Abstract
Current-induced local scour around pile groups weakens the capacity of structures. In this paper, experimental tests of local scour around an array of 5 × 5 pile groups were conducted in a steady current in a hydraulic flume. The pile-to-pile space was five times the diameter of a single pile. All the tests were in clear-water scour conditions. The effects of upstream piles on the local scour characteristics of downstream piles, as well as the outer-arranged side piles on the inner-arranged piles, were studied within flow intensities of 0.37–1.0. Both the three-dimensional topography of bed elevation changes and the maximum temporal scour depths are discussed. The results showed that the minimum threshold of flow intensity that can induce local scour around the pile groups was 0.40. The scour holes were independent of each other, though a global scouring phenomenon occurred between piles at a flow intensity of 1.0. The temporal scour depths of the downstream piles increased slowly throughout the local scour processes. During the initial scouring stage, they accelerated rapidly. At flow intensities of 0.60, 0.80, and 1.0, the scour development then progressed gradually, resembling the behavior of a single pile. The developing scouring stage can hardly be distinguished in the case of flow intensity of 0.80. The maximum scour depths in the flow intensity of 0.60 showed irregular variations with increasing row and column numbers. The equilibrium scour depths in the central-positioned piles tended to a constant value of 0.5 times the pile diameter. In larger flow intensities of 0.80 and 1.0, they decreased linearly with pile row number, with the maximum scour depths at the piles in the first row. The local scour depths of the inner-positioned piles in the parallel arrangement showed few differences at the front and rear piles.
1. Introduction
Pile groups are widely used forms of foundations for bridges crossing seas, canals, and coastal port structures in soil foundation and bedrock strata areas [1,2,3]. The riverine and coastal upper structures are usually supported by pile groups. Apart from the current and wave loads on these structures, local scour is considered one of the most common hazards [1,2,4,5,6,7]. When these piles are embedded in sand or soft soil bed, sediment erosion often occurs in the vicinity of the piles under waves or currents [8,9]. As a result, local scour holes appear and weaken the stability of the upper structures [10]. It is inevitable to study the local scour depths and diameters of scour holes around the piles, for instance, for a high-pile wharf-designing project in a coastal area.
A large number of papers discussing local scour around piles is available in the literature. Examples can be found in Baker [11], Raudkivi and Ettema [12], Melville [13], Sheppard [14], Oh [15], Zhao [16], and Qi [17]. The mechanisms of local scour around a single pile in steady current are summarized as follows [8]: (i) a horseshoe vortex is formed in front of the pile as the flow approaches the pile and the boundary layer separates from the sand bed; (ii) the streamlines are contracted at two sides of the pile, and the flow velocity is accelerated; (iii) Lee-wake vortexes, which are separated from the pile surface, are formed behind the pile. Consequently, both the flow turbulence intensity [18,19] and the bed shear stress [8,11] are amplified, leading to local scour around the pile. When a local scour hole is formed, additional, smaller horseshoe vortexes in the scour hole and upstream of the pile will be also produced [19]. The flow intensity of U/UC is defined as the ratio of the approaching flow velocity (U) to the threshold flow velocity (UC) by Melville [13]. The UC is the minimum flow velocity below which the sediment particles cannot be motivated to move in the approaching flow bed without a pile. The ratio of U/UC is about 0.4 for local scour around a pile [20,21], whereas it is 1.0 for general scouring in a sand bed without a pile. U/UC = 1.0 is also employed as a threshold constant value for clear-water scour and live-bed scour conditions by Melville [13]. They found that U/UC ≤ 1.0 and U/UC > 1.0 are in clear-water scour and live-bed scour conditions, respectively. From this perspective, the amplified shear stress near the bed can be more than 2.5 times that of the approaching flow bed in clear-water scour conditions. The simulation results of Roulund [8] found this ratio can be as much as 9. However, the above three major turbulent processes may not always be effective in a local scour process. Du [21] found that the maximum scour depth is at the upstream pile corners rather than the middle position in front of the pile when the flow intensity is less than 0.67. The flow acceleration caused by contracted streamlines contributes to the maximum scour depth. Lee-wake vortexes, however, do not affect local scour. This is evident from the absence of sediment movement behind the pile.
In local scour-protection design, the maximum scour depth and the scour hole diameters are the two main parameters considered. In general, a local scour hole is assumed to be an inverted conical hole, and the diameter of the scour hole can be obtained by the maximum scour depth and the scour hole slopes around the pile [8,22]. Therefore, most of the papers in the literature focus on the maximum scour depth and its influential factors. As the method of dimensional analysis is an effective way to study a variable that relates to several valuables, it is employed by many researchers in studying the maximum scour depth [23,24]. Furthermore, in clear-water scour conditions, the temporal maximum scour depth varies only slightly. In live-bed scour conditions, it approaches a constant value as scouring time progresses. This indicates that the equilibrium scour depth has been reached.
Extensive research has been conducted on local scour around a single pile. However, studies on local scour around pile groups are relatively scarce. This is notable, since pile groups are commonly used in hydraulic engineering foundations [1,2,9]. Apart from the differences in flow patterns between the piles, local scour characteristics including the temporal maximum scour depths, scour hole sizes, and sand deposit positions are very different from those of single piles [5,25]. According to the literature, the flow patterns and scour depths depend on the Reynolds number or flow intensity, pile arrangements, and pile-to-pile spaces [9,21,25,26,27,28,29,30]. For instance, in the case of two tandem piles, flow patterns include a single bluff body, shear layer reattachment, and vortex impinging, which depend on the Reynolds number and pile-to-pile distances. In contrast, for two parallel piles, the flow patterns are characterized by a single bluff body, a biased flow pattern, and parallel vortex streets [26]. The relative pile-to-pile space of is a key factor in controlling scour depth. Here, S and D are the pile-to-pile space and pile diameter, respectively. However, the threshold value for this space, as reported by several researchers, varies widely, from 3.5 to 11. Above this threshold, the local scour around the piles is believed to resemble that of a single pile [30,31,32,33]. When the piles are arranged in four rows and four columns, i.e., an array of 4 × 4 pile groups, impinging flow pattern occurs with [34]. Thus, it can be concluded that local scour around pile groups with varied pile-to-pile space may present very different characteristics.
