef]
- Wu, L.; Chen, C.; Guo, P.; Shi, M.; Qi, J.; Ge, J. A FVCOM-based unstructured grid wave, current, sediment transport model, I. Model description and validation. J. Ocean Univ. China 2011, 10, 1–8. [Google Scholar] [CrossRef]
- Krone, R.B. Flume Studies of the Transport of Sediment in Estuarial Shoaling Processes: Final Report; Hydraulic Engineering Laboratory and Sanitary Engineering Research Laboratory, University of California: Berkeley, CA, USA, 1962. [Google Scholar]
- Camenen, B.; Larson, M. A general formula for non-cohesive bed load sediment transport. Estuar. Coast. Shelf Sci. 2005, 63, 249–260. [Google Scholar]
- Harris, C.K.; Wiberg, P.L. A two-dimensional, time-dependent model of suspended sediment transport and bed reworking for continental shelves. Comput. Geosci. 2001, 27, 675–690. [Google Scholar] [CrossRef]
- Nielsen, A.W.; Liu, X.; Sumer, B.M.; Fredsøe, J. Flow and bed shear stresses in scour protections around a pile in a current. Coast. Eng. 2013, 72, 20–38. [Google Scholar] [CrossRef]
- Abdelaziz, S.; Bui, M.D.; Rutschmann, P. Numerical simulation of scour development due to submerged horizontal jet. In River Flow: Process of the International Conference on Fluvial Hydraulics; CRC Press: Boca Raton, FL, USA, 2010. [Google Scholar]
- Dey, S.; Raikar, R.V. Characteristics of Horseshoe Vortex in Developing Scour Holes at Piers. J. Hydraul. Eng. 2007, 133, 399–413. [Google Scholar] [CrossRef]
- Zhang, Q.; Zhou, X.-L.; Wang, J.-H. Numerical investigation of local scour around three adjacent piles with different arrangements under current. Ocean Eng. 2017, 142, 625–638. [Google Scholar] [CrossRef]
- Omara, H.; Tawfik, A. Numerical study of local scour around bridge piers. IOP Conf. Ser. Earth Environ. Sci. 2018, 151, 012013. [Google Scholar] [CrossRef]
- Jalal, H.K.; Hassan, W.H. Three-dimensional numerical simulation of local scour around circular bridge pier using Flow-3D software. IOP Conf. Ser. Mater. Sci. Eng. 1979, 745, 012150. [Google Scholar] [CrossRef]
- Nazari-Sharabian, M.; Nazari-Sharabian, A.; Karakouzian, M.; Karami, M. Sacrificial Piles as Scour Countermeasures in River Bridges a Numerical Study using FLOW-3D. Civ. Eng. J. 2020, 6, 1091–1103. [Google Scholar] [CrossRef]
- Aminoroayaie Yamini, O.; Mousavi, S.H.; Kavianpour, M.R.; Movahedi, A. Numerical modeling of sediment scouring phenomenon around the offshore wind turbine pile in marine environment. Environ. Earth Sci. 2018, 77, 776. [Google Scholar] [CrossRef]
- Yakhot, V.; Orszag, S.A. Renormalization group analysis of turbulence. I. Basic Theory. J. Sci. Comput. 1986, 1, 3–51. [Google Scholar] [CrossRef] [PubMed]
- Yakhot, V.; Smith, L.M. The Renormalization Group, the e-Expansion and Derivation of Turbulence Models. J. Sci. Comput. 1992, 7, 35–61. [Google Scholar] [CrossRef]
- Roulund, A.; Sumer, B.M.; Fredsøe, J.; Michelsen, J. Numerical and experimental investigation of flow and scour around a circular pile. J. Fluid Mech. 2005, 534, 351–401. [Google Scholar] [CrossRef]
- Guan, D.; Chiew, Y.-M.; Wei, M.; Hsieh, S.-C. Characterization of horseshoe vortex in a developing scour hole at a cylindrical bridge pier. Int. J. Sediment Res. 2019, 34, 118–124. [Google Scholar] [CrossRef]
- Jia, Y.; Altinakar, M.; Guney, M.S. Three-dimensional numerical simulations of local scouring around bridge piers. J. Hydraul. Res. 2018, 56, 351–366. [Google Scholar] [CrossRef]
- OuYang, H.; Dai, G.; Gao, L.; Zhu, W.; Du, S.; Gong, W. Local scour characteristics of monopile foundation and scour protection of cement-improved soil in marine environment—Laboratory and site investigation. Ocean Eng. 2022, 255, 111443. [Google Scholar] [CrossRef]
- Soulsby, R. Dynamics of marine sands: A manual for practical applications. Oceanogr. Lit. Rev. 2019, 9, 947. [Google Scholar]