Previous studies mainly focused on bridge pier foundations, which were usually supported by piles with [5,10,30,35] and compound piles [28,29]. The whole diameters of the pile groups or the compound piles were generally represented by an equivalent diameter to apply the equilibrium scour depth predicting equations to a single pile [2,9]. However, this method cannot be applied to pile groups when the pile-to-pile space is larger, for instance . More importantly, turbulent flow interactions between the piles are rather complicated. Local scour holes do not always emerge into a scour hole around the pile groups, especially in clear-water scour conditions [25,30]. Motivated by these issues, the present paper aims to study local scour characteristics in an array of pile groups with their . As is a very important parameter in local scour around a single pile, herein, several experimental tests in an array of R × C = 5 × 5 pile groups with ranging from 0.37 to 1.0 are studied, aiming at distinguish the effects of adjacent piles on local scour in clear-water scour conditions.
2. Experimental Setups
The experimental tests were carried out in a 68 m × 1 m × 1.2 m waves–current flume in the Key Laboratory of Coastal Engineering Hydrodynamics of China Communications Construction Corporation. As seen in Figure 1, steady current was generated from the right and flowed toward the left side before entering an external circulation pipeline. The test section was positioned in the middle areas of the flume with a length and height of 9 m and 0.3 m, respectively. Two wedge-shaped slopes were used to support the sediment particles in the test section. The piles in the first line were settled 5 m downstream of the right slope crest.
Figure 1.
Experimental flume and test section arrangement.
All the piles were circular in cross-section with diameters of D = 2 cm. Each pile was labeled with a number and securely fixed at the bottom of the flume. The pile-to-pile space was S = 5D in the longitudinal and horizontal directions (Figure 2). A Cartesian coordinate system was established as follows: (i) the origin of x and y coordinates was located at the center of P13; (ii) z = 0 corresponded to the sand bed surface. Pi3 (i = 1–5) is at the center line of the flume. The ratio of the total width of piles in a row to the flume width was 1/10, which is significantly less than 1/5. As a result, the blockage effect of the piles was negligible in the experimental tests [36].
Figure 2.
Array of 5 × 5 pile groups arrangement.
The sand box in Figure 1 was filled with non-cohesive sediment whose median diameter and geometric standard deviation were 0.19 mm and 1.39, respectively. In all the local scour tests, water depth was maintained at a constant value of h = 0.5 m. The threshold of flow velocity for sediment particles moving was observed at 0.279 m/s by increasing the flow velocity gradually. Once a small amount of sediment particles was found to move as bedload, the flow velocity was considered as the threshold flow velocity . Then, a Nortek acoustic Doppler velocimeter (ADV) with an accuracy of ±0.1 mm/s was used to collect flow velocity data along water depth. Sampling rate of 100 Hz and collecting duration of more than 2 min were conducted so that the collected data at each position along the water depth could be averaged with an accurate value. Consequently, the flow velocity profile along the water depth and the depth-averaged flow velocity were obtained.
For the other flow velocity values in Table 1, similar procedures were copied from the 0.279 m/s case to obtain the designed flow velocity. Note that R and C are short for row and column in Table 1. Since local scour holes around the downstream piles are usually supplied by sediment particles from the upstream local scour holes, temporal maximum scour depths of the downstream pile P53 was monitored using the ADV. The accuracy of ADV distance function was ±0.1 mm. It is known that the maximum scour depth can be as much as 80% of the equilibrium scour depth after a scouring duration of 2 h [16,22,37]. All the local scour tests in this paper were conducted with 2 h scouring durations. As listed in Table 1, Test A was a single pile with its , while Tests B1–B5 were square-arranged arrays of 5 × 5 pile groups in conditions of and Reynolds numbers of 2080–5580. When the scouring duration reached 2 h, the current generator was turned off. Then, the flume was very slowly drained out. After the moist sand was naturally dried, which took about 3 to 5 h for each test, an iReal2E laser scanner (produced by SCANTECH in Hangzhou, China) was employed. This scanner had a minimum resolution of 0.2 mm in the xy plane and an accuracy of ±0.1 mm in the z direction. It was used to scan the sand bed, capturing data on the changes in bed elevation. The scanned data generated points cloud data through the iReal 3D (SCANTECH) software. These points cloud data were outputted as STL format file. The STL file was imported into the widely used software Tecplot 360 2024 Release 1. Lastly, topography maps were obtained by processing the STL file.
Table 1.
Test lists and parameter values in experiments.
3. Results and Discussion
Since Test A was employed to be a comparative test for Tests B1–B5, its local scour results will be discussed and compared with Test B5 later. The arrays of 5 × 5 pile groups were tested with a series of different flow intensities in clear-water scour conditions. Under a flow intensity of (Test B1), no sediment scour or deposit was found around the piles. However, when the flow intensity increased to 0.42 (Test B2), very little scour holes and sediment deposition were observed. Scour could hardly be seen around the front four rows of piles, whereas a 0.05D scour depth was found in front of the fifth row of piles. The maximum scour depths and sand dune heights behind the front three rows of piles were 0.05D–0.1D and 0.1D, respectively. The very small scour holes behind these piles were not very close to the rear pile, indicating that they were induced by the wake vortexes. Additionally, no sediment deposit was observed at the rear piles in the fourth or fifth row. The two local scour tests revealed that (i) the minimum threshold of flow intensity for local scour around the pile groups was between 0.37 and 0.42; (ii) the wake vortexes were a little stronger than the horseshoe vortexes in the front four rows of piles; (iii) vortex impinging occurred at the front of the fifth rows of piles, enhancing the sediment transport rate. Herein, the threshold is considered as the averaged values of Test B1 and Test B2, that is, 0.40.
When the flow intensity of was 0.60–1.0 (Test B3–Test B5), local scour phenomena became prominent, as shown in Figure 3a–c and Figure 4a–c. With flow intensity increasing, the sizes of scour holes and the areas of bed elevation changes induced by wake vortexes behind the fifth row of piles grew larger. The scanned topographies of Test B3–Test B5 are presented in Figure 4a–c. No contraction scour occurred in any test, because the sand bed was not found at spaces between these piles according to the photographs and bed elevation profiles.
Figure 3.
Photos shot of tests B3–B5 in the flume.

Figure 4.
Contours of topography of tests B3–B5.
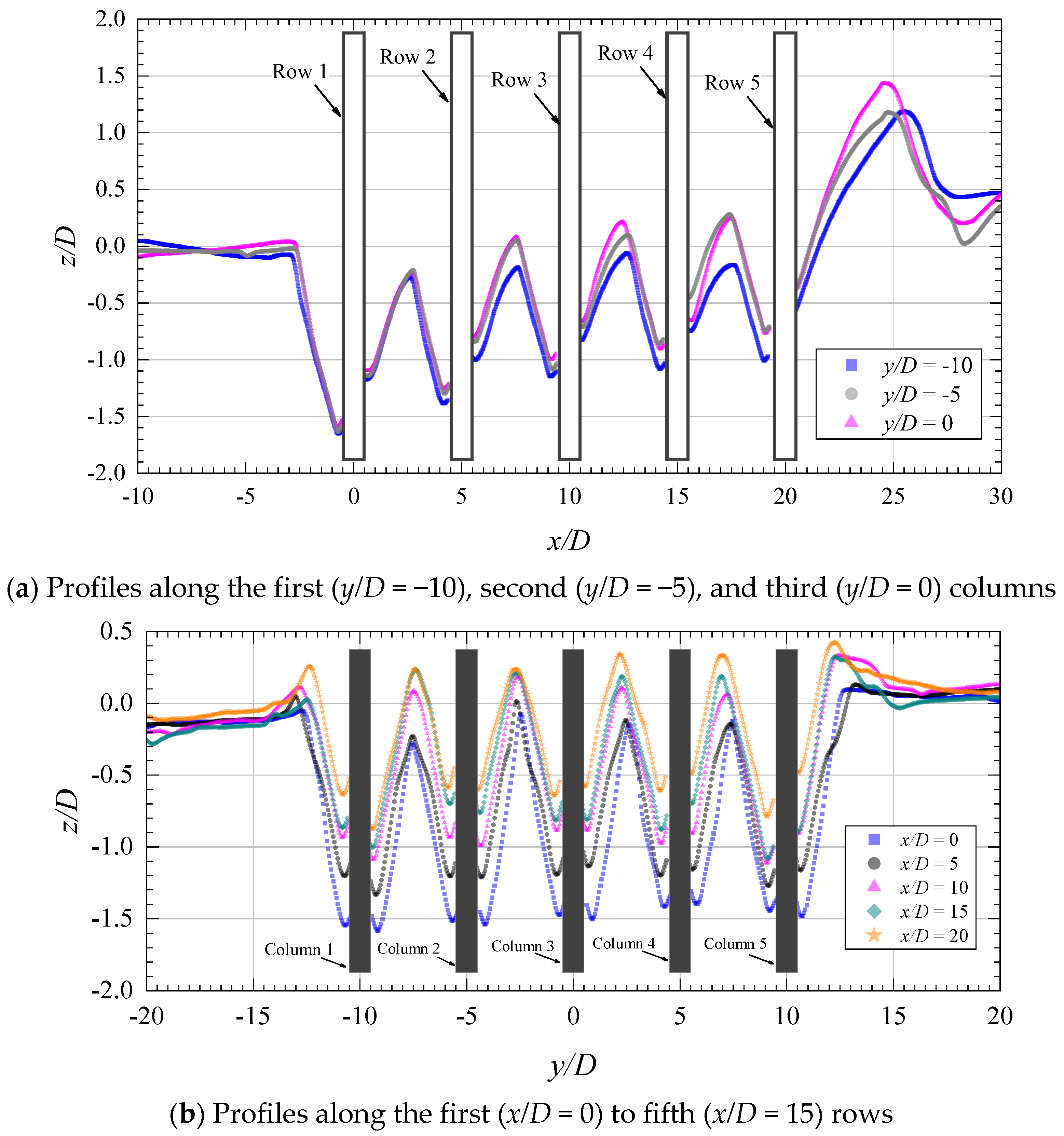
For (Test B3), sediment particles were deposited between the piles rather than scoured by the current. From the first row to the fifth row, these deposit dune heights changed little, from 0.40D to 0.64D (Figure 5a). Most of the maximum heights of the sand dunes were about 0.60D. The sediment deposit characteristics in this test differed significantly from those in Test B2. In Test B2, sediment particles were deposited behind the piles in the front three rows, not the fifth row. It is known that the sediment particles deposited were from the scour holes upstream. Sediment particles around the downstream piles were supplied from the upstream. This led to additional sediment transport work by the turbulent flow near the downstream piles. Despite this, the maximum height of the sand dunes between these piles did not increase with the row number. This suggests that there was enhanced turbulent energy between these downstream piles. The bed elevation profiles of the first–third columns (Figure 5a) and the first–fifth rows (Figure 5b) showed that the maximum scour depths were not always in front of the pile. For example, the scour depth at the front pile of P24 was 0.46D (x/D = 4 in Figure 5a) smaller than at the pile side (y/D = −0.4 in Figure 5b). The bending of streamlines between P23 and P24 and the reattachment of wake vortexes from P13 and P14 may have contributed to this phenomenon [26,38]. Furthermore, the maximum scour depths did not present apparently decreasing or increasing trends with the increasing row number. These results are rather different from Liang [10] and Wang [33], in which the maximum scour depth decreased with the row number because of the weakened turbulence intensities [25,32]. Seeing the first column of profile y/D = −10 (Figure 2 and Figure 5a), the square blue data show that the maximum scour depth was at the front pile of P55 (0.71D) rather than at P15 (0.40D). Moreover, in a few cases, the scour depths at the front piles were nearly identical to those at the rear piles, such as P13, P23, P33, P15, and P45. Scour holes at front piles are typically induced by horseshoe vortexes, while those at rear piles are caused by wake vortexes [8]. In clear-water scour conditions with single piles, the scour depth is usually larger at the front pile than at the rear pile [8,21,22,39]. However, the strength of the horseshoe vortexes at the front pile of P45 appears to be enhanced by the wake vortexes generated from the upstream piles. In addition, scour depths at the front sides of piles are generally found to be much larger than those at front piles, as seen in Figure 4a and Figure 5b. The scour depths around the piles in the first to fifth rows also present irregular data, as seen in Figure 5b. For example, the scour hole slopes of piles in the first and fifth rows were not symmetric, although the piles were arranged symmetrically about the piles of the third row (center line with y/D = 0). The maximum scour depths at P11 and P15 were 0.52D and 0.92D, respectively, while they were individually 0.69D and 0.88D at P12 and P14, as shown by the blue data in Figure 5b. Although the initial sand bed was not very flat in accuracy, the maximum error should not be larger than 0.2D, as the color bar in Figure 4a shows. Thus, it cannot be considered the reason for these irregular symmetric distributions of scour holes. In fact, the computational results of [25] showed similar irregular scouring characteristics in 2 × 2 and 4 × 4 pile group cases. The irregular scour holes distribution along the central line was caused by the biased flow patterns in paralleled piles, wake vortexes impinging, and shear layer reattachment between the piles [26,38].
Figure 5.
Bed elevation profiles of Test B3.