- Akhlaghi, E.; Babarsad, M.S.; Derikvand, E.; Abedini, M. Assessment the Effects of Different Parameters to Rate Scour around Single Piers and Pile Groups: A Review. Arch. Comput. Methods Eng. 2010, 27, 183–197. [Google Scholar] [CrossRef]
- Bazilevs, Y.; Takizawa, K.; Tezduyar, T.E. Challenges and Directions in Computational Fluid–Structure Interaction. Math. Models Methods Appl. Sci. 2013, 23, 215–221. [Google Scholar] [CrossRef]
- Zhu, H.P.; Zhou, Z.Y.; Yang, R.Y.; Yu, A.B. Discrete particle simulation of particulate systems: Theoretical developments. Chem. Eng. Sci. 2007, 62, 3378–3396. [Google Scholar] [CrossRef]
- She, K.; Created, C.A.; Easson, W.J. Experimental study of three-dimensional breaking wave kinematics. Appl. Ocean Res. 1997, 19, 329–343. [Google Scholar] [CrossRef]


















| Model Parameters | Model Settings | |||
|---|---|---|---|---|
| Time Step (s) | 1 | |||
| Suspended Load, Bedload Calculation | Both parameters are activated | |||
| SD50 (mm) | 0.005 | 0.010 | 0.015 | 0.025 |
| Sediment Density (kg·m−3) | 2650 | 2650 | 2650 | 2650 |
| Sediment Settling Velocity (mm·s−1) | 0.24 | 0.36 | 0.48 | 0.60 |
| Erosion Rate (kg·m−2·s−1) | 2.0 × 10−4 | 2.0 × 10−4 | 2.0 × 10−4 | 2.0 × 10−4 |
| Critical Shear Stress for Scour (N·m−2) | 0.16 | 0.25 | 0.30 | 0.40 |
| Critical Shear Stress for Deposition (N·m−2) | 0.15 | 0.20 | 0.25 | 0.35 |
| Bed Layer Thickness (m) | 1.00 | 1.00 | 1.00 | 1.00 |
| Porosity | 0.50 | 0.50 | 0.50 | 0.50 |
| Site | Measured | Simulated |
|---|---|---|
| S1 | 0.0016 | 0.0027 |
| S2 | 0.0021 | 0.0027 |
| S3 | 0.0054 | 0.0540 |
| S4 | 0.0035 | 0.0035 |
| S5 | 0.0024 | 0.0032 |
| S6 | 0.0078 | 0.0063 |
| S7 | 0.0085 | 0.0103 |
| S8 | 0.0088 | 0.0087 |
| S9 | 0.0022 | 0.0048 |
| Condition | Parameter |
|---|---|
| Water Depth (m) | 23.02 |
| Pile Diameter (m) | 9.8 |
| Average Flow Velocity (m·s−1) | 1.13 |
| Wave Period (s) | 7.71 |
| Wave Height (m) | 4.28 |
| Critical Shields Number | 0.04 |
| Bed Roughness Height (m) | 0.0011 |
| Median Particle Diameter d50 (mm) | 0.0115 |
Disclaimer/Publisher’s Note: The statements, opinions and data contained in all publications are solely those of the individual author(s) and contributor(s) and not of MDPI and/or the editor(s). MDPI and/or the editor(s) disclaim responsibility for any injury to people or property resulting from any ideas, methods, instructions or products referred to in the content. |
© 2025 by the authors. Licensee MDPI, Basel, Switzerland. This article is an open access article distributed under the terms and conditions of the Creative Commons Attribution (CC BY) license (https://creativecommons.org/licenses/by/4.0/).
Share and Cite
Hu, X.; Wang, Z.; Ma, X. Tidal Current with Sediment Transport Analysis and Wind Turbine Foundation Pile Scour Trend Studies on the Central Bohai Sea. J. Mar. Sci. Eng. 2025, 13, 180. https://doi.org/10.3390/jmse13010180
Hu X, Wang Z, Ma X. Tidal Current with Sediment Transport Analysis and Wind Turbine Foundation Pile Scour Trend Studies on the Central Bohai Sea. Journal of Marine Science and Engineering. 2025; 13(1):180. https://doi.org/10.3390/jmse13010180
Chicago/Turabian StyleHu, Xingtang, Zhifeng Wang, and Xin Ma. 2025. "Tidal Current with Sediment Transport Analysis and Wind Turbine Foundation Pile Scour Trend Studies on the Central Bohai Sea" Journal of Marine Science and Engineering 13, no. 1: 180. https://doi.org/10.3390/jmse13010180
APA StyleHu, X., Wang, Z., & Ma, X. (2025). Tidal Current with Sediment Transport Analysis and Wind Turbine Foundation Pile Scour Trend Studies on the Central Bohai Sea. Journal of Marine Science and Engineering, 13(1), 180. https://doi.org/10.3390/jmse13010180