For the case of (Test B4), as seen in Figure 3b and Figure 4b, scour depths, scour hole sizes, and sand dune heights increased significantly. The sediment accumulation area was concentrated in the vicinity of the last two rows of piles. Moreover, the heights and extents of the sand dunes behind the fifth rows of piles were far larger than those upstream piles. For instance, the heights of sand dunes between the first and the fifth rows of piles were −0.2D–0.3D, whereas they were 1.2D–1.5D behind the piles in the fifth row. In contrast to Test B3 (), scour depth decreased gradually from the first row of piles to the fifth row of piles (Figure 6a). The gaps between bed profiles of y/D = −10 (blue square data) and y/D = 0 (pink triangle data) seemed to become larger and larger with increasing row number. Furthermore, scour hole slopes in each row presented good symmetry regarding the third column (profile of y/D = 0), as seen in Figure 6b. The maximum scour depths at the front piles and upstream sides were 1.55D (Figure 6a) and 1.52D (Figure 6b), respectively. Moreover, the maximum scour depths at other rows were close to each other and did not vary much. For example, the maximum scour depths ranged from 1.4D–1.6D in the first row (square blue data for x/D = 0), while they were 0.93D–1.1D in the third row (pink triangle data for x/D = 10). Another apparent difference is that the maximum scour depth around each pile was at front of the pile in Test B4 rather than at the upstream corners as in Test B3. As scour depths at front piles are slightly larger than those at upstream pile corners, the horseshoe vortexes are thought to play more important roles in local scour processes.
Figure 6.
Bed elevation profiles of Test B4.
When the flow velocity is equal to the threshold of flow velocity, i.e., (Test B5), dramatic terrain changes occur in the vicinity of the pile groups, as seen in Figure 3c and Figure 4c. Apart from the increased scour depths and larger sizes of the scour holes, the wide wake-induced scour holes are clearly visible, distributed along the sides of the pile groups. Furthermore, the sizes and depths of scour holes within 20 ≤ x/D ≤ 33 are even larger than local scour holes around the piles. In contrast to Test B4 (Figure 3b and Figure 4b), more and more extensive secondary scour holes behind the sand dunes are found in Test B5 (Figure 3c and Figure 4c) due to the stronger flow intensity. Global scour between piles is obviously seen in Figure 3c, Figure 4c, and Figure 5a,b. The scour depths of global scour decrease gradually from the upstream to downstream piles. Moreover, the closer the pile is to the inner side, the smaller the global scour depth is. The minimum global scour depth is 0.25D according to the color bar and topography of Test B5 in Figure 4c. The scour depths of P15, P25, and P35 at the front piles of the first column, as indicated by the blue square data in Figure 7a at the profile of y/D = −10, appear to be almost identical. They are approximately 2.4D in depth. This is also depicted in Figure 4c. These illustrate that the strength of the horseshoe vortexes in front of these side piles was affected little by the piles’ blockage. Due to the blockage and weakening of the front two rows of piles, scour depth at the front piles decreases gradually in the last rows of the downstream piles. The maximum scour depths of P45 and P55 are 2.05D and 1.95D, respectively. For the second (profile of y/D = −5) and third (profile of y/D = 0) columns, the maximum scour depths at the parallel front piles vary little. Furthermore, except for P34 and P33, scour depths at the rear piles of these two rows of piles are also very close to each other. In addition, the crests of scour holes as well as the slopes between piles present nearly the same values. Scour depths at the pile sides, which are thought to be induced by the contracted streamlines, show a slight gap. This gap is particularly noticeable at the crests of the scour holes between the second and third columns. As illustrated in Figure 7b, this discrepancy becomes more evident when the row number exceeds 3. For instance, the pink triangle data within −6 ≤ x/D ≤ 6 show that scour depths at P24 and P23 are 2.17D and 2.0D–2.03D, respectively. The crests of scour holes between P44 and P43 are 0.88D and 0.76D, respectively. Similar local scour characteristics around piles in the second and third columns can also be seen in Figure 6a (Test B4). Within a flow intensity of , it probably can be inferred that for pile groups with more than four columns, the local scour around the paralleled piles, excluding those in the side columns, likely exhibits similar characteristics. This includes consistent scour depths at both the front and rear piles as well as similar sizes of the scour holes.
Figure 7.
Bed elevation profiles of Test B5.
To make a comprehensive comparison of the local scour around a single pile versus pile groups, contours and temporal scour depths from Test A are employed. Additionally, the bed elevation profile at y/D = 0 from Test A is presented. It should be noted that except for the number of piles, all the conditions in Test A were the same as in Test B5. Its topography and bed elevations profile are presented in Figure 8a,b, respectively. As seen in Figure 8b, scour depth at the rear pile is slightly smaller than at the front pile. The local scour hole around the pile and sand dunes behind the pile present very typical and representative characteristics of a single pile. The distance between the rear pile and the sand dunes is about 4.0D. Thus, sediment particles of these sand dunes will be accumulated upstream of the piles when the piles are in an array of groups. These situations are considered to occur in Test B5 because the pile-to-pile space is 5D. Consequently, these accumulated sediment particles in front of the downstream piles had to be transported by the turbulent flow. In contrast, scour depths either at the front pile or at the rear pile (Figure 8b) are smaller than those at piles in the front four rows in Test B5 (Figure 7a). The scour depths at front piles of the first and second rows in Test B5 are about 0.4D larger than those in Test A. From these comparisons, it can be concluded that local scour holes and sand dunes around piles in an array of arranged piles present different characteristics than those of a local scour test around a single pile. The comparisons of temporal scour depth differences will be discussed in the following text.
Figure 8.
Bed elevations of Test A.
To obtain the equilibrium scour depths, the temporal scour depths of P53 in Tests B3–B5 were monitored. Time scale and the temporal maximum scour depth are written as and , respectively, according the dimensionless analysis from Du [21]. As depicted in Figure 9, the square blue, circular pink, and triangular black data represent the temporal scour depths from Tests B3, B4, and B5, respectively. These measurements were taken at the front piles of P53, which is the pile located in the last row and third column. It is known that the maximum scour depth evolutions of a single pile can be divided into the initial, the developing, and the equilibrium scouring stages [12]. In the initial scouring stage, scour depth increases extremely rapidly. In the developing scouring stage, scour depth increases gradually with a decreased growth rate. In the equilibrium scouring stage, scour depth remains at a constant value when the flow intensity is not larger than 1.0. For Test B3 (), the relative temporal scour depth of increased very slowly. The initial and developing scouring stages were difficult to distinguish due to the significantly smaller growth rate in the initial stage compared with the developing stage. This contrasts with the typical three scouring stages observed in local scour processes around a single pile. The evolution of temporal scour depths in this low flow intensity are very different from those results reported in the literature, for example, Sheppard [14] and Yao [20]. However, the equilibrium scouring stage can be seen when the time scale of surpassed 1.8 × 109. The equilibrium scour depth tended to approach a constant value of 0.47D. When the flow intensity was 0.80, the initial and equilibrium scouring stages could be clearly seen, whereas a slight drop down of was found within a very short time after the initial scouring stage, as shown in the circular pink data in Figure 9. When the flow intensity was 1.0, the temporal scour depth of P53 in Test B5 was the same as the typical three scouring stages of a single pile. Thus, the double exponential equation, which was proposed by Sheppard [40] and modified by Du [21], was employed to fit with the temporal scour depths of P53 in Test B5. The data were very well fitted with its R2 = 0.98. The equilibrium scour depth obtained from the fitted curve was 1.11D, while the temporal scour depth at was 1.12D. The local scour processes around the downstream piles generally take more time because the scour holes around these piles are supplied with the accumulated sediment particles from upstream scour holes. Thus, the scouring durations needed to attain the equilibrium scour depths around the piles at the last rows should be the longest. The temporal scour depths of P1 in Test A can illustrate this point well. As seen in Figure 9, the solid triangle data present the typical three scouring stages. The data are very well fitted, with R2 = 0.99. The equilibrium scour depth is attained within , which is much shorter than that of the dotted curve of particles 3 in Test B5. Consequently, the final maximum scour depth in each local scour test can be considered the equilibrium scour depth.
Figure 9.
Temporal scour depths of P1 in Test A and P53 in Tests B3–B5.
As discussed above, the maximum scour depths in all the tests are considered the equilibrium scour depths. To study the effects of upstream piles and lateral piles on local scour around the downstream piles and adjacent piles, respectively, the relative equilibrium scour depths of and the row number of are drawn in Figure 10a–c.

Figure 10.
Equilibrium scour depths of Tests B3–B5.
The maximum and minimum scour depths are approximately 0.85D and 0.30D in the case of Test B3 (), respectively. The equilibrium scour depth at the first and fifth column piles is slightly greater than that at the second and fourth columns, with the third column in the middle exhibiting the smallest depth. Although the equilibrium scour depth generally decreases with increasing , the complex interplay of flow fields between the piles results in asymmetric scour phenomena for symmetrically positioned piles in the same row. For example, as shown in Figure 10a–c, except for P11, P15, P51, and P55, where the scour depths are relatively close to each other, there are significant differences in scour depths between other piles, such as P21 and P25. The maximum difference is between P41 and P45 and is 0.35D (0.78D–0.43D), representing an 81.4% discrepancy. A similar situation is observed in the second and fourth column piles, particularly in the second and third rows with piles P21, P25, P31, and P35, as shown in Figure 10a–c. The equilibrium scour depth of the third column piles exhibits more irregular variations, as indicated by the blue data in Figure 10a–c. The maximum and minimum scour depths occur at the first row pile P13 and the second row pile P23, with scour equilibrium depths of 0.68D and 0.31D, respectively. Polynomial and linear fittings were performed on the scour equilibrium depths of the third column piles P13, P23, P33, P43, and P53 at , as shown by the solid and dashed blue lines in Figure 10c. It can be observed that the scour equilibrium depth of the third column piles fluctuates around an average value of 0.5D in Test B3.
When , as shown by the black data points in Figure 10a–c, the equilibrium scour depths of the piles from the first to the fifth column decrease approximately linearly with the row number RN. The equilibrium scour depths of the piles exhibit good symmetry, with the maximum difference being 0.198D (1.01D–0.803D), which is 24.7% and is located between the first column pile P15 and the fifth column pile P55. The scour depths of the other piles are very close to each other. Compared with the condition at , the scour depths of the piles are significantly increased. Taking the second row, third column pile P23 as an example, scour depth at is about three times larger than the scour depth at .
As the flow intensity increases, at (Test B5), the equilibrium scour depths of the piles significantly increase, as shown by the red data in Figure 10a–c. The relationship between the first and fifth column piles of and exhibits a nonlinear decreasing trend. When , the value of basically remains constant at 2.35. After that, it decreases to 1.86 at and . Observing from the first to the fifth column piles, it can be seen that the equilibrium scour depths of the second row piles differ more significantly from those of the first row piles. The maximum and minimum scour depths appear in the first and fifth rows, respectively, with values of 2.5D and 1.7D.
Knowing that the in Tests B3–B5 are 3340, 4460, and 5580, respectively, the flow patterns around these piles might be drawn as [1] suggested. As shown in Figure 11, and individually for Figure 11a,b [1], the dotted lines in Figure 11 were found to coexist with the solid lines. However, vortexes represented by the solid lines dominated the flow. From this view, the differences in local scour holes around the piles in the first row in Figure 4 and in scour depths at P11 and P15 (Figure 10a–c) may be caused by the asymmetric vortexes shown in Figure 11a,b. These influences were found in most of the piles in Test B3 (the square blue data in Figure 11a,b), in which the maximum scour depths were at the piles’ sides, as shown in Figure 4a. For the maximum scour depths at the side positions, specifically the first and fifth columns, the square blue data in Figure 10a show a decreasing trend. They range from 0.76D to 0.91D and eventually converge to an average value of 0.62D for the two paralleled piles in each row. However, adjacent piles within the pile groups presented different characteristics, as shown by the square blue data presented in Figure 10b. In the second and fourth columns, decreased gradually from 0.68D–0.88D in the first row to 0.42D–0.72D in the fifth row. For the piles in the central line of the third column, as presented in Figure 10c, the maximum scour depths changed down and up dynamically around a nearly constant value of 0.5D. In contrast to the other columns, each pile in the third column was surrounded by two paralleled piles in each row. The maximum scour depth of P13, which was positioned at the first row and third column, was 0.68D.
Figure 11.
Diagrams of flow patterns around the piles [1].
When the flow intensity is large enough to generate strong horseshoe vortexes, the influences of asymmetric flow patterns around piles in the first row weakens significantly. These can be indicated from the results of the larger flow intensities of 0.80 and 1.0. The black circular and pink triangular data in Figure 10a,b present that the maximum scour depths of piles in symmetric positions are very close to each other. Except for the maximum scour depths in the first and fifth columns in Test B5 (data of in Figure 10a), they tend to decrease linearly in the other columns in Tests B4 and B5, as shown in Figure 10a–c. Taking the third columns of Tests B3–B5 as examples, the R2 of the three linearly fitted curves are 0.03, 0.94, and 0.91, respectively. Moreover, the maximum scour depths for the piles in parallel arrangement within each row of the second, third, and fourth columns exhibit minimal variation. This suggests that adjacent piles in the same row have a negligible impact on the maximum scour depth of an individual pile, despite slight differences in the scour holes and the accumulation of sediment around them.
4. Conclusions
This paper experimentally investigated local scour around an array of 5 × 5 pile groups in clear-water scour conditions. To distinguish local scour around pile groups in an overall scour hole, the pile-to-pile space was arranged as five times the diameter of a single pile. Flow intensities ranging from 0.37 to 1.0 were tested. The main conclusions, which will give some new perspectives to the future studies in local scour around pile groups, are as follows:
- (1)
- The minimum threshold flow intensity below which local scour around the pile groups would not occur was about 0.40, while the critical flow velocity in the approaching flow sand bed was 2.5 times this value. When the flow intensity increased slightly to 0.42, very small scour holes with scour depths ranging from 0.05 to 0.1 times a single pile diameter were found. The scour holes induced by horseshoe vortexes were observed exclusively in front of the piles in the fifth row, whereas scour holes caused by wake vortexes were detected behind all the piles.
- (2)
- The temporal evolution of scour depths for downstream piles in an array differed significantly from those of a single pile, depending on the flow intensity values. The temporal scour depths in flow intensities of 0.60 presented very slow development in the initial and developing scouring stages, while they increased rapidly in the initial scouring stage for flow intensities of 0.80 and 1.0. The maximum scour depth of each pile can be considered as the equilibrium scour depth within a nondimensional square time scale of 2.5 × 1010.
- (3)
- The differences in scour holes and depths around piles in the flow intensity case of 0.60 were likely due to asymmetric vortexes. Adjacent piles showed varying trends, with depths in the inner arranged columns gradually decreasing. Downstream piles flanked by two adjacent piles exhibited scour depths that fluctuated around a relatively stable value. Within flow intensity of 0.80–1.0, excluding the piles in the side columns, the local scour surrounding the parallel piles exhibited similar characteristics, such as scour depths at both the front and rear piles, and sizes of scour holes, when the array of pile groups surpassed four columns.
Author Contributions
Conceptualization, M.G., X.P. and S.D.; Methodology, M.G., X.P., S.D., G.W., Y.L., Y.S., G.D. and B.L.; Software, M.G. and X.P.; Validation, X.P., S.D. and G.W.; Formal analysis, M.G. and X.P.; Investigation, X.P., S.D., Y.L., Y.S. and G.D.; Resources, X.P., G.W. and Y.L.; Data curation, M.G. and S.D.; Writing—original draft, M.G. and S.D.; Writing—review & editing, M.G., X.P., S.D., G.W., Y.L., Y.S. and B.L.; Supervision, X.P., G.D. and B.L.; Funding acquisition, S.D. All authors have read and agreed to the published version of the manuscript.
Funding
This research was funded by National Nature Science Fund (Grant No. 52301324), the Natural Science Foundation of Zhejiang Province (LQ24E090001), and the Shandong Provincial Key Laboratory of Ocean Engineering (Grant No. kloe202009).
Institutional Review Board Statement
Not applicable.
Informed Consent Statement
Not applicable.
Data Availability Statement
Data is contained within the article.
Conflicts of Interest
Author Yingxue Lv, Yunjia Sun and Guangjia Ding was employed by the company CCCC, Tianjin Port Engineering Institute Co., Ltd. of CCCC First Harbor Engineering Co. Ltd. The remaining authors declare that the research was conducted in the absence of any commercial or financial relationships that could be construed as a potential con-flict of interest.
References
- Ma, L.L.; Wang, L.Z.; Guo, Z.; Jiang, H.Y.; Gao, Y.Y. Time development of scour around pile groups in tidal currents. Ocean Eng. 2018, 163, 400–418. [Google Scholar] [CrossRef]
- Sarmiento, J.; Guanche, R.; Losada, I.J.; Rosendo, E.M.; Guindo, A.; Guevara, J.L. Scour processes around pile clusters of jacket foundations under steady currents. Ocean Eng. 2024, 313, 119502. [Google Scholar] [CrossRef]
- Wu, J.; Zhang, Y.; Lin, L.; Chen, C.; Najafzadeh, M. Experiment investigation on the local scour around circular and square piles in open wharf. Mar. Georesour. Geotech. 2024, 2024, 1–12. [Google Scholar] [CrossRef]
- Zhu, F.; Jiang, Y.; Li, W. Analysis and Calculation of Ocean Current Load and Wave Load on a Floating Crane under a Normal Working State. J. Coast. Res. 2015, 31, 48–53. [Google Scholar] [CrossRef]
- Baghbadorani, D.A.; Ataie-Ashtiani, B.; Beheshti, A.; Hadjzaman, M.; Jamali, M. Prediction of current-induced local scour around complex piers: Review, revisit, and integration. Coast Eng. 2018, 133, 43–58. [Google Scholar] [CrossRef]
- Gao, J.; Shi, H.; Zang, J.; Liu, Y. Mechanism analysis on the mitigation of harbor resonance by periodic undulating topography. Ocean Eng. 2023, 281, 114923. [Google Scholar] [CrossRef]
- Gao, J.; Hou, L.; Liu, Y.; Shi, H. Influences of Bragg reflection on harbor resonance triggered by irregular wave groups. Ocean Eng. 2024, 305, 117941. [Google Scholar] [CrossRef]
- Roulund, A.; Sumer, B.M.; Fredsøe, J.; Michelsen, J. Numerical and experimental investigation of flow and scour around a circular pile. J. Fluid Mech. 2005, 534, 351–401. [Google Scholar] [CrossRef]
- Zhang, Z.; Du, S.; Guo, Y.; Yang, Y.; Zeng, J.; Sui, T.; Wei, R.; Li, Z. Field study of local scour around bridge foundations on silty seabed under irregular tidal flow. Coast. Eng. 2023, 185, 104382. [Google Scholar] [CrossRef]
- Liang, F.; Wang, C.; Huang, M.; Wang, Y. Experimental observations and evaluations of formulae for local scour at pile groups in steady currents. Mar. Georesour. Geotechnol. 2017, 35, 245–255. [Google Scholar] [CrossRef]
- Baker, C.J. The laminar horseshoe vortex. J. Fluid Mech. 1979, 95, 344–367. [Google Scholar] [CrossRef]
- Raudkivi, A.J.; Ettema, R. Clear-water scour at cylindrical piers. J. Hydraul. Eng. 1983, 131, 338–350. [Google Scholar] [CrossRef]
- Melville, B.W. Pier and abutment scour: Integrated approach. J. Hydraul. Eng. 1997, 123, 125–136. [Google Scholar] [CrossRef]
- Sheppard, D.M.; Melville, B.; Demir, H. Evaluation of existing equations for local scour at bridge piers. J. Hydraul. Eng. 2014, 140, 14–23. [Google Scholar] [CrossRef]
- Oh, S.J. Experimental Study of Bridge Scour in Cohesive Soil. Ph.D. Thesis, Texas A&M University, College Station, TX, USA, 2009. [Google Scholar]
- Zhao, M.; Zhu, X.; Cheng, L.; Teng, B. Experimental study of local scour around subsea caissons in steady currents. Coast. Eng. 2012, 60, 30–40. [Google Scholar] [CrossRef]
- Qi, W.G.; Gao, F.P. Equilibrium Scour Depth at Offshore Monopile Foundation in Combined Waves and Current. Sci. China Technol. Sci. 2014, 57, 1030–1039. [Google Scholar] [CrossRef]
- Dey, S. Three-dimensional vortex flow field around a circular cylinder in a quasi-equilibrium scour hole. Sādhanā 1995, 12, 771–785. [Google Scholar] [CrossRef]
- Guan, D.; Chiew, Y.M.; Wei, M.; Hsieh, S.C. Characterization of horseshoe vortex in a developing scour hole at a cylindrical bridge pier. Int. J. Sediment Res. 2019, 34, 118–124. [Google Scholar] [CrossRef]
- Yao, W.D.; An, H.W.; Draper, S.; Cheng, L.; Harris, J.M. Experimental investigation of local scour around submerged piles in steady current. Coast. Eng. 2018, 142, 27–41. [Google Scholar] [CrossRef]
- Du, S.; Wang, Z.; Wang, R.; Liang, B.; Pan, X. Effects of flow intensity on local scour around a submerged square pile in a steady current. Phys. Fluids 2022, 34, 085126. [Google Scholar] [CrossRef]
- Liang, B.; Du, S.; Pan, X.; Zhang, L. Local Scour for Vertical Piles in Steady Currents: Review of Mechanisms, Influencing Factors and Empirical Equations. J. Mar. Sci. Eng. 2020, 8, 4. [Google Scholar] [CrossRef]
- Oliveto, G.; Hager, W.H. Temporal evolution of clear-water pier and abutment scour. J. Hydraul. Eng. 2002, 128, 811–820. [Google Scholar] [CrossRef]
- Dey, S.; Raikar, R.V.; Roy, A. Scour at submerged cylindrical obstacles under steady flow. J. Hydrul. Eng. 2008, 134, 105–109. [Google Scholar] [CrossRef]
- Kim, H.S.; Nabi, M.; Kimura, I.; Shimizu, Y. Computational modeling of flow and morphodynamics through rigid-emergent vegetation. Adv. Water Resour. 2015, 84, 64–86. [Google Scholar] [CrossRef]
- Sumner, D. Two circular cylinders in cross-flow: A review. J. Fluid Struct. 2010, 26, 849–899. [Google Scholar] [CrossRef]
- Tsutsui, T. Experimental study on the instantaneous fluid force acting on two circular cylinders closely arranged in tandem. J. Wind Eng. Ind. Aerod. 2012, 109, 46–54. [Google Scholar] [CrossRef]
- Yao, W.D.; Draper, S.; An, H.W.; Cheng, L.; Harris, J.M.; Whitehouse, R.J.S. Experimental study of local scour around submerged compound piles in steady current. Coast. Eng. 2021, 165, 103831. [Google Scholar] [CrossRef]
- Yang, Y.; Qi, M.; Wang, X.; Li, J. Experimental study of scour around pile groups in steady flows. Ocean Eng. 2020, 195, 106651. [Google Scholar] [CrossRef]
- Yang, Y.; Melville, B.W.; Macky, G.H.; Shamseldin, A.Y. Experimental study on local scour at complex bridge pier under combined waves and current. Coast. Eng. 2020, 160, 103730. [Google Scholar] [CrossRef]
- Amini, A.; Melville, B.W.; Ali, T.M.; Ghazali, A.H. Clear-water local scour around pile groups in shallow-water flow. J. Hydraul. Eng. 2012, 138, 177–185. [Google Scholar] [CrossRef]
- Zhang, Q.; Zhou, X.L.; Wang, J.H. Numerical investigation of local scour around three adjacent piles with different arrangements under current. Ocean Eng. 2017, 142, 625–638. [Google Scholar] [CrossRef]
- Wang, H.; Tang, H.; Xiao, J.; Wang, Y.; Jiang, S. Clear-water local scouring around three piers in a tandem arrangement. Sci. China 2016, 59, 888–896. [Google Scholar] [CrossRef]
- Lam, K.; Gong, W.Q.; So, R.M.C. Numerical simulation of cross-flow around four cylinders in an in-line square configuration. J. Fluid Struct. 2008, 24, 34–57. [Google Scholar] [CrossRef]
- Ataie-Ashtiani, B.; Beheshti, A.A. Experimental Investigation of Clear-Water Local Scourat Pile Groups. J. Hydraul. Eng. 2006, 132, 1100–1104. [Google Scholar] [CrossRef]
- Nezu, I. Open channel flow turbulence and its research prospect in the 21stcentury. J. Hydraul. Eng. 2005, 131, 229–246. [Google Scholar] [CrossRef]
- Karimi, N.; Heidarnejad, M.; Masjedi, A. Scour depth at inclined bridge piers along a straight path: A laboratory study. Eng. Sci. Technol. 2017, 20, 1302–1307. [Google Scholar] [CrossRef]
- Liu, M.; Huai, W.; Ji, B. Characteristics of the flow structures through and around a submerged canopy patch. Phys. Fluids 2021, 33, 035144. [Google Scholar] [CrossRef]
- Wang, S.Y.; Qi, W.G.; Gao, F.P.; Li, B.; He, B. Time development of clear-water scour around a pile foundation: Phenomenological theory of turbulence-based approach. Coast. Eng. 2024, 190, 104511. [Google Scholar] [CrossRef]
- Sheppard, D.M.; Odeh, M.; Glasser, T. Large scale clear-water local pier scour experiments. J. Hydraul. Eng. 2004, 130, 957–963. [Google Scholar] [CrossRef]
Disclaimer/Publisher’s Note: The statements, opinions and data contained in all publications are solely those of the individual author(s) and contributor(s) and not of MDPI and/or the editor(s). MDPI and/or the editor(s) disclaim responsibility for any injury to people or property resulting from any ideas, methods, instructions or products referred to in the content. |
© 2025 by the authors. Licensee MDPI, Basel, Switzerland. This article is an open access article distributed under the terms and conditions of the Creative Commons Attribution (CC BY) license (https://creativecommons.org/licenses/by/4.0/).